Penetration Overload Prediction Method Based on a Deep Neural Network with Multiple Inputs
Abstract
:1. Introduction
2. Related Work
3. Method
3.1. Penetration Simulation and Data Set Introduction
3.1.1. Selection of the Penetration Overload Data Extraction Position
3.1.2. Selection of the Penetration Overload Data Set Label Type
3.2. Model Introduction
3.2.1. The Principle of the Transformer
3.2.2. The Improved PF-Informer Model
Informer Model Architecture
Modification of the Time Input of the PF-Informer Model
Modification of the Non-Variable Physical Quantity Inputs of the PF-Informer Model
4. Experiments
- (1)
- The PF Informer model is used, in which time series prediction only takes time as input for model training.
- (2)
- The PF Informer model is used, in which the time and various projectile parameters are used as the input of time series prediction for model training.
4.1. Training Environment
4.2. Model Training
4.2.1. Local Prediction Effect of the Multilayer Target Model
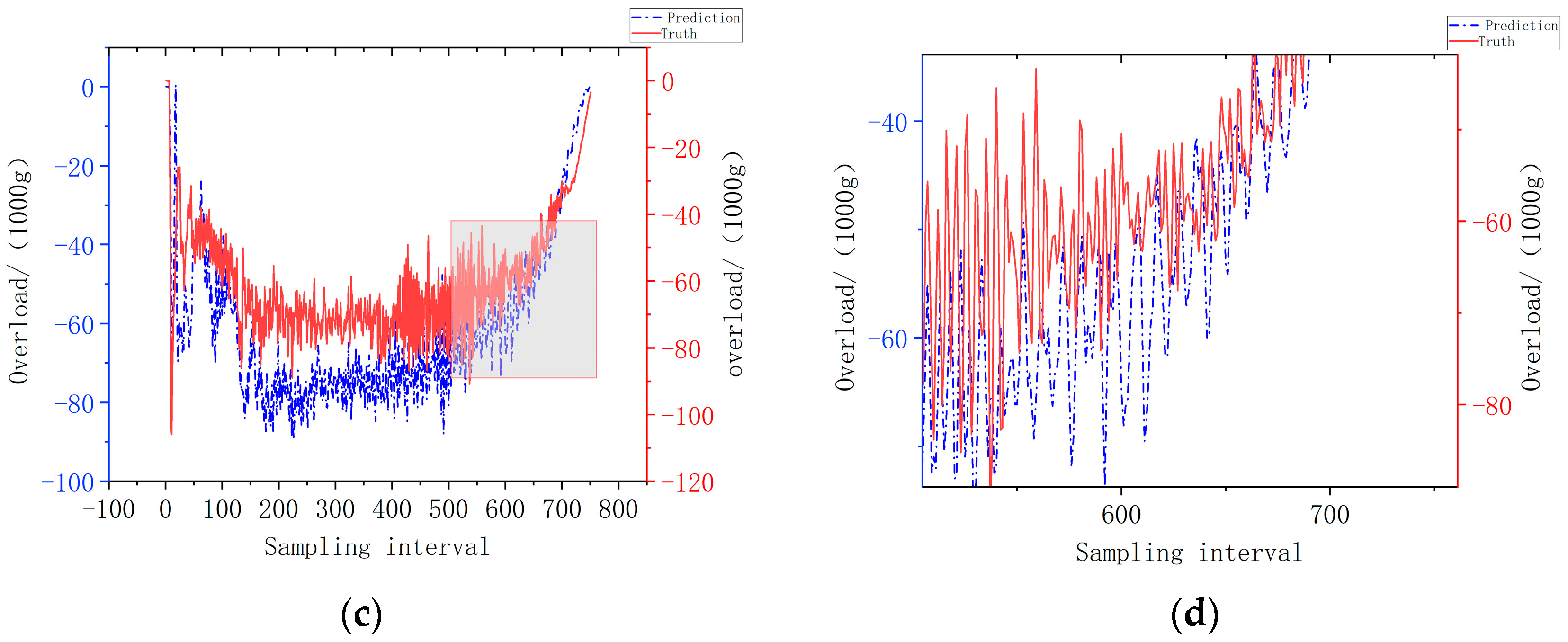
4.2.2. Local Prediction Effect of the Thick Target Model
4.3. Results of Model Prediction
4.4. Forecasting Model Test
4.5. Comparison with Other Models
5. Discussion
5.1. Model Training of Small Batch Data
5.2. Model Accuracy and Operation Speed
5.3. Motivation and Contribution of the Study
5.4. Limitations and Future Direction
6. Conclusions
Author Contributions
Funding
Institutional Review Board Statement
Informed Consent Statement
Data Availability Statement
Conflicts of Interest
References
- Ziming, G.; Qin, F.; Yadong, Z.; Haichun, Y.; Rui, H. Numerical simulation of oblique penetration of steel long rod projectile into medium thick target. J. PLA Univ. Sci. Technol. 2001, 66–70. [Google Scholar]
- Rong, L.; Lihong, D.; Minzhong, W.; Zhihao, S.; Chuhui, L. Mechanism of super-high speed penetration fuze multi-layer target overload interlayer adhesion. J. Detect. Control 2020, 42, 1–4+9. [Google Scholar]
- Anonymous. Call for Abstracts for 65th Annual Fuze Conference. In Proceedings of the 65th Annual Fuze Conference, Renton, WA, USA, 10–12 May 2022; Volume 106. [Google Scholar]
- Backman, M.E.; Goldsmith, W. The mechanics of penetration of projectiles into targets. Int. J. Eng. Sci. 1978, 16, 1–99. [Google Scholar] [CrossRef]
- Wang, J.F. A review of the research status of penetration. China Science and Technology Information 2005, 2, 129–130. [Google Scholar]
- Hochreiter, S.; Schmidhuber, J. Long Short-Term Memory. Neural Comput. 1997, 9, 1735–1780. [Google Scholar] [CrossRef]
- Jing, L.; Gulcehre, C.; Peurifoy, J.; Shen, Y.; Tegmark, M.; Soljacic, M.; Bengio, Y. Gated Orthogonal Recurrent Units: On Learning to Forget. Neural Comput. 2019, 31, 765–783. [Google Scholar] [CrossRef]
- Williams, W.; Prasad, N.; Mrva, D. Recurrent Neural Network Regularization. arXiv 2014, arXiv:1409.2329. [Google Scholar]
- Vaswani, A.; Shazeer, N.; Parmar, N.; Uszkoreit, J.; Jones, L.; Gomez, A.; Kaiser, L.; Polosukhin, I. Attention Is All You Need. arXiv 2017, arXiv:1706.03762. [Google Scholar]
- Liu, W.; Li, R.; Shi, L.N.K. Research status and prospect of hard target penetration and detonation control technology. J. Mil. Eng. 2022, 1–19. [Google Scholar] [CrossRef]
- Liu, Z.; Gao, S.; Liu, H.; Zhang, D.; He, L. Nonlinear adaptive noise-induced algorithm and its application in penetration signal. Measurement 2014, 58, 556–565. [Google Scholar] [CrossRef]
- Zhao, H.; Zhang, Y.; Li, S. Underdetermined blind source separation and feature extraction of penetration overload signal. J. Instrum. 2019, 40, 208–218. [Google Scholar]
- Zhang, C.; Zhang, Y.; Li, S. Blind separation of penetration overload signal based on variational mode decomposition. Vib. Shock. 2022, 41, 280–286. [Google Scholar]
- Fang, A.; Li, R. Neural network method for accurate layer identification of penetration fuze based on data enhancement. J. Detect. Control 2022, 44, 1–6. [Google Scholar]
- Huang, J.; Liu, R.; He, X.; Sun, G.; Xu, P. Data Processing Method of Penetration Overload Test Signal. Explos. Shock. 2009, 29, 555–560. [Google Scholar]
- Hao, H.; Li, X.; Sun, Y.; Liu, M. Analysis Method of Structural Response Frequency Characteristics of Projectile during Penetration. Vibration. Test 2013, 33, 307–310+343. [Google Scholar] [CrossRef]
- Xiaolong, Z.; Tiehua, M.; Peng, X.; Jinbiao, F. Measurement and analysis of acceleration signal of projectile penetrating concrete. Explos. Impact 2014, 34, 347–353. [Google Scholar]
- Hua, Z.; Shi, Y.; Mi, Z.; Wang, Y.; Shi, Y. Zero drift processing method based on empirical mode and low-pass filtering. J. Detect. Control 2022, 44, 66–72. [Google Scholar]
- Huang, N.E.; Shen, Z.; Long, S.R.; Wu, M.C.; Shih, H.H.; Zheng, Q.; Yen, N.-C.; Tung, C.C.; Liu, H.H. The Empirical Mode Decomposition and the Hilbert Spectrum for Nonlinear and Non-stationary Time Series Analysis. R. Soc. Proc. Math Phys. Eng. Sci. 1971, 454, 903–995. [Google Scholar] [CrossRef]
- Dragomiretskiy, K.; Zosso, D. Variational Mode Decomposition. IEEE Trans. Signal Process. 2014, 62, 531–544. [Google Scholar] [CrossRef]
- Qianhua, S.; Kai, S.; Hanyu, Z. Preprocessing method of penetration fuze layer counting signal based on box differential filtering. J. Detect. Control 2020, 42, 27–30. [Google Scholar]
- Dai, Z.; Gao, S.; Li, Z.; Zhang, Y. Dynamic threshold layer counting algorithm based on envelope prediction. J. Weapon Equip. Eng. 2020, 41, 53–56. [Google Scholar]
- Han, X.; Wang, Y.; Jiao, C. Research on layer number recognition of multilayer penetration fuze. Electron. Compon. 2019, 42, 761–766. [Google Scholar]
- Zhang, J.; Li, C.; Yang, X.; Xu, L. Research on the filtering method of earth penetrating projectile penetrating soil vibration signal. Prot. Eng. 2016, 26–29. [Google Scholar]
- Wang, Y.L. Study on Overload Characteristics of Flat nosed Projectile Penetrating Aluminum Target at Low Speed and Ultra Low Speed. Master’s Thesis, Southwest University of Science and Technology, Mianyang, China, 2019. [Google Scholar]
- Liu, S.H. Analysis and Modeling of Fuze Dynamic Response Characteristics in High Speed Penetration Environment. Master’s Thesis, Beijing University of Technology, Beijing, China, 2018. [Google Scholar]
- Xu, Y.Y. Experimental Study on Overload Characteristics of Low Speed Penetration of Projectile. Master’s Thesis, Southwest University of Science and Technology, Mianyang, China, 2018. [Google Scholar]
- Zhou, H.; Zhang, S.; Peng, J.; Zhang, S.; Li, J.; Xiong, H.; Zhang, W. Informer: Beyond Efficient Transformer for Long Sequence Time- Series Forecasting. arXiv 2020. [Google Scholar] [CrossRef]
- Joyce, J.M. Kullback-Leibler Divergence; Springer: Berlin/Heidelberg, Germany, 2011. [Google Scholar]
- Clevert, D.-A.; Unterthiner, T.; Hochreiter, S. Fast and Accurate Deep Network Learning by Exponential Linear Units (ELUS). arXiv 2016, arXiv:1511.07289. [Google Scholar]
- Zhang, J.; Li, Y.; Xiao, W.; Zhang, Z. Non-iterative and Fast Deep Learning: Multilayer Extreme Learning Machines. J. Frankl. Inst. 2020, 357, 8925–8955. [Google Scholar] [CrossRef]
- Zhang, J.; Zhao, Y.; Shone, F.; Li, Z.; Frangi, A.F.; Xie, S.Q.; Zhang, Z.-Q. Physics-Informed Deep Learning for Musculoskeletal Modeling: Predicting Muscle Forces and Joint Kinematics From Surface EMG. IEEE Trans. Neural Syst. Rehabil. Eng. 2023, 31, 484–493. [Google Scholar] [CrossRef]















| Encoder | Decoder | Model Dimension | Multiple Attention Heads | Number of Convolutional Network Layers | Training Epochs | Patience Training Rounds | Algorithm Optimizer | Learning Rate | Batch Size |
|---|---|---|---|---|---|---|---|---|---|
| 5 | 5 | 512 | 8 | 1024 | 100 | 20 | Adam | 0.0001 | 128 |
| Single Multilayer Target (First Test) | Single Multilayer Target (Second Test) | Multi Element Multilayer Target (First Test) | Multi Element Multilayer Target (Second Test) | Single Thickness Target (First Test) | Single Thickness Target (First Test) | Multi Element Thick Target (First Test) | Multi Element Thick Target (Second Test) | |
|---|---|---|---|---|---|---|---|---|
| MSE | 0.411 | 0.421 | 0.226 | 0.221 | 5.395 | 5.560 | 0.462 | 0.452 |
| MAE | 0.491 | 0.502 | 0.260 | 0.252 | 1.825 | 1.856 | 0.718 | 0.705 |
| PF-Informer | GRU-ODE-BAYES | GRU | LSTM | ARIMA | CNN | N-BEATS | |
|---|---|---|---|---|---|---|---|
| MSE | 0.221 | 0.366 | 0.464 | 0.452 | 0.932 | 0.822 | 0.343 |
| MAE | 0.252 | 0.387 | 0.520 | 0.502 | 1.012 | 0.942 | 0.369 |
Disclaimer/Publisher’s Note: The statements, opinions and data contained in all publications are solely those of the individual author(s) and contributor(s) and not of MDPI and/or the editor(s). MDPI and/or the editor(s) disclaim responsibility for any injury to people or property resulting from any ideas, methods, instructions or products referred to in the content. |
© 2023 by the authors. Licensee MDPI, Basel, Switzerland. This article is an open access article distributed under the terms and conditions of the Creative Commons Attribution (CC BY) license (https://creativecommons.org/licenses/by/4.0/).
Share and Cite
Ma, H.; Sun, H.; Li, C. Penetration Overload Prediction Method Based on a Deep Neural Network with Multiple Inputs. Appl. Sci. 2023, 13, 2351. https://doi.org/10.3390/app13042351
Ma H, Sun H, Li C. Penetration Overload Prediction Method Based on a Deep Neural Network with Multiple Inputs. Applied Sciences. 2023; 13(4):2351. https://doi.org/10.3390/app13042351
Chicago/Turabian StyleMa, Haoran, Hang Sun, and Changsheng Li. 2023. "Penetration Overload Prediction Method Based on a Deep Neural Network with Multiple Inputs" Applied Sciences 13, no. 4: 2351. https://doi.org/10.3390/app13042351
APA StyleMa, H., Sun, H., & Li, C. (2023). Penetration Overload Prediction Method Based on a Deep Neural Network with Multiple Inputs. Applied Sciences, 13(4), 2351. https://doi.org/10.3390/app13042351
