Sentiment Analysis and Topic Modeling Regarding Online Classes on the Reddit Platform: Educators versus Learners
Abstract
:1. Introduction
2. Literature Review
3. Research Gap
4. Methodology
4.1. Data Collection
4.2. Data Source Selection
4.3. Data Analysis
5. Results
5.1. Data Collected
5.2. Topics Detected (RQ1)
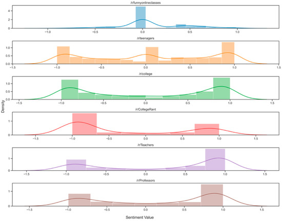
5.3. Sentiment Difference between Stakeholders (RQ2)
5.4. Changes over Time (RQ3)
6. Discussions, Conclusions, and Limitations
Author Contributions
Funding
Institutional Review Board Statement
Informed Consent Statement
Data Availability Statement
Conflicts of Interest
Appendix A
| Example Posts from Educators |
| It makes me sad because I’m passionate about the subject and love teaching it. Before, people would come to my office, and we would work stuff out. Now, nobody goes on my zoom. Instead, students cheat and never get the help they need from me. Annoyed about people cheating? Develop tests and assessments that you can’t cheat in or are pointless to cheat in. Many of us have done it, including many STEM instructors. Some of you post edgy comments and posts about how excited you get from busting dozens of students using online resources for online tests…? Do you realize that practically the entire class can cheat on straightforward questions? Here’s a surprise: everyone is. So change your testing style and stop making the conditions ripe to ruin dozens of lives. Should I: 1. give all students an opportunity to retake the test, so all have the same chances to cheat? 2. Only let the students who missed the exam take the test by looking at a PDF online and taking it on separate paper with cameras on, so hopefully, I can prevent at least some of the worst teaching. Option 3. Design a new test thru edulastic (an electronic testing program) and have everyone take the new test. Help…need advice. BTW…yes, cheating is that bad at my school. But it’s a cultural thing. They see it as working the system and not unethical. |
| Example Posts from Students |
| Yep, i cheat in the online school. This year has been very stressful with covid and some family situations going on. I feel very difficult to focus in class, and I would rather do something important like practice getting better at speed running or playing the trombone. Every time when I do it, I feel ashamed and guilty for what I do, and it never seems to shake off. I really want to learn and not cheat by missing one section and move on to a new section with different things that are more challenging. He offered to pay me to take the test for him. I said I would never accept money for that and offered to tutor him for free. There are still 2 weeks before the test, and it’s easy math. I have a degree in Math and worked my ass off to graduate in the top 10% of my class. I will not take the test for him, but I also hate the idea of him failing and being set back by a whole year. I legitimately believe that he will be fine without ever learning the material, but I can’t bring myself to cheat for him. This class has caused me so much suffering and tears throughout the year, and when I realized the opportunity to cheat because of online learning would be right there, I didn’t hesitate. Despite being monitored, I had my notes in front of me every single quiz. I just put them on the wall. The more I cheated, the more guilty I felt about this. Cheating goes against my morals. All of my friends have been cheating, and I felt that if I didn’t cheat, I would be at a disadvantage. |
Appendix B
| Unique Word | Example Posts |
| Panic (Educators) | Since moving the class online, this student has complained to the dean and my chair that I have increased my demands on the class (not true) and that I am responsible for this student developing panic attacks Yesterday, another student asked for the link because she registered for a synchronous class. So I’m like, this is weird, and just respond and confirm again that it’s not live. So I’m thinking to myself, I HAD to have missed something—so I go back to my emails, and SURE ENOUGH, it says synchronous. CUE MY PANIC. I am at home today for Veteran’s day, and I just had a panic attack trying to lesson plan. I don’t know how much longer I can do this. I am tired of online/in-person teaching at the same time. I am tired of the lack of student participation. I am tired of working 14-h days with little to no payoff. I am tired of nausea I get when I even think about work. Please tell me this gets better. |
| Successful, Awesome (Educators) | So long story short, I have a double period with students, which is great when in person, but online seems wasted. Small groups do not work online, so successful students are droning away on different online programs, and students who fail or don’t participate during class get extra time to do their work and still don’t finish it anyways. If you had an extra period, what is something you would do with students for 45 min that isn’t a complete waste of time and translates well online? I’ve never seen these particular students so engaged, curious, and excited to come to my class and learn. Yes, my online students aren’t engaged, and some are honestly falling behind due to them not engaging or completing the work, but I can only lead a horse to water. I can’t force this age group to do anything. I can only provide them with the resources to make them successful. Teachers are like surgeons. Sometimes, we lose them, but we can’t save them all. Thankfully I took some notes and planned my lessons accordingly, so this semester has been better overall. Even though I’m still experimenting with stuff (a pallet here, a flip grid there), having my lesson plans laid out instead of starting from scratch lets me preview the class in my head and make a few changes to things I believe weren’t as successful. For anyone on this same journey, I advise you to hang in there: it gets better. |
| Depress, Dumb (Learners) | Granted, I didn’t do some assignments (depression hit me very hard this year, and I was anxious about even attending school), but I am trying to make myself go to class. At first, I was glad I could get some extra sleep and didn’t have to worry about putting on an uncomfortable uniform. But as the days went by, I realized that I started getting increasingly tired and couldn’t get my work done. I hope I’m not alone when I feel depressed and tired and nothing gives me the energy to do work. The weekends don’t help me get energy anymore. And my fellow students seem to be ok, and they complete all of their homework on time and perfectly, which doesn’t help me. I hope others feel the same way and are not lazy leach or parasite. It makes me feel like a POS because I’m going to tutoring, TAs office hours, going to class, and all of that. I am no longer eligible for the grade replacement opportunity too. I’m so frustrated and feel like a failure and dumb compared to my peers. |
| Trust, Laugh (Learners) | Besides that, I would try to attend as many office hours are you can, trust me, they can be your savior. Don’t give up as well. Online classes will be hard for those who are not used to them and completely despise them for ruining the semester. But keep social distancing, wear a mask, and maybe by spring or summer, we can all return to our campuses. So, I’m gonna have an online meeting with my class tomorrow, and I want to piss my teacher off and make the others laugh. Any idea for what I could say to achieve this? E.g., Excuse me, sir, but may I go to the toilet, please? (Quite simple but something like that) So tomorrow will be my first online class, and no one in it knows how to do background stuff, so please, can someone suggests a good-looking or funny background? It can be a video as well. Let it be funny, so I can do some cool stuff with it or something that would make me look interesting or at least make someone laugh (i will make an update if someone suggests it). Whenever I use Reddit during online classes, the memes are super funny, and I cannot control my laugh, but other times it is not funny as it when during online class |
References
- Yu, P.Y.; Lam, E.T.H.; Chiu, D.K.W. Operation management of academic libraries in Hong Kong under COVID-19. Libr. Hi Tech. 2022, in press. [Google Scholar] [CrossRef]
- Huang, P.S.; Paulino, Y.; So, S.; Chiu, D.K.W.; Ho, K.K.W. Editorial—COVID-19 Pandemic and Health Informatics (Part 1). Libr. Hi Tech. 2021, 39, 693–695. [Google Scholar] [CrossRef]
- Huang, P.-S.; Paulino, Y.C.; So, S.; Chiu, D.K.; Ho, K.K. Guest editorial: COVID-19 Pandemic and Health Informatics Part 2. Libr. Hi Tech. 2022, 40, 281–285. [Google Scholar] [CrossRef]
- Tse, H.L.; Chiu, D.K.W.; Lam, A.H. From reading promotion to digital literacy: An analysis of digitalizing mobile library services with the 5E Instructional Model. In Modern Reading Practices and Collaboration Between Schools, Family, and Community; Almeida, A., Esteves, S., Eds.; IGI Global: Hershey, PA, USA, 2022; pp. 239–256. [Google Scholar]
- Pokhrel, S.; Chhetri, R. A Literature Review on Impact of COVID-19 Pandemic on Teaching and Learning. High. Educ. Futur. 2021, 8, 133–141. [Google Scholar] [CrossRef]
- Yao, L.; Lei, J.; Chiu, D.K.W.; Xie, Z. Adult Learners’ Perception of Online Language English Learning Platforms in China. In New Approaches to the Investigation of Language Teaching and Literature; Garcés-Manzanera, A., García, M.E.C., Eds.; IGI Global: Hershey, PA, USA, 2023. [Google Scholar]
- Petrie, C. Spotlight: Quality Education for All during COVID-19 Crisis|Unesco IIEP Learning Portal. 2020. Available online: https://learningportal.iiep.unesco.org/en/library/spotlight-quality-education-for-all-during-covid-19-crisis (accessed on 10 August 2022).
- Dong, G.; Chiu, D.K.; Huang, P.-S.; Ho, K.K.; Lung, M.M.-W.; Geng, Y. Relationships between research supervisors and students from coursework-based master’s degrees: Information usage under social media. Inf. Discov. Deliv. 2021, 49, 319–327. [Google Scholar] [CrossRef]
- Doucet, A.; Deborah, N.; Koen, T.; Jim Francis, T. Thinking about Pedagogy in an Unfolding Pandemic by Education International—Issuu. 2020. Available online: https://issuu.com/educationinternational/docs/2020_research_covid-19_eng (accessed on 10 August 2022).
- Cheng, J.; Yuen, A.H.; Chiu, D.K. Systematic review of MOOC research in mainland China. Libr. Hi Tech. 2022. ahead-of-print. [Google Scholar] [CrossRef]
- Kulal, A.; Nayak, A. A study on perception of teachers and students toward online classes in Dakshina Kannada and Udupi District. Asian Assoc. Open Univ. J. 2020, 15, 285–296. [Google Scholar] [CrossRef]
- Zia, A. Exploring factors influencing online classes due to social distancing in COVID-19 pandemic: A business students perspective. Int. J. Inf. Learn. Technol. 2020, 37, 197–211. [Google Scholar] [CrossRef]
- Sarkar, S.S.; Das, P.; Rahman, M.M.; Zobaer, M.S. Perceptions of Public University Students Towards Online Classes During COVID-19 Pandemic in Bangladesh. Front. Educ. 2021, 6, 703723. [Google Scholar] [CrossRef]
- Ye, S.; Ho, K.K.W. College students’ Twitter usage and psychological well-being from the perspective of generalised trust: Comparing changes before and during the COVID-19 pandemic. Libr. Hi Tech. 2022, in press. [Google Scholar] [CrossRef]
- Leung, T.N.; Hui, Y.M.; Luk, C.K.; Chiu, D.K.; Ho, K.K. Evaluating Facebook as aids for learning Japanese: Learners’ perspectives. Libr. Hi Tech. 2022, in press. [Google Scholar] [CrossRef]
- Xie, R.; Chu, S.K.W.; Chiu, D.K.W.; Wang, Y. Exploring Public Response to COVID-19 on Weibo with LDA Topic Modeling and Sentiment Analysis. Data Inf. Manag. 2021, 5, 86–99. [Google Scholar] [CrossRef] [PubMed]
- Fang, J.; Chiu, D.K.W.; Ho, K.K.W. Exploring Cryptocurrency Sentimental with Clustering Text Mining on Social Media, In Handbook of Research on Intelligent Analytics with Multi-Industry Applications; Sun, Z., Ed.; IGI Global: Hershey, PA, USA, 2021; pp. 157–171. [Google Scholar]
- He, Z.; Chiu, D.K.W.; Ho, K.K.W. Weibo Analysis on Chinese Cultural Knowledge for Gaming. In Handbook of Research on Foundations and Applications of Intelligent Business Analytics; Sun, Z., Ed.; IGI Global: Hershey, PA, USA, 2022; pp. 320–349. [Google Scholar]
- Klebanov, S. Reddit’s Journey to a Potential $15 Billion IPO. 2022. Available online: https://www.businessofbusiness.com/articles/reddit-15-billion-ipo-cultural-force/ (accessed on 12 August 2022).
- Todorov, G. 70+ Important Reddit Statistics 2022. 2021. Available online: https://thrivemyway.com/reddit-statistics/ (accessed on 10 August 2022).
- Proferes, N.; Jones, N.; Gilbert, S.; Fiesler, C.; Zimmer, M. Studying Reddit: A Systematic Overview of Disciplines, Approaches, Methods, and Ethics. Soc. Media + Soc. 2021, 7, 20563051211019004. [Google Scholar] [CrossRef]
- Willet, K.B.S.; Carpenter, J.P. Teachers on Reddit? Exploring contributions and interactions in four teaching-related subreddits. J. Res. Technol. Educ. 2020, 52, 216–233. [Google Scholar] [CrossRef]
- Jamnik, M.; Lane, D. The use of Reddit as Gifted education for high-quality data. Pract. Assess. Res. Eval. 2019, 22, 5. [Google Scholar] [CrossRef]
- Hodges, J.; Simonsen, M.; Ottwein, J.K. Gifted Education on Reddit: A Social Media Sentiment Analysis. Gift. Child Q. 2022, 66, 296–315. [Google Scholar] [CrossRef]
- Zirikly, A.; Resnik, P.; Uzuner, Ö.; Hollingshead, K. CLPsych 2019 shared task: Predicting the degree of suicide risk in Reddit posts. In Proceedings of the Sixth Workshop on Computational Linguistics and Clinical Psychology, Minneapolis, MN, USA, 6 June 2019; Association for Computational Linguistics: Minneapolis, MN, USA, 2019; pp. 24–33. [Google Scholar]
- Ammari, T.; Schoenebeck, S.; Romero, D. Self-declared throwaway accounts on Reddit: How platform affordances and shared norms enable parenting disclosure and support. Proc. ACM Hum.-Comput. Interact. 2019, 3, 135:1–135:30. [Google Scholar] [CrossRef]
- Kovacs, E.-R.; Cotfas, L.-A.; Delcea, C. COVID-19 Vaccination Opinions in Education-Related Tweets. Paper presented at the Eurasian Business and Economics Perspectives. In Proceedings of the 37th Eurasia Business and Economics Society Conference, Berlin, Germany, 6–8 October 2021; Springer International Publishing: Cham, Switzerland, 2021; pp. 21–41. [Google Scholar]
- Baumgartner, J.; Zannettou, S.; Keegan, B.; Squire, M.; Blackburn, J. The pushshift Reddit dataset. Proc. Int. AAAI Conf. Web Soc. Media 2020, 14, 830–839. [Google Scholar] [CrossRef]
- Gaffney, D.; Matias, J.N. Caveat emptor, computational social science: Large-scale missing data in a widely-published Reddit corpus. PLoS ONE 2018, 13, e0200162. [Google Scholar] [CrossRef]
- Hussein, D.M.E.-D.M. A survey on sentiment analysis challenges. J. King Saud Univ. Eng. Sci. 2018, 30, 330–338. [Google Scholar] [CrossRef]
- Hutto, C.; Gilbert, E. Vader: A parsimonious rule-based model for sentiment analysis of social media text. Proc. Int. AAAI Conf. Web Soc. Media 2014, 8, 216–225. [Google Scholar] [CrossRef]
- Moore, C.; Chuang, L. Redditors revealed: Motivational factors of the Reddit community. In Proceedings of the Hawaii International Conference on System Sciences 2017 (HICSS-50), Hilton Waikoloa Village, HI, USA, 4–7 January 2017; Available online: https://aisel.aisnet.org/hicss-50/dsm/dsm_and_communities/7 (accessed on 12 August 2022).
- Au, C.H.; Ho, K.K.W.; Chiu, D.K.W. Does political extremity harm the ability to identify online information validity? Testing the impact of polarisation. Gov. Inf. Q. 2021, 38, 101602. [Google Scholar] [CrossRef]
- Lomness, A.; Lacey, S.; Brobbel, A.; Freeman, T. Seizing the opportunity: Collaborative creation of academic integrity and information literacy LMS modules for undergraduate Chemistry. J. Acad. Libr. 2021, 47, 102328. [Google Scholar] [CrossRef]
- Yew, A.; Chiu, D.K.W.; Nakamura, Y.; Li, K.K. Quantitative Comparison of LIS Programs Accredited by ALA and CILIP. Libr. Hi Tech. 2022, 40, 1721–1745. [Google Scholar] [CrossRef]
- Cleophas, C.; Hönnige, C.; Meisel, F.; Meyer, P. Who’s Cheating? Mining Patterns of Collusion from Text and Events in Online Exams. INFORMS Trans. Educ. 2023, 23, 84–94. [Google Scholar] [CrossRef]
- Lei, S.Y.; Chiu, D.K.; Lung, M.M.-W.; Chan, C.T. Exploring the aids of social media for musical instrument education. Int. J. Music. Educ. 2021, 39, 187–201. [Google Scholar] [CrossRef]












| Feature | Pushshift.io | Reddit API |
|---|---|---|
| Data Scope |
|
|
| Accessibility |
|
|
| Data Quality |
|
|
| Restriction |
|
|
| Subreddit | Populations | Creation Time | Subscribers | Descriptions |
|---|---|---|---|---|
| r/funnyonlineclasses | Learners, Educators, Parents | 28 March 2020 | 14.8k | Anything funny about online classes in the wake of the COVID-19 quarantine. |
| r/teenagers | Learners | 27 February 2010 | 30.8k | Biggest community forum run by teenagers for teenagers. |
| r/college | Learners | 25 January 2008 | 806k | For discussion related to college and collegiate life. |
| r/CollegeRant | Learners | 7 August 2018 | 32.2k | For sharing experiences in college to discuss the negative aspects of college life. |
| r/Teachers | Educators | 23 December 2008 | 333k | A sub for all things educator related. |
| r/Professors | Educators | 14 September 2011 | 101k | BY professors FOR professors. |
| Source | Posts Count |
|---|---|
| global | 6162 |
| r/funnyonlineclasses | 375 |
| r/teenagers | 5620 |
| r/college | 4077 |
| r/CollegeRant | 690 |
| r/Teachers | 1800 |
| r/Professors | 1094 |
| Total | 19818 |
| Time | Subreddit | Title | Body | Number of Comments | Score |
|---|---|---|---|---|---|
| 29 April 2022 11:25:30 | r/studentsph | Ako lang ba ang parang “nabobo” dito sa online… | Like tangina, feel ko napaka walang kwenta net… | 0 | 1 |
| 29 April 2022 09:29:20 | r/AskReddit | Which games did you play during online class? | 0 | 1 | |
| 29 April 2022 08:42:32 | r/Philippines | Any amount will help for my online class Thank… | 0 | 1 | |
| 29 April 2022 08:37:08 | r/Philippines | any amount will help for my online class | 0 | 1 | |
| 26 April 2022 18:17:13 | r/studentsph | What are good excuses for being absent from an… | I think I’m running out of believeable excuses,… | 0 | 1 |
Disclaimer/Publisher’s Note: The statements, opinions and data contained in all publications are solely those of the individual author(s) and contributor(s) and not of MDPI and/or the editor(s). MDPI and/or the editor(s) disclaim responsibility for any injury to people or property resulting from any ideas, methods, instructions or products referred to in the content. |
© 2023 by the authors. Licensee MDPI, Basel, Switzerland. This article is an open access article distributed under the terms and conditions of the Creative Commons Attribution (CC BY) license (https://creativecommons.org/licenses/by/4.0/).
Share and Cite
Li, S.; Xie, Z.; Chiu, D.K.W.; Ho, K.K.W. Sentiment Analysis and Topic Modeling Regarding Online Classes on the Reddit Platform: Educators versus Learners. Appl. Sci. 2023, 13, 2250. https://doi.org/10.3390/app13042250
Li S, Xie Z, Chiu DKW, Ho KKW. Sentiment Analysis and Topic Modeling Regarding Online Classes on the Reddit Platform: Educators versus Learners. Applied Sciences. 2023; 13(4):2250. https://doi.org/10.3390/app13042250
Chicago/Turabian StyleLi, Shanghao, Zerong Xie, Dickson K. W. Chiu, and Kevin K. W. Ho. 2023. "Sentiment Analysis and Topic Modeling Regarding Online Classes on the Reddit Platform: Educators versus Learners" Applied Sciences 13, no. 4: 2250. https://doi.org/10.3390/app13042250
APA StyleLi, S., Xie, Z., Chiu, D. K. W., & Ho, K. K. W. (2023). Sentiment Analysis and Topic Modeling Regarding Online Classes on the Reddit Platform: Educators versus Learners. Applied Sciences, 13(4), 2250. https://doi.org/10.3390/app13042250

