Induction Heating of a Fluidized Pebble Bed: Numerical and Experimental Analysis
Abstract
1. Introduction
1.1. Applications of Electric Flow Heaters
1.2. Conceptual Arrangement of the Induction Gas Hater
1.3. Contributions
2. Numerical Model
2.1. Particle Model: Electromagnetic Field Solution
2.2. Two-Phase Electrothermal Model: Coupled Electromagnetic and Thermal Analysis
2.2.1. Geometry Modeling and Meshing
2.2.2. Coupled Electromagnetic and Thermal Solution
3. Experimental Setup
4. Results and Discussion
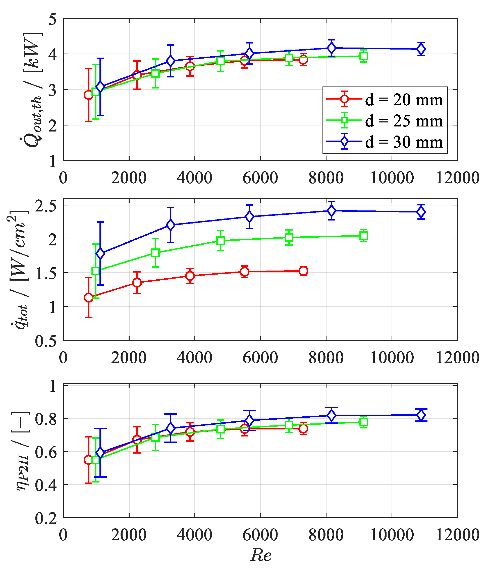
4.1. Experimental Results for PtH Efficiency and Heat Flux Density
4.2. Numerical Results and Validation
4.3. Idealized Parameter Study for
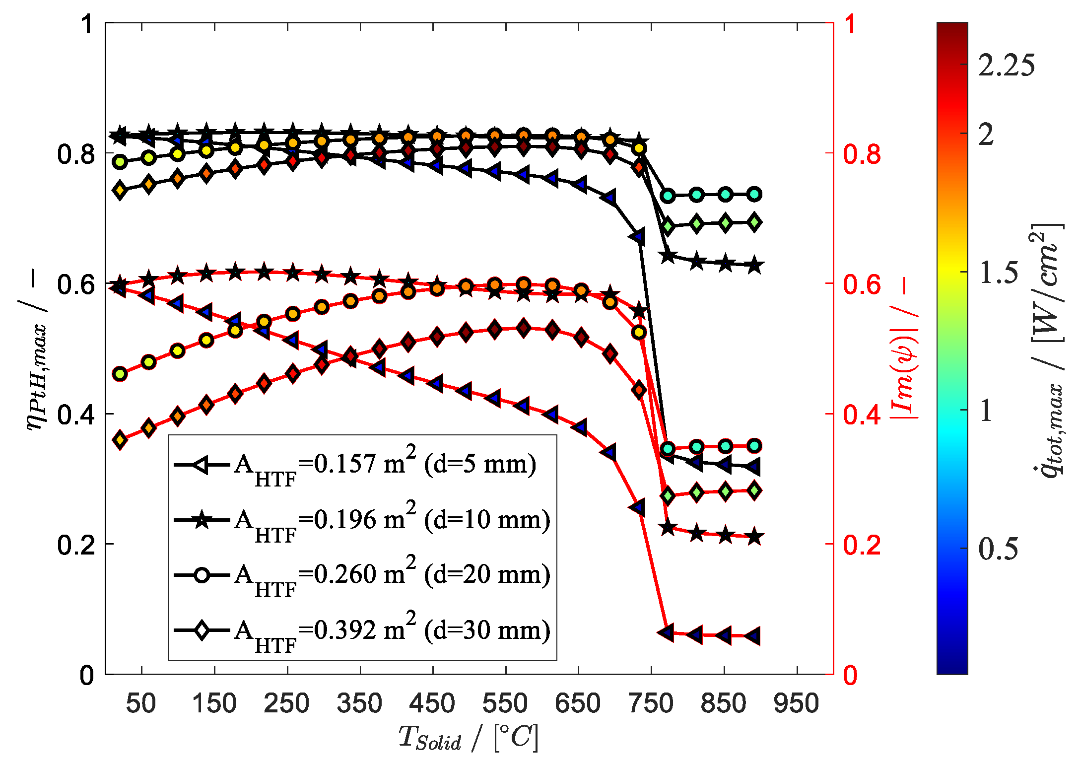
4.4. Idealized Parameter Study for
4.5. Identification of Efficient High-Temperature Materials
5. Conclusions
Author Contributions
Funding
Conflicts of Interest
Nomenclature
| area provided by the pebble bed for heat transfer (m2) | |
| magnetic flux density (T or kg s−2A−1) | |
| specific heat capacity (J kg−1 K−1) | |
| sphere diameter (m) | |
| bed diameter (m) | |
| electric field strength (V m−1) | |
| frequency (Hz) | |
| power transmission factor of a sphere (-) | |
| magnetic field strength (A m−1) | |
| bed height (m) | |
| inductor’s peak current (A) | |
| damping coefficient (m−1) | |
| Nagaoka’s correction factor (-) | |
| length (m) | |
| mass flow rate (kg s−1) | |
| number of spheres (-) | |
| number of inductor turns (-) | |
| electric power input at coil terminals (W) | |
| specific electric power per unit volume (W m−3) | |
| total electrically induced power input (W) | |
| Joule heat power density (W m−3) | |
| total heat flux density to HTF (W cm−2) | |
| sphere radius (m) | |
| Reynolds number (-) | |
| temperature (°C) | |
| time scale (s) | |
| volume (m3) | |
| volume flow rate (m3 s−1) | |
| free flow velocity (m s−1) | |
| relative skin depth (-) | |
| averaged quantity x | |
| vector quantity X | |
| Greek symbols | |
| skin depth (m) | |
| void fraction (-) | |
| energetic efficiency | |
| thermal conductivity (W m−1 K−1) | |
| magnetic field constant (N A−2) | |
| relative magnetic permeability (-) | |
| density (kg m−3) | |
| electrical conductivity () | |
| angular frequency (Hz) | |
| Subscripts and Superscripts | |
| C | Curie point/Curie temperature | 
| EFH | electric flow heater/electric fluid heater | 
| HT | high-temperature | 
| HTF | heat transfer fluid | 
| PB | pebble bed | 
| PtH | power-to-heat | 
| SiSiC | silicon-infiltrated silicon carbide | 
| TES | thermal energy storage | 
| s/f | solid/fluid phase | 
| i | Inductor/induction coil | 
Appendix A

References
- Böttger, D.; Götz, M.; Lehr, N.; Kondziella, H.; Bruckner, T. Potential of the power-to-heat technology in district heating grids in Germany. Energy Procedia 2014, 46, 246–253. [Google Scholar] [CrossRef]
- Välilä, K.; Laing-Nepustil, D.; Nepustil, U. Power-to-Heat—Wo könnte es hingehen? Z. Energ. 2020, 44, 247–259. [Google Scholar] [CrossRef]
- Sergio, L. Fundamentals of Electroheat. In Electrical Technologies for Process Heating; Springer: Cham, Switzerland, 2017. [Google Scholar]
- Lucía, O.; Maussion, P.; Dede, E.J.; Burdío, J.M. Induction heating technology and its applications: Past developments, current technology, and future challenges. IEEE Trans. Ind. Electron. 2014, 61, 2509–2520. [Google Scholar] [CrossRef]
- Lupi, S.; Michele, F.; Aleksandr, A. Induction and Direct Resistance Heating; Springer: Cham, Switzerland, 2015. [Google Scholar]
- Ohmex, Electrical Process Flow Heaters Datasheet. 2021. Available online: https://www.ohmex.de/en/wp-content/uploads/sites/3/2020/03/electric-process-heater_STR_2020-03.pdf (accessed on 25 April 2022).
- Schniewindt, Flow Heaters. 2021. Available online: https://www.schniewindt.de/en/csn-flow-heaters/ (accessed on 25 April 2022).
- Curran, J.S.; Featherstone, A.M. Electric-induction fluid heaters. Power Eng. J. 1988, 2, 157–160. [Google Scholar] [CrossRef]
- Vecchi, A.; Knobloch, K.; Liang, T.; Kildahl, H.; Sciacovelli, A.; Engelbrecht, K.; Li, Y.; Ding, Y. Carnot Battery development: A review on system performance, applications and commercial state-of-the-art. J. Energy Storage 2022, 55, 105782. [Google Scholar] [CrossRef]
- Benato, A. Performance and cost evaluation of an innovative pumped thermal electricity storage power system. Energy 2017, 138, 419–436. [Google Scholar] [CrossRef]
- Chen, L.X.; Hu, P.; Zhao, P.P.; Xie, M.N.; Wang, F.X. Thermodynamic analysis of a high-temperature pumped thermal electricity storage (HT-PTES) integrated with a parallel organic Rankine cycle (ORC). Energy Convers. Manag. 2018, 177, 150–160. [Google Scholar] [CrossRef]
- Sergej, B. Techno-economic evaluation of a Brayton Battery configuration with Power-to-Heat extension. J. Energy Storage 2023, 62, 104570. [Google Scholar]
- Unver, U.; Yuksel, A.; Kelesoglu, A.; Yuksel, F.; Unver, H.M. Analysis of a novel high performance induction air heater. Therm. Sci. 2018, 22 (Suppl. 3), 843–853. [Google Scholar] [CrossRef]
- Unver, U. Efficiency analysis of induction air heater and investigation of distribution of energy losses. Teh. Vjesn. 2016, 23, 1259–1267. [Google Scholar] [CrossRef]
- Baumeister, E.B.; Bennett, C.O. Fluid-particle heat transfer in packed beds. AIChE J. 1958, 4, 69–74. [Google Scholar] [CrossRef]
- Eichorn, J.A.C.O.B.; Robert, R.W. Particle to Fluid Heat Transfer in Fixed and Fluidized Beds. Chem. Eng. Progr. Symp. Ser. 1952, 48, 11. [Google Scholar]
- Xu, G.; Sun, Z.; Meng, X.; Zhang, X. Flow boiling heat transfer in volumetrically heated packed bed. Ann. Nucl. Energy 2014, 73, 330–338. [Google Scholar] [CrossRef]
- Leininger, S.; Kulenovic, R.; Rahman, S.; Repetto, G.; Laurien, E. Experimental investigation on reflooding of debris beds. Ann. Nucl. Energy 2014, 74, 42–49. [Google Scholar] [CrossRef]
- Duquenne, P.; Deltour, A.; Lacoste, G. Application of inductive heating to granular media: Temperature distribution in granula bed. Int. J. Heat Mass Transf. 1993, 36, 2473–2477. [Google Scholar] [CrossRef]
- Duquenne, P.; Deltour, A.; Lacoste, G. Application of inductive heating to granular media: Modelling of electrical phenomena. Can. J. Chem. Eng. 1994, 72, 975–981. [Google Scholar] [CrossRef]
- Kennedy, M.W.; Akhtar, S.; Bakken, J.A.; Aune, R.E. Review of classical design methods as applied to aluminum billet heating with induction coils. In Proceedings of the EPD Congress 2011-TMS 2011 Annual Meeting and Exhibition, San Diego, CA, USA, 27 February–3 March 2011; pp. 707–722. [Google Scholar]
- Poritsky, H. Conducting sphere in alternating magnetic fields. Trans. Am. Inst. Electr. Eng. Part I Commun. Electron. 1960, 78, 937–942. [Google Scholar] [CrossRef]
- Nagaoka, H. The inductance coefficients of solenoids. J. Coll. Sci. Imp. Univ. Tokyo Jpn. 1909, 27, 1–33. [Google Scholar]
- Rocky 4.4 DEM Technical Manual; Engineering Simulation and Scientific Software: Florianópolis, Brazil, 2020.
- Rothman, M. (Ed.) High-Temperature Property Data: Ferrous Alloys; ASM International: Almere, The Netherlands, 1988. [Google Scholar]
- Silca Refractory Solutions. “Thermal Insulation, Non-Ferrous Meatal Casting & Fire Protection” Catalogue 2018. Available online: https://www.silca-online.de/fileadmin/2.pdf/04.produktdatenblaetter-ht-en/PDB-SILCAFELT_EN.pdf (accessed on 15 July 2022).
- BCE Special Ceramics. “Comparison Table for Technical Ceramics” 2021. Available online: https://www.bce-special-ceramics.com/comparison/bce-material-table.htm (accessed on 15 July 2022).
- Lucks, C.; Deem, H. Thermal Properties of 13 Metals; Special Technical Publication No. 227; ASTM: West Conshohocken, PA, USA, 1958. [Google Scholar]
- Harvey, P. (Ed.) Engineering Properties of Steel; ASM: Almere, The Netherlands, 1982. [Google Scholar]
- Frenzelit GmbH. Novamica®—Phlogopite Mica Gaskets. Available online: https://www.frenzelit.com/fileadmin/produkte/dichtungen/novamica/de_en/Brochure_novamica_en.pdf (accessed on 16 July 2022).
- Hänchen, M.; Brückner, S.; Steinfeld, A. High-temperature thermal storage using a packed bed of rocks–heat transfer analysis and experimental validation. Appl. Therm. Eng. 2011, 31, 1798–1806. [Google Scholar] [CrossRef]















| Parameter | Magnitude | 
|---|---|
| particle diameter particle number | case 1: 30 mm; case 2: 25 mm; case 3: 20 mm case 1: 61; case 2: 91; case 3: 160 | 
| time step | 5 × 10−7 s | 
| Young modulus Poisson’s ratio | 210 × 109 Pa 0.30 | 
| restitution coefficient | 0.20 | 
| Parameter | Inductor | Insulation | Ceramic Tube | Pebble Bed | 
|---|---|---|---|---|
| height [m] | 0.50 | 0.60 | 0.470 | 0.07–0.10 | 
| outer/inner diameter [m] | 0.190/0.170 | 0.170/0.160 | 0.160/0.136 | d = 0.02/0.025/0.03 spheres | 
| thickness [m] | 0.010 | 0.005 | 0.012 | ≙ outer diam. | 
| number [-] | 12 turns | 2 layers | 1 piece | 160/91/61pc. | 
| heat transfer area [m2] | - | 0.32 | 0.20 | 0.201/0.1787/0.1725 | 
| material | Cu: 80% IACS | Al. silica felt 140Z [26] | Al2O3 C799 [27] | UNS G10060 [25,28,29] | 
| Sensor | Measurement | Range | Accuracy | 
|---|---|---|---|
| Pt 100 class.1/3 B4 ladder | Temperature of cooling water | −50… +300 °C | ±0.27 °C for 0–100 °C | 
| Thermocouple type K, class.1 | Temperature Solid | −40… +1000 °C | ±1.5 °C or 0.4% m. v. | 
| Multipoint Thermocouple type K, Class 1 | Temperature air | −40… +1000 °C | ±1.5 °C or 0.4% m. v. | 
| Flow sensor IFM SM6050 | Volume flow rate for water | 0–25 L/min. | ±(0.8% m. v. +0.5% m. e. v.) | 
| Oscilloscope RTH1004 | Voltage Ui and Current output | 0…300 V, f ≤ 60 MHz | |
| Rogowski coil MA200 Miniflex | Current Ii | ±2.0% (f ≤ 1 MHz) | ±(2.5% m. v. +0.7 A) | 
| MF converter | Power input and frequency | 0.5–40 kW | ±2.0% | 
| BronkhorstF-206BI-PGF-99-V | Volume flow rate for air | 0–350 Nm3/h | ±0.5% m. v. +0.1% | 
| Pitot Tube | Flow velocity | 0–10 m/s | ±3.0% reading | 
| Air Inlet Velocity | 0.62 m/s | 1.27 m/s | 1.87 m/s | 1.46 m/s | 3.05 m/s | |
|---|---|---|---|---|---|---|
| Ii [A] | d = 20 mm | 347.89 | 328.05 | 323.14 | 323.16 | 311.62 | 
| d = 25 mm | 341.54 | 331.33 | 331.32 | 326.21 | 322.85 | |
| d = 30 mm | 341.05 | 333.98 | 328.74 | 327.04 | 323.53 | |
| f [kHz] | d = 20 mm | 20.68 | 21.23 | 21.36 | 21.38 | 21.56 | 
| d = 25 mm | 20.84 | 21.30 | 21.41 | 21.57 | 21.57 | |
| d = 30 mm | 21.16 | 21.65 | 21.97 | 22.01 | 22.10 | |
| Parameter | Magnitude | 
|---|---|
| Particle diameter Number of particles Outer packed bed diameter Packed bed height Inductor and wire diameter Inductor length | d = 0.12 m n = 4688 DPB = 1.5 m HPB = 4.0 m Di = 1.875 m; si = 2.5 cm li = 5.0 m | 
| Number of inductor turns | Ni = 144 | 
| Disclaimer/Publisher’s Note: The statements, opinions and data contained in all publications are solely those of the individual author(s) and contributor(s) and not of MDPI and/or the editor(s). MDPI and/or the editor(s) disclaim responsibility for any injury to people or property resulting from any ideas, methods, instructions or products referred to in the content. | 
© 2023 by the authors. Licensee MDPI, Basel, Switzerland. This article is an open access article distributed under the terms and conditions of the Creative Commons Attribution (CC BY) license (https://creativecommons.org/licenses/by/4.0/).
Share and Cite
Belik, S.; Khater, O.; Zunft, S. Induction Heating of a Fluidized Pebble Bed: Numerical and Experimental Analysis. Appl. Sci. 2023, 13, 2311. https://doi.org/10.3390/app13042311
Belik S, Khater O, Zunft S. Induction Heating of a Fluidized Pebble Bed: Numerical and Experimental Analysis. Applied Sciences. 2023; 13(4):2311. https://doi.org/10.3390/app13042311
Chicago/Turabian StyleBelik, Sergej, Omar Khater, and Stefan Zunft. 2023. "Induction Heating of a Fluidized Pebble Bed: Numerical and Experimental Analysis" Applied Sciences 13, no. 4: 2311. https://doi.org/10.3390/app13042311
APA StyleBelik, S., Khater, O., & Zunft, S. (2023). Induction Heating of a Fluidized Pebble Bed: Numerical and Experimental Analysis. Applied Sciences, 13(4), 2311. https://doi.org/10.3390/app13042311
 
        

 
                                                

 
                         
       