Next Article in Journal
Coefficient of Difficulty in Running a Sports Course in Alpine Skiing
Next Article in Special Issue
Effectiveness of Virtual Reality-Based Early Postoperative Rehabilitation after Total Knee Arthroplasty: A Systematic Review with Meta-Analysis of Randomized Controlled Trials
Previous Article in Journal
Archaeoacoustics around the World: A Literature Review (2016–2022)
Previous Article in Special Issue
Postural Reactions to External Mediolateral Perturbations: A Review
 
 
Font Type:
Arial Georgia Verdana
Font Size:
Aa Aa Aa
Line Spacing:
Column Width:
Background:
Article

The Effect of the Texture of Two Energy Bars on the Oral Processing of Cyclists: An Exploratory Study

by
Irene Jimenez-Perez
1,2,
Arian Ramón Aladro-Gonzalvo
1,3,*,
Antonio Vera Morán
1,
Andrés Camacho-García
4,
Alberto Encarnación-Martínez
1,5 and
Pedro Pérez-Soriano
1,5
1
Research Group in Sports Biomechanics (GIBD), Department of Physical Education and Sports, Universitat de València, 46010 Valencia, Spain
2
Research Group in Medical Physics (GIFIME), Department of Physiology, Universitat de València, 46010 Valencia, Spain
3
Biomechanics & Physiotherapy in Sports (BIOCAPS), Faculty of Health Sciences, Universidad Europea de Valencia, 46010 Valencia, Spain
4
Departamento de Comunicaciones, Universitat Politècnica de València, 03801 Alcoy, Spain
5
Red Española de Investigación del Rendimiento Deportivo en Ciclismo y Mujer (REDICYM), 46870 Ontinyent, Spain
*
Author to whom correspondence should be addressed.
Appl. Sci. 2023, 13(4), 2362; https://doi.org/10.3390/app13042362
Submission received: 28 November 2022 / Revised: 8 February 2023 / Accepted: 9 February 2023 / Published: 12 February 2023
(This article belongs to the Special Issue Innovative Methods in Biomechanics and Human Movement Analysis)

Abstract

In cycling, a wide range of ergogenic foods with a variety of flavours, shapes, and textures are available. The timing of their consumption and their correct oral processing can influence the performance of athletes. Furthermore, the differences in the texture of energy bars could result in differences in the chewing required. Nonetheless, research in this area is still scarce. The aim of this study was to analyse how the consumption of two energy bars with different textures (viscous versus hard) influenced the variables of oral processing, pedalling intensity, and the perception of satisfaction among cyclists. Ten cyclists performed two 15 min sections on a cycle ergometer at a moderate intensity (120–130 W) and consumed one of the two energy bars at random in each of the sections. The results showed that a shorter chewing duration and a fewer number of chews were required to consume the softer bar (p < 0.05, ES > 0.7). However, no differences among the cyclists were observed in the intensity of pedalling or perception of satisfaction. Nevertheless, participants were able to distinguish between the two different textures while pedalling. In conclusion, the texture of energy bars altered the oral processing of cyclists but did not affect pedalling intensity or perception of satisfaction.

1. Introduction

In recent years, there has been a general increase in the practice of endurance sports [1], classified as sports involving continuous exercise for 30 min or more [2,3]. Specifically, cycling is one of the most practiced endurance sports [4], with competitive tests usually lasting several days and involving stages lasting 3 to 5 h each. More continuous trials, such as the Tour de France, Giro d’Italia, or Vuelta a España, in which professional cyclists from all over the world participate, are among the toughest because they last for more than three weeks [5].
At the metabolic level, a peculiarity of these tests is the use of mixed energy metabolism, where both the aerobic and anaerobic lactic systems are used, depending on the intensities reached at any given moment in the trial [6,7]. In these competitions, the availability of carbohydrates (CHs)—the main source of energy—can reduce as the intensity of the exercise progresses [7]. Therefore, the performance of athletes is limited in high-intensity and prolonged (more than 90 min) submaximal or intermittent exercises, thereby compromising muscle performance and the central nervous system [8,9]. In this sense, nutritional planning and adequate intake of CHs by consuming ergogenic foods play a fundamental role in reducing the time to fatigue [4,10,11] and improving the performance of these athletes [12,13,14,15].
The ingestion of 90 g/h of CHs is currently recommended during exercise lasting more than 3 h [16,17]. Furthermore, more specific recommendations of intakes of 8–12 g/kg of body mass/day have been suggested for trials involving 4–5 h of moderate-to-high intensity exercise per day [14,16]. In cycling, sports energy bars are usually one of the solid foods most used to supplement CHs given that, as the result of the position of the athlete on the bike, they tend to cause fewer gastrointestinal (GI) problems [18,19]. In addition, this is also the preferred food form by athletes participating in long-term competitions [20,21,22]. Thus, good oral processing of the foods that will be eaten during races can improve their subsequent digestion, reduce the appearance of GI discomfort, and benefit sports performance [23,24]. Hence, reducing the duration of the chewing process could generate favourable conditions for athletes [23,25].
Among other factors, chewing time is related to the kinematics of chewing described as the number of chews, chewing speed, or chewing pattern (opening and closing of the jaw) [26]. In turn, it is possible that athletes’ perceptions of the texture and taste of food could also influence how they chew [27,28,29]. Specifically, the study by Le Révérend et al. [30] showed how the number of chewing cycles and muscle activity can differ between similar products with small differences in texture. Nonetheless, research in this field applied to sports practice is currently very limited [31,32].
Thus, the aim of this current study was to analyse how the consumption of two energy bars with different textures influenced the variables of oral processing, pedalling intensity, and perception of satisfaction among cyclists. In this sense, considering that the kinematic response to the oral processing of food is a novel factor that could generate favourable race conditions, we hypothesised that the difference in texture would alter oral processing and therefore influence the intensity of cyclists.

2. Materials and Methods

2.1. Participants

This study included 10 amateur cyclists, 8 male and 2 female (aged: 30 ± 11 years; height: 1.74 ± 0.09 m; body mass: 71.9 ± 10.6 kg; BMI: 23.6 ± 2.3 kg/m2; body water content: 61.3 ± 6.2%; body fat: 15.6 ± 8.3%; and lean mass: 57.5 ± 8.7 kg). To estimate the minimum sample size, a statistical power analysis was performed on the basis of the results of a previous study [33]. To do this, the value of the F test was converted into an effect size d (mean difference) for each oral activity variable [28], and then the sample was calculated with the G*Power program [34], assuming a statistical power of β = 0.95 and α = 0.05. The results indicated that a sample of 6 to 10 participants would be required to detect an effect size of d = 1.11–1.68 between the two energy bars in terms of the number of chews and average number of times the average jaw opening.
The inclusion criteria for the sample selection were (1) being aged between 18 and 55 years, (2) training more than 70 km/week, (3) being a non-smoker, (4) not suffering any food allergies or diseases, and (5) not taking any medication or suffering from dental lesions and/or discomfort in 3 weeks prior. All the cyclists participated voluntarily in this study and fulfilled the following requirements prior to the test (a) not having drunk alcohol in the 24 h prior; (b) not having eaten any food in the 2 h prior; and (c) not having performed intense physical exercise in the 12 h before the test. The study was conducted in accordance with the Declaration of Helsinki and was approved by the ethics committee at the university (with reference number 1605362). The participants signed their respective informed consents before taking part in the research.

2.2. Studied Energy Bars

The two energy bars analysed were (1) Aptonia Energy Date (AP; Decathlon, Englos, France) and (2) Etixx Sport Bar (EX; Etixx, Belgium). Both were designed for use during exercise and had a similar nutritional composition in terms of CHs (Table 1). However, each bar had a different flavour and texture as a result of their ingredients. The AP bar had an orange flavour and a more viscous and sticky texture because it was prepared with date paste. In turn, the EX bar had a chocolate flavour and was harder, more compact, and drier because its main ingredient was oat flakes. The two bars were administered to each participant during the experimental periods in a random order.

2.3. Procedures

Each participant carried out a laboratory test in a single session, during which they had to eat both energy bars (randomly) while performing a total of 45 min of uninterrupted pedalling on a cycle ergometer (Cardgirus® W3+, Sabadell, Spain) at a moderate intensity (Figure 1). The test was divided into two 15 min sections. Before starting the first section, a 5 min warm-up was carried out at an intensity of 80 W of pedalling. The first 15 min period at a pedalling intensity of 120–130 W then started. At minute 5, the participant had to ingest the first half of one of the bars (20 ± 4 g) with 100 ± 5 mL of water, followed by the other half, also with water, at minute 10. After the first section, the athletes performed 5 min at an intensity of 80 W, during which they completed a survey on their perceived satisfaction with the first bar. Next, the second 15 min section at an intensity of 120–130 W began, which followed the same sequence as in the previous section, but with the consumption of the second bar. To finish, the athletes completed another 5 min at 80 W while completing the perception survey about the second bar. A screen was placed in front of the participants to indicate the intensity and that they could stay within the established ranges. Meanwhile, for the cadence, no instructions were given, and the participants were free. In addition, all participants used the cycle ergometer pedals with their own shoes in order to eliminate the effect of using different cleats [35]. The intensity range was selected, taking as a reference ≈50% of the values reached by elite cyclists in flat stages [36].
The oral processing kinematics were recorded during the ingestion of each half of each bar. In addition, the pedalling intensity was obtained for each 15 min section. Finally, before the perception survey was completed for each bar, athletes were asked about their perceived exertion using the Borg CR-10 scale [37], and their heart rates were recorded using a heart rate monitor (Polar V800, Polar Electro Oy, Kempele, Finland). The temperature and humidity of the room (24.6 ± 0.4 °C and 57 ± 6%, respectively) were also monitored using a digital hygrometer (Digital thermo-hygrometer, TFA Dostmann, Wertheim-Reicholzheim, Germany).

2.4. Data Collection and Analysis

An Optitrack motion capture system was used (NaturalPoint Inc., Corvallis, OR, USA) for the 3D kinematic analysis of oral processing. As shown in Figure 2, the system used 6 infrared cameras (100 Hz; Flex 3) arranged around the cycle ergometer and acquired data from the cameras through Motive tracker software (version 1.10, NaturalPoint Inc., OR, USA). A model employing 6 markers (that were 12 mm in diameter) was used, whereby 2 markers were placed on the jaw and 4 markers on the forehead [28]. During the recording, the cyclists had to look straight ahead and could not speak; the recording time was from the introduction of the piece of the bar into the cyclist’s mouth until the end of chewing, as indicated by the participants raising their right hand (excluding mouth sweep movements). Although two recordings were made for each bar, one for each half, the mean of both was used in this study.
Signal processing was carried out using Matlab software (version 9.9, R2018b, The Math Works Inc., Natick, MA, USA). The data were filtered by a Chebyshev-type II low-pass filter with 8 and 40 dB attenuation in the attenuated band, with a cut-off frequency of 3 Hz that was obtained experimentally by trial and error [38]. The distance between the forehead and jaw was calculated separately for each chewing cycle by identifying the local maximum and minimum points. Table 2 shows the definition and unit of measurement for each extracted parameter, which was based on the study by Rizo et al. [28].
The average pedalling intensity of each 15 min section was recorded with the cycle ergometer software, taking the average value for each section for the following parameters: torque (Nm), speed (km/h), average power (W), and average cadence (pedalling * min). To evaluate the perception of satisfaction of each bar, a Likert scale with 7 items and a score of 1 to 5 was used, where 1 corresponded to “very bad/a little” and 5 meant “very good/a lot”. The 7 items were dictated in the following order: (1) What score would you give the bar in general? (2) Was it difficult for you to chew? (3) Was it hard for you to swallow? (4) Did you need to drink water to help you swallow? (5) Do you like the texture? (6) Did you like the taste? and (7) Would you use this particular bar as an ergogenic aid in a competition knowing that it will provide you with the nutrients required to help you complete the trial? In addition, a final item was added in which the cyclists were asked to identify the textures of the bar in terms of pastiness, softness, lumpiness, stickiness, hardness, and juiciness.

2.5. Statistical Analysis

The statistical analysis of the results was conducted using SPSS software (version 23, SPSS®, IBM®, Armonk, NY, USA). Once the normality of the variables was verified (Shapiro–Wilk test, p > 0.05), the statistical differences (p < 0.05) between the two bars for each variable were analysed using Student t-tests for related samples. In addition, the Cohen effect size (ES) was calculated for any significant differences (p < 0.05) found in the pairwise comparisons, classifying them as small (ES = 0.2–0.5), moderate (ES = 0.5–0.8), or large (ES > 0.8) [33].

3. Results

In relation to the oral processing of the bars, the results showed significant differences in the chewing duration and number of chews required, with the EX bar taking longer to chew and requiring more chews than the AP bar (p = 0.013, ES > 0.8 and p = 0.009, ES = 0.7, respectively). However, the mean and minimum jaw opening width was lower for the EX bar (p = 0.014, ES = 0.4; and p = 0.013, ES = 0.4, respectively). Likewise, the mean jaw closure distance was significantly lower with the EX bar compared to the AP bar (p = 0.009, ES = 0.4). The remaining variables showed no significant differences (p > 0.05) between the two bars (Table 3).
Regarding the effect of eating the bar on the performance variables analysed, no significant differences (p > 0.05) were observed for any parameter (Table 4). Likewise, no differences were found in the perception of effort required (AP vs. EX: 6.1 ± 0.6 vs. 5.7 ± 0.5 points; p > 0.05) or heart rate (AP vs. EX: 126.1 ± 4.4 vs. 124.9 ± 5.8 points, p > 0.05) when the 15 min sections for each bar were compared.
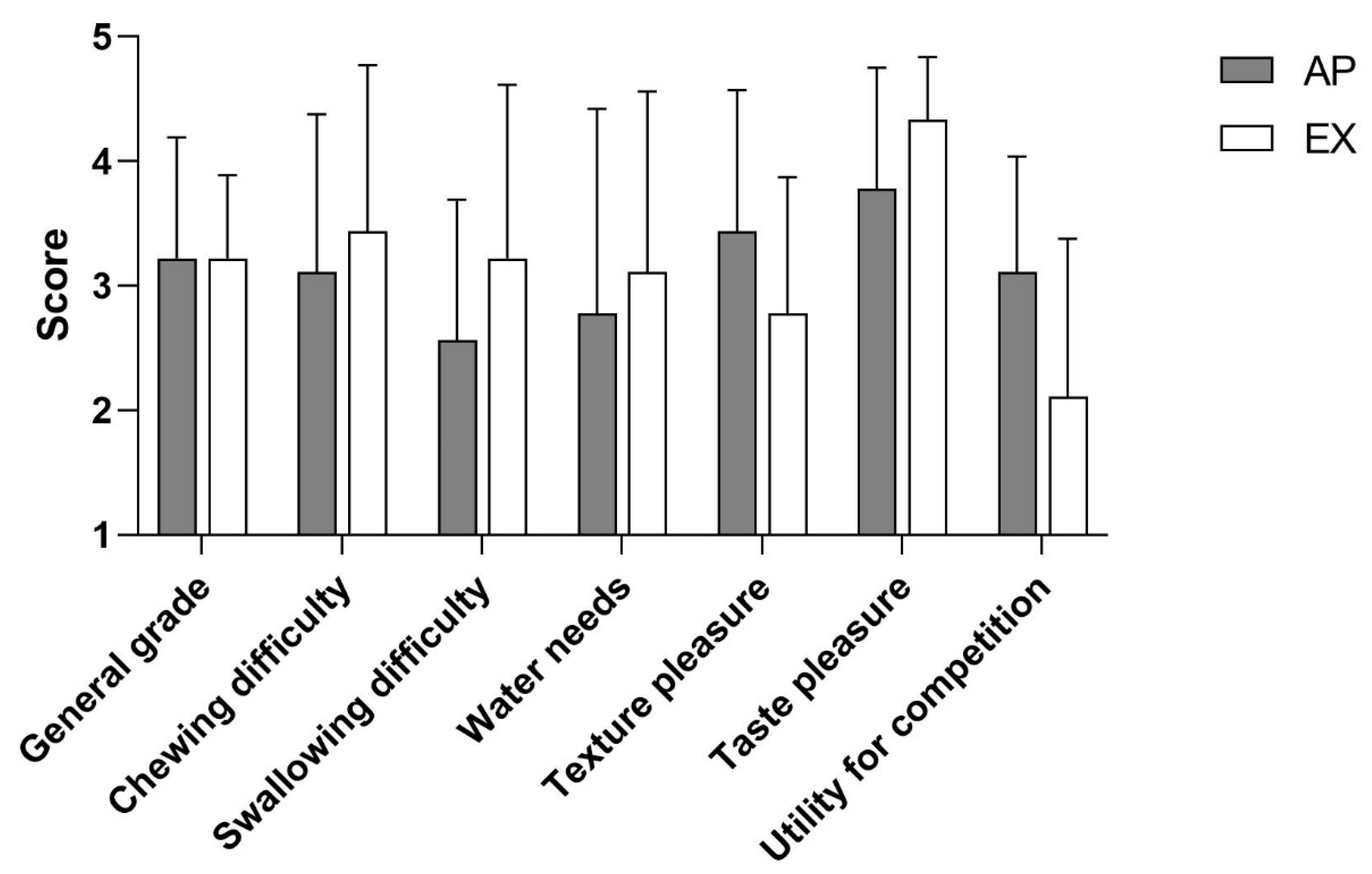
The results in terms of the perception of satisfaction while consuming each bar were similar overall (3.22 ± 0.97 points), with no significant differences (p > 0.05) in any of the items analysed (Figure 3). The three most identified textures in the AP bar were pastiness (90%), stickiness (90%), and softness (80%), while for the EX bar, they were lumpiness (90%), hardness (80%), and stickiness (70%).

4. Discussion

The aim of this present study was to analyse how the consumption of two energy bars with different textures influenced the variables of oral processing, pedalling intensity, and the perception of satisfaction among cyclists during a cycle ergometer session. For the EX bar, the results showed higher values for the chewing duration and number of chews, as well as a lower average closing and average and minimum jaw opening width. However, there were no differences between the bars in the intensity of pedalling or perception of satisfaction, even though the athletes identified a pastier texture for the AP bar and a harder one for the EX bar.
Nutritional planning is highly relevant in most competitions, especially in endurance sports such as cycling [6,14,39]. A wide range of ergogenic aids with a variety of flavours, shapes, and textures are currently available [40]. Of note, the timing in their ingestion, time spent consuming them, and correct oral processing could influence the performance of athletes [23,25,41], and so chewing behaviour can be influenced by modifying food textures [30]. Thus, several studies found more chews, longer chewing duration, speed, and muscular activity of chewing in samples with harder textures compared to soft or viscous textures [28,42,43]. The results from this present study agree with these previous findings, whereby the duration and number of chews was significantly greater for the EX bar compared to the AP bar. This was probably as a consequence of the drier and harder texture of the former versus the more viscous texture of the latter. However, there were no differences between the bars for chewing speed and mean, minimum, and maximum chewing times.
In terms of nutritional planning during competitions, it is preferable for athletes to ingest ergogenic aids in the shortest time possible. This allows them to dedicate all their effort and attention to engaging in the exercise and reduced any respiratory difficulties caused by the oral processing of food [25]. Therefore, variables such as the duration of the chewing process and number of chews is key. Thus, the shorter duration and lower number of chews required to consume the AP bar in this current work suggests that its performance during competitions would be preferable over that of the EX bar. However, fewer chews has also been related to a lower feeling of satiety [44,45,46], while increased satiety and fullness could cause discomfort and perhaps the appearance of GI discomfort, nausea, and/or vomiting [41], as well as dysfunction in salivation, thereby causing heavier digestions [47]. Thus, on the basis of our results, the AP bar could, a priori, cause a lesser feeling of satiety and less GI discomfort.
Another variable of interest in the oral processing of food is jaw displacement [26]. There is evidence [28,30,48,49,50] that foods with a harder texture are chewed between the molars with greater lateral and vertical displacement compared to foods with a softer texture and composition, which break between the tongue and palate and require less effort and processing time [51,52]. In our study, only vertical displacement was analysed with the jaw opening and closing variables. However, contrary to the results of the aforementioned studies, we obtained higher values for both these variables for the softer AP bar. This result is possibly because of the greater pastiness and stickiness of this bar, requiring greater jaw displacement to detach the food from the mouth and teeth [53,54].
The intensities reached during large cycling competitions such as the Tour/Vuelta/Giro are quite high at around 200–270 W [55]. Thus, cyclists usually ingest solid supplementation in competitions during the flat areas of the profile when the physical demand is lower. This allows cyclists to better assimilate these ergogenic aids [13]. Therefore, in the present study, we asked the participants to maintain a moderate intensity power range of 120–130 W, with the aim of simulating the times athletes might consume food during the lower intensity sections of trials. This may be why we did not find any significant differences between the two bars for any of the performance variables studied (torque, speed, average power, or average cadence), perceived effort, or heart rate. Similarly, Oberlin-Brown et al. [32] found no differences in pedalling cadence during gum chewing, although Guillochon and Rowlands [56] did find differences in pedalling power when ingesting CHs in a bar rather than in a gel format. These results suggest that further research is needed on this topic to analyse the effect of oral processing at other pedalling intensities and/or deliberately modifying other performance variables such as torque, speed, and average cadence.
Finally, although energy bars can help during sporting events by slowing down the feeling of fatigue and improving performance [14,16], the organoleptic sensations they can provoke may allow the food to be accepted or rejected [18,56,57]. Indeed, the sensations generated by the texture and organoleptic characteristics of foods can vary a large amount from one person to another [58]. Nevertheless, in the present study, 70% of the cyclists almost homogeneously identified the same textures in each bar. They described the AP bar as being pasty, sticky, and soft and the EX bar as being lumpy, hard, and sticky, coinciding with the characteristics described by the manufacturers. The different perceptions of texture were usually because of the varying ingredients used in the bars [59] and the characteristics described for each one by the athletes seemed to fit with the sensations their main ingredients—date paste (AP bar) or oat flakes (EX bar)—might provoke. However, despite the different perceived textures that, in turn modified the chewing process, the satisfaction was not significantly different between the bars. Nonetheless, consistent with its drier and harder texture, there was a slight trend disfavouring the EX bar because it was harder to chew and swallow, it had to be accompanied by more water, and the athletes disliked its texture. Hence, it seems that the EX bar was not strongly evaluated in terms of their utility, thereby confirming that texture can be decisive when choosing products.
As practical implications, this study highlights the importance of analysing the textures of ergogenic aids and how these aids can alter the chewing process. Optimal nutritional planning in cycling should not only guarantee that athletes eat nutritious food but also that they consume it in the shortest time and less effort possible. Therefore, the organoleptic aspects such as a viscous and sticky texture or harder, compact, and drier seems especially important.
It is also worth noting that this present study had some limitations. The short time spent in each section for the ingestion of the bar or the restricted pedalling intensity could be identified as limitations when analysing some of the variables in the study. However, because of the scarcity of previous studies in this area, we designed a simple and controlled protocol for this current work. In this sense, future studies could consider increasing the duration or intensity of the test while consuming nutritional supplements. Future work could also assess possible GI discomfort and how long it takes for these symptoms to appear after ingestion or could perform the tests in more natural environments that more closely resemble the reality of competitive cycling. Furthermore, even though the sample size was enough to detect large effect sizes, it would be interesting in the future to replicate the study in a much larger sample. In this line, due to time and logistics issues, only two women were included in this study; however, future lines of research should compare the variables studied here between men and women, due to the metabolic and biomechanical differences that exist between both sexes [60,61]. On the other hand, the flavour difference between the two bars could be a confound variable in their oral processing and perception by the participants. During food oral processing, the compounds responsible for food flavour and taste are released, leading to the perception of food organoleptic properties, as well as significantly contributing to the consumer’s acceptability of the product [62]. It would have been ideal to have a uniform or similar flavour between the bars, and it would be interesting to take it into account in future lines of research.

5. Conclusions

The results of this study allowed us to conclude that different textures can alter the chewing process; the bar with the more viscous texture required fewer chews and a shorter oral processing duration than the one with a harder texture. However, these oral processing differences did not influence the pedalling intensity of the cyclists or their perception of satisfaction while consuming the bars. The participants were also able to identify and distinguish the different textures of the bars while pedalling.

Author Contributions

Conceptualisation, I.J.-P., A.R.A.-G. and P.P.-S.; Methodology, A.R.A.-G. and A.V.M.; Software, A.C.-G. and A.E.-M.; Validation, I.J.-P. and A.R.A.-G.; Formal Analysis, A.C.-G. and A.E.-M.; Investigation, I.J.-P. and A.V.M.; Resources, A.R.A.-G. and A.V.M.; Data Curation, A.C.-G. and A.E.-M.; Writing—Original Draft Preparation, I.J.-P. and A.V.M.; Writing—Review and Editing, A.R.A.-G. and P.P.-S.; Visualisation, A.R.A.-G., A.C.-G. and A.E.-M.; Supervision, A.R.A.-G. and P.P.-S.; Project Administration, P.P.-S.; Funding Acquisition, P.P.-S. All authors have read and agreed to the published version of the manuscript.

Funding

This research received no external funding.

Institutional Review Board Statement

The study was conducted according to the guidelines of the Declaration of Helsinki and approved by the Institutional Ethics Committee of Universitat de València (protocol code 1605362 and date of approval 18 April 2021).

Informed Consent Statement

Informed consent was obtained from all subjects involved in the study.

Data Availability Statement

No new data were created or analyzed in this study. Data sharing is not applicable to this article.

Acknowledgments

We are grateful to all the cyclists for their voluntary participation in this study.

Conflicts of Interest

The authors declare no conflict of interest.

References

  1. Knechtle, B.; Knechtle, P.; Lepers, R. Participation and Performance Trends in Ultra-Triathlons from 1985 to 2009. Scand. J. Med. Sci. Sport. 2011, 21, e82–e90. [Google Scholar] [CrossRef]
  2. Saris, W.H.M.; Antoine, J.M.; Brouns, F.; Fogelholm, M.; Gleeson, M.; Hespel, P.; Jeukendrup, A.E.; Maughan, R.J.; Pannemans, D.; Stich, V. PASSCLAIM-Physical Performance and Fitness. Eur. J. Nutr. 2003, 42 (Suppl. S1), i50–i95. [Google Scholar] [CrossRef] [PubMed]
  3. Scheer, V. Participation trends of ultra endurance events. Sport. Med. Arthrosc. Rev. 2019, 27, 3–7. [Google Scholar] [CrossRef]
  4. Bravman, J.T.; Dunn, R.H. Cycling. In Sports-Related Fractures, Dislocations and Trauma: Advanced On- and Off-Field Management; Khodaee, M., Waterbrook, A.L., Gammons, M., Eds.; Springer International Publishing: Cham, Switzerland, 2020; pp. 847–852. [Google Scholar]
  5. Lucía, A.; Hoyos, J.; Santalla, A.; Earnest, C.; Chicharro, J.L. Tour de France versus Vuelta a Espana: Which Is Harder? Med. Sci. Sport. Exerc. 2003, 35, 872–878. [Google Scholar]
  6. Gonzalez, J.T.; Fuchs, C.J.; Smith, F.E.; Thelwall, P.E.; Taylor, R.; Stevenson, E.J.; Trenell, M.I.; Cermak, N.M.; van Loon, L.J.C. Ingestion of Glucose or Sucrose Prevents Liver but Not Muscle Glycogen Depletion during Prolonged Endurance-Type Exercise in Trained Cyclists. Am. J. Physiol.-Endocrinol. Metab. 2015, 309, E1032–E1039. [Google Scholar] [CrossRef] [PubMed]
  7. Hearris, M.A.; Hammond, K.M.; Fell, J.M.; Morton, J.P. Regulation of Muscle Glycogen Metabolism during Exercise: Implications for Endurance Performance and Training Adaptations. Nutrients 2018, 10, 298. [Google Scholar] [CrossRef]
  8. Coggan, A.; Coyle, E. Reversal of Fatigue during Prolonged Exercise by Carbohydrate Infusion or Ingestion. J. Appl. Physiol. 1987, 63, 2388–2395. [Google Scholar] [CrossRef]
  9. Nybo, L. CNS Fatigue and Prolonged Exercise: Effect of Glucose Supplementation. Med. Sci. Sport. Exerc. 2003, 35, 589–594. [Google Scholar] [CrossRef]
  10. Coyle, E.F.; Hagberg, J.M.; Hurley, B.F.; Martin, W.H.; Ehsani, A.A.; Holloszy, J.O. Carbohydrate Feeding during Prolonged Strenuous Exercise Can Delay Fatigue. J. Appl. Physiol. 1983, 55, 230–235. [Google Scholar] [CrossRef]
  11. Stellingwerff, T.; Boon, H.; Gijsen, A.P.; Stegen, J.H.C.H.; Kuipers, H.; van Loon, L.J.C. Carbohydrate Supplementation during Prolonged Cycling Exercise Spares Muscle Glycogen but Does Not Affect Intramyocellular Lipid Use. Pflügers Arch.-Eur. J. Physiol. 2007, 454, 635–647. [Google Scholar] [CrossRef]
  12. Pfeiffer, B.; Stellingwerff, T.; Hodgson, A.B.; Randell, R.; Pöttgen, K.; Res, P.; Jeukendrup, A.E. Nutritional Intake and Gastrointestinal Problems during Competitive Endurance Events. Med. Sci. Sport. Exerc. 2012, 44, 344–351. [Google Scholar] [CrossRef]
  13. Jeukendrup, A.E. Nutrition for Endurance Sports: Marathon, Triathlon, and Road Cycling. J. Sport. Sci. 2011, 29 (Suppl. S1), 91–99. [Google Scholar] [CrossRef] [PubMed]
  14. Burke, L.M.; Jones, A.M.; Jeukendrup, A.E.; Mooses, M. Contemporary Nutrition Strategies to Optimize Performance in Distance Runners and Race Walkers. Int. J. Sport Nutr. Exerc. Metab. 2019, 29, 117–129. [Google Scholar] [CrossRef] [PubMed]
  15. Podlogar, T.; Wallis, G.A. New horizons in carbohydrate research and application for endurance athletes. Sport. Med. 2022, 52 (Suppl. S1), 5–23. [Google Scholar] [CrossRef] [PubMed]
  16. Burke, L.M.; Hawley, J.A.; Wong, S.H.S.; Jeukendrup, A.E. Carbohydrates for Training and Competition. J. Sport. Sci. 2011, 29, 17–27. [Google Scholar] [CrossRef] [PubMed]
  17. Thomas, D.T.; Erdman, K.A.; Burke, L.M. Position of the Academy of Nutrition and Dietetics, Dietitians of Canada, and the American College of Sports Medicine: Nutrition and Athletic Performance. J. Acad. Nutr. Diet. 2016, 116, 501–528. [Google Scholar] [CrossRef] [PubMed]
  18. Reinhard, C.; Galloway, S.D.R. Carbohydrate Intake Practices and Determinants of Food Choices During Training in Recreational, Amateur, and Professional Endurance Athletes: A Survey Analysis. Front. Nutr. 2022, 9, 862396. [Google Scholar] [CrossRef]
  19. Reynolds, K.M.; Clifford, T.; Mears, S.A.; James, L.J. A Food First Approach to Carbohydrate Supplementation in Endurance Exercise: A Systematic Review. Int. J. Sport Nutr. Exerc. Metab. 2022, 32, 296–310. [Google Scholar] [CrossRef]
  20. Brooke, N.K.; Cosio-Lima, L. Nutrition in Cycling. Phys. Med. Rehabil. Clin. 2022, 33, 159–172. [Google Scholar] [CrossRef]
  21. Rowlands, D.S.; Houltham, S.D. Multiple-Transportable Carbohydrate Effect on Long-Distance Triathlon Performance. Med. Sci. Sport. Exerc. 2017, 49, 1734–1744. [Google Scholar] [CrossRef]
  22. Saris, W.H.M.; van Erp-Baart, M.A.; Brouns, F.; Westerterp, K.R.; Ten Hoor, F. Study on Food Intake and Energy Expenditure During Extreme Sustained Exercise: The Tour de France. Int. J. Sport. Med. 1989, 10, S26–S31. [Google Scholar] [CrossRef] [PubMed]
  23. De Oliveira, E.P.; Burini, R.C.; Jeukendrup, A. Gastrointestinal Complaints during Exercise: Prevalence, Etiology, and Nutritional Recommendations. Sport. Med. 2014, 44, 79–85. [Google Scholar] [CrossRef]
  24. Rehrer, N.J.; van Kemenade, M.; Meester, W.; Brouns, F.; Saris, W.H. Gastrointestinal Complaints in Relation to Dietary Intake in Triathletes. Int. J. Sport Nutr. Exerc. Metab. 1992, 2, 48–59. [Google Scholar] [CrossRef] [PubMed]
  25. Stellingwerff, T.; Cox, G.R. Systematic Review: Carbohydrate Supplementation on Exercise Performance or Capacity of Varying Durations. Appl. Physiol. Nutr. Metab. 2014, 39, 998–1011. [Google Scholar] [CrossRef]
  26. Fulks, B.A.; Callaghan, K.X.; Tewksbury, C.D.; Gerstner, G.E. Relationships between Chewing Rate, Occlusion, Cephalometric Anatomy, Muscle Activity, and Masticatory Performance. Arch. Oral Biol. 2017, 83, 161–168. [Google Scholar] [CrossRef]
  27. Nishinari, K.; Fang, Y.; Rosenthal, A. Human oral processing and texture profile analysis parameters: Bridging the gap between the sensory evaluation and the instrumental measurements. J. Texture Stud. 2019, 50, 369–380. [Google Scholar] [CrossRef]
  28. Rizo, A.; Jimenez-Pérez, I.; Camacho-García, A.; Fiszman, S.; Pérez-Soriano, P.; Tarrega, A. Impact of Texture TDS and Flavour TDS Tasks and of Chocolate-Chip Biscuit Characteristics on Oral Processing Features. Food Qual. Prefer. 2019, 76, 109–117. [Google Scholar] [CrossRef]
  29. Steele, C.M.; Alsanei, W.A.; Ayanikalath, S.; Barbon, C.E.A.; Chen, J.; Cichero, J.A.Y.; Coutts, K.; Dantas, R.O.; Duivestein, J.; Giosa, L.; et al. The Influence of Food Texture and Liquid Consistency Modification on Swallowing Physiology and Function: A Systematic Review. Dysphagia 2015, 30, 2–26. [Google Scholar] [CrossRef]
  30. Le Révérend, B.; Saucy, F.; Moser, M.; Loret, C. Adaptation of Mastication Mechanics and Eating Behaviour to Small Differences in Food Texture. Physiol. Behav. 2016, 165, 136–145. [Google Scholar] [CrossRef]
  31. Oncescu Moraru, A.; Preoteasa, C.; Preoteasa, E. Masticatory Function Parameters in Patients with Removable Dental Prosthesis. J. Med. Life 2019, 12, 43–48. [Google Scholar] [CrossRef]
  32. Oberlin-Brown, K.T.; Siegel, R.; Kilding, A.E.; Laursen, P.B. Oral Presence of Carbohydrate and Caffeine in Chewing Gum: Independent and Combined Effects on Endurance Cycling Performance. Int. J. Sport. Physiol. Perform. 2016, 11, 164–171. [Google Scholar] [CrossRef]
  33. Cohen, J. Statistical Power Analysis for the Behavioral Sciences, 2nd ed.; Lawrence Erlbaum Associates: Mahwah, NJ, USA, 1988; pp. 19–66. [Google Scholar]
  34. Faul, F.; Erdfelder, E.; Buchner, A.; Lang, A.-G. Statistical power analyses using G*Power 3.1: Tests for correlation and regression analyses. Behav. Res. Methods 2009, 41, 1149–1160. [Google Scholar] [CrossRef]
  35. Chartogne, M.; Millour, G.; García-López, J.; Duc, S.; Rodríguez-Marroyo, J.A.; Pernía, R.; Bertucci, W. Acute effects of small changes in antero-posterior shoe-cleat position on physiological and biomechanical variables in road cycling. Sport. Biomech. 2022, 1–12, ahead of print. [Google Scholar] [CrossRef] [PubMed]
  36. Santalla, A.; Earnest, C.P.; Marroyo, J.A.; Lucia, A. The Tour de France: An updated physiological review. Int. J. Sport. Physiol. Perform. 2012, 7, 200–209. [Google Scholar] [CrossRef]
  37. Borg, G.A. Psychophysical Bases of Perceived Exertion. Med. Sci. Sport. Exerc. 1982, 14, 377–381. [Google Scholar] [CrossRef]
  38. Oppenheim, A.V.; Buck, J.R.; Schafer, R.W. Discrete-Time Signal Processing, 2nd ed.; Prentice Hall: Upper Saddle River, NJ, USA, 1999; pp. 184–201. [Google Scholar]
  39. Martínez-Sanz, J.M.; Fernández Nuñez, A.; Sospedra, I.; Martínez-Rodríguez, A.; Domínguez, R.; González-Jurado, J.A.; Sánchez-Oliver, A.J. Nutrition-related adverse outcomes in endurance sports competitions: A review of incidence and practical recommendations. Int. J. Environ. Res. Public Health 2020, 17, 4082. [Google Scholar] [CrossRef]
  40. Kerksick, C.M.; Wilborn, C.D.; Roberts, M.D.; Smith-Ryan, A.; Kleiner, S.M.; Jäger, R.; Collins, R.; Cooke, M.; Davis, J.N.; Galvan, E.; et al. ISSN Exercise & Sports Nutrition Review Update: Research & Recommendations. J. Int. Soc. Sport. Nutr. 2018, 15, 2–57. [Google Scholar]
  41. Wilson, P.B. ‘I Think I’m Gonna Hurl’: A Narrative Review of the Causes of Nausea and Vomiting in Sport. Sports 2019, 7, 162. [Google Scholar] [CrossRef]
  42. Foster, K.D.; Grigor, J.M.; Cheong, J.N.; Yoo, M.J.; Bronlund, J.E.; Morgenstern, M.P. The Role of Oral Processing in Dynamic Sensory Perception. J. Food Sci. 2011, 76, R49–R61. [Google Scholar] [CrossRef] [PubMed]
  43. Van der Bilt, A.; Abbink, J.H. The Influence of Food Consistency on Chewing Rate and Muscular Work. Arch. Oral Biol. 2017, 83, 105–110. [Google Scholar] [CrossRef]
  44. Stribiţcaia, E.; Evans, C.E.; Gibbons, C.; Blundell, J.; Sarkar, A. Food texture influences on satiety: Systematic review and meta-analysis. Sci. Rep. 2020, 10, 1–18. [Google Scholar] [CrossRef] [PubMed]
  45. Campbell, C.L.; Wagoner, T.B.; Foegeding, E.A. Designing Foods for Satiety: The Roles of Food Structure and Oral Processing in Satiation and Satiety. Food Struct. 2016, 13, 1–12. [Google Scholar] [CrossRef]
  46. Miquel-Kergoat, S.; Azais-Braesco, V.; Burton-Freeman, B.; Hetherington, M.M. Effects of Chewing on Appetite, Food Intake and Gut Hormones: A Systematic Review and Meta-Analysis. Physiol. Behav. 2015, 151, 88–96. [Google Scholar] [CrossRef] [PubMed]
  47. Tasaka, A.; Takeuchi, K.; Sasaki, H.; Yoshii, T.; Soeda, R.; Ueda, T.; Sakurai, K. Influence of Chewing Time on Salivary Stress Markers. J. Prosthodont. Res. 2014, 58, 48–54. [Google Scholar] [CrossRef] [PubMed]
  48. Koç, H.; Çakir, E.; Vinyard, C.J.; Essick, G.; Daubert, C.R.; Drake, M.A.; Osborne, J.; Foegeding, E.A. Adaptation of Oral Processing to the Fracture Properties of Soft Solids. J. Texture Stud. 2014, 45, 47–61. [Google Scholar] [CrossRef]
  49. Peyron, M.-A.; Mioche, L.; Renon, P.; Abouelkaram, S. Masticatory Jaw Movement Recordings: A New Method to Investigate Food Texture. Food Qual. Prefer. 1996, 7, 229–237. [Google Scholar] [CrossRef]
  50. Wilson, E.M.; Green, J.R. The Development of Jaw Motion for Mastication. Early Hum. Dev. 2009, 85, 303–311. [Google Scholar] [CrossRef]
  51. Foegeding, E.A.; Drake, M.A. Invited Review: Sensory and Mechanical Properties of Cheese Texture1. J. Dairy Sci. 2007, 90, 1611–1624. [Google Scholar] [CrossRef]
  52. Takada, K.; Miyawaki, S.; Tatsuta, M. The Effects of Food Consistency on Jaw Movement and Posterior Temporalis and Inferior Orbicularis Oris Muscle Activities during Chewing in Children. Arch. Oral Biol. 1994, 39, 793–805. [Google Scholar] [CrossRef]
  53. Engelen, L.; Fontijn-Tekamp, A.; van der Bilt, A. The Influence of Product and Oral Characteristics on Swallowing. Arch. Oral Biol. 2005, 50, 739–746. [Google Scholar] [CrossRef] [PubMed]
  54. Hutchings, J.B.; Lillford, P.J. The Perception of Food Texture-the Philosophy of the Breakdown Path. J. Texture Stud. 1988, 19, 103–115. [Google Scholar] [CrossRef]
  55. Van Erp, T.; Hoozemans, M.; Foster, C.; De Koning, J.J. Case Report: Load, Intensity, and Performance Characteristics in Multiple Grand Tours. Med. Sci. Sport. Exerc. 2020, 52, 868–875. [Google Scholar] [CrossRef]
  56. Zuhdi, M.; Khairi, A.N. Analysis of organoleptic properties and consumer acceptance of frozen noodle products. J. Halal Sci. Res. 2022, 3, 15–19. [Google Scholar] [CrossRef]
  57. Guillochon, M.; Rowlands, D.S. Solid, Gel, and Liquid Carbohydrate Format Effects on Gut Comfort and Performance. Int. J. Sport Nutr. Exerc. Metab. 2017, 27, 247–254. [Google Scholar] [CrossRef]
  58. Bourne, M.C. Food Texture and Viscosity: Concept and Measurement, 2nd ed.; Academic Press: San Diego, CA, USA, 2002; p. 427. [Google Scholar]
  59. Szczesniak, A.S. Objective Measurements of Food Texturea. J. Food Sci. 1963, 28, 410–420. [Google Scholar] [CrossRef]
  60. Tarnopolsky, M.A. Gender differences in metabolism; nutrition and supplements. J. Sci. Med. Sport 2000, 3, 287–298. [Google Scholar] [CrossRef] [PubMed]
  61. Wallis, G.A.; Dawson, R.; Achten, J.; Webber, J.; Jeukendrup, A.E. Metabolic response to carbohydrate ingestion during exercise in males and females. Am. J. Physiol.-Endocrinol. Metab. 2006, 290, E708–E715. [Google Scholar] [CrossRef]
  62. Feron, G.; Salles, C. Food oral processing in humans: Links between physiological parameters, release of flavour stimuli and flavour perception of food. Int. J. Food Stud. 2018, 7, 1–12. [Google Scholar] [CrossRef]
Figure 1. Protocol followed during the intervention. Abbreviations: W, Watts; HR, heart rate; Borg, perceived exertion using the Borg CR-10 scale.
Figure 1. Protocol followed during the intervention. Abbreviations: W, Watts; HR, heart rate; Borg, perceived exertion using the Borg CR-10 scale.
Applsci 13 02362 g001
Figure 2. Cyclist with markers placed on his jaw and forehead during the test.
Figure 2. Cyclist with markers placed on his jaw and forehead during the test.
Applsci 13 02362 g002
Figure 3. Results of the satisfaction perception survey scored from 1 (“very bad/a little”) to 5 (“very good/a lot”). Abbreviations: AP, Aptonia bar, EX, Etixx bar. No significant differences were found.
Figure 3. Results of the satisfaction perception survey scored from 1 (“very bad/a little”) to 5 (“very good/a lot”). Abbreviations: AP, Aptonia bar, EX, Etixx bar. No significant differences were found.
Applsci 13 02362 g003
Table 1. Nutritional information of the bars: Aptonia (AP) and Etixx (EX).
Table 1. Nutritional information of the bars: Aptonia (AP) and Etixx (EX).
Energy BarAPEX
ModelEnergy DateEnergy Sport Bar
Mass40 g40 g
PriceEUR 0.8EUR 2.5
Energetic value136 kcal142 kcal
Carbohydrates26 g27.2 g
Sugars22 g11.7 g
Fat2.2 g2.3 g
Protein1.3 g2.5 g
Sodium60 mg100 mg
Table 2. Parameters analysed during the kinematics of oral processing.
Table 2. Parameters analysed during the kinematics of oral processing.
ParameterDescription
Duration (s)Time from when the food was placed in the mouth and chewing began until jaw movement was no longer detected.
Number of chews (n)Number of complete chews counted during the chewing duration.
Mean time (cs)Average time for each chew.
Minimum time (cs)Minimum time for each chew.
Maximum time (cs)Maximum time for each chew.
Average opening (mm)Mean displacement of the jaw during the phases of opening the mouth.
Minimum opening (mm)Minimum displacement of the jaw during the phases of opening the mouth.
Maximum opening (mm)Maximum displacement of the jaw during the phases of opening the mouth.
Average closing (mm)Mean displacement of the jaw during the phases of closing the mouth.
Minimum closing (mm)Minimum displacement of the jaw during the phases of closing the mouth.
Maximum closing (mm)Maximum displacement of the jaw during the phases of closing the mouth.
Speed (mm/s)Average jaw speed.
Table 3. Comparison of oral processing of the Aptonia (AP) and Etixx (EX) bars. The data are expressed as mean values with their standard deviations (SDs), significances (p), and Cohen effect sizes (ES).
Table 3. Comparison of oral processing of the Aptonia (AP) and Etixx (EX) bars. The data are expressed as mean values with their standard deviations (SDs), significances (p), and Cohen effect sizes (ES).
VariableAP Bar
Mean ± SD
EX Bar
Mean ± SD
p (ES)
Duration (s)32.71 ± 6.06 *39.79 ± 10.57p = 0.013 (>0.8)
Number of chews (n)43.30 ± 10.01 **51.80 ± 12.21p = 0.009 (0.7)
Mean time (cs)76.50 ± 6.5076.81 ± 6.90p > 0.05
Minimum time (cs)54.02 ± 6.0151.50 ± 3.60p > 0.05
Maximum time (cs)139.25 ± 28.28151.75 ± 24.89p > 0.05
Average opening (mm)13.54 ± 2.66 *12.41 ± 2.76p = 0.014 (0.4)
Minimum opening (mm)5.55 ± 2.26 *4.64 ± 1.92p = 0.013 (0.4)
Maximum opening (mm)21.48 ± 2.8121.56 ± 3.76p > 0.05
Average closing (mm)13.73 ± 2.64 **12.51 ± 2.77p = 0.009 (0.4)
Minimum closing (mm)5.35 ± 2.474.77 ± 1.62p > 0.05
Maximum closing (mm)22.08 ± 3.1821.82 ± 3.34p > 0.05
Speed (mm/s)17.90 ± 3.7416.54 ± 5.06p > 0.05
Significant differences between the two bars are indicated as follows: * p < 0.05 and ** p < 0.01.
Table 4. Comparison of the performance variables for the Aptonia (AP) and Etixx (EX) bars. The data are expressed as mean values with their standard deviations (SDs), significances (p), and Cohen effect sizes (ES).
Table 4. Comparison of the performance variables for the Aptonia (AP) and Etixx (EX) bars. The data are expressed as mean values with their standard deviations (SDs), significances (p), and Cohen effect sizes (ES).
VariableAP Bar
Mean ± SD
EX Bar
Mean ± SD
p (ES)
Torque (Nm)13.04 ± 3.2115.63 ± 1.85p > 0.05
Speed (km/h)24.36 ± 2.1826.16 ± 1.47p > 0.05
Average power (W)127.65 ± 6.72125.47 ± 6.97p > 0.05
Average cadence (p*m)80.36 ± 4.4977.64 ± 1.81p > 0.05
Disclaimer/Publisher’s Note: The statements, opinions and data contained in all publications are solely those of the individual author(s) and contributor(s) and not of MDPI and/or the editor(s). MDPI and/or the editor(s) disclaim responsibility for any injury to people or property resulting from any ideas, methods, instructions or products referred to in the content.

Share and Cite

MDPI and ACS Style

Jimenez-Perez, I.; Aladro-Gonzalvo, A.R.; Vera Morán, A.; Camacho-García, A.; Encarnación-Martínez, A.; Pérez-Soriano, P. The Effect of the Texture of Two Energy Bars on the Oral Processing of Cyclists: An Exploratory Study. Appl. Sci. 2023, 13, 2362. https://doi.org/10.3390/app13042362

AMA Style

Jimenez-Perez I, Aladro-Gonzalvo AR, Vera Morán A, Camacho-García A, Encarnación-Martínez A, Pérez-Soriano P. The Effect of the Texture of Two Energy Bars on the Oral Processing of Cyclists: An Exploratory Study. Applied Sciences. 2023; 13(4):2362. https://doi.org/10.3390/app13042362

Chicago/Turabian Style

Jimenez-Perez, Irene, Arian Ramón Aladro-Gonzalvo, Antonio Vera Morán, Andrés Camacho-García, Alberto Encarnación-Martínez, and Pedro Pérez-Soriano. 2023. "The Effect of the Texture of Two Energy Bars on the Oral Processing of Cyclists: An Exploratory Study" Applied Sciences 13, no. 4: 2362. https://doi.org/10.3390/app13042362

APA Style

Jimenez-Perez, I., Aladro-Gonzalvo, A. R., Vera Morán, A., Camacho-García, A., Encarnación-Martínez, A., & Pérez-Soriano, P. (2023). The Effect of the Texture of Two Energy Bars on the Oral Processing of Cyclists: An Exploratory Study. Applied Sciences, 13(4), 2362. https://doi.org/10.3390/app13042362

Note that from the first issue of 2016, this journal uses article numbers instead of page numbers. See further details here.

Article Metrics

Back to TopTop