Decision-Making Model of Autonomous Driving at Intersection Based on Unified Driving Operational Risk Field
Abstract
:1. Introduction
2. Materials and Methods
2.1. Driving Operation Risk Field
2.2. Electric-like Field Model
2.3. Decision-Making Model
2.3.1. Decision-Making Goals
2.3.2. The Principle of Least Action
2.3.3. Decision-Making Model
3. Results
3.1. Decision Making on Unit Scenarios
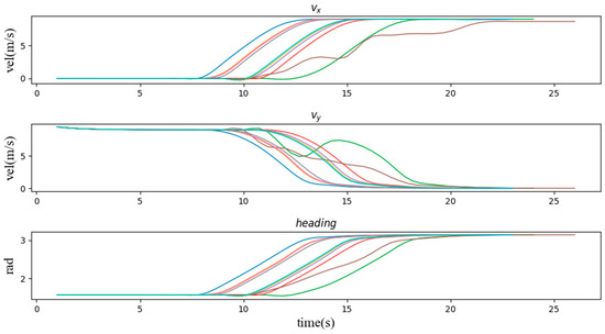
3.2. Simulation Results
| Algorithm 1 Decision making based on artificial potential field | |
| Input | t |
| Output | |
| 1 | Initialize ←3.5, S←0, T←0, U ← 0 |
| 2 | Get the terminal point |
| 3 | Define the attractive force: |
| 4 | Define the constraint resistance force: |
| 5 | Define the lane marker force: |
| 6 | while True do |
| 7 | Get the absolute states of ego vehicle (), |
| 8 | if |
| 9 | Break |
| 10 | end if |
| 11 | Get the relative states of surrounding vehicles (), j = 1,2,… |
| 12 | Construct the ego vehicle’s operation risk field and other vehicles’ driver risk field respectively |
| 13 | Calculate the centroid and area of the interactive region |
| 14 | Calculate the potential energy and force obtained by the vehicle through the risk field |
| 15 | Define the kinetic energy of the vehicle: |
| 16 | Calculate the cost function of the minimum action principle |
| 17 | Get the acceleration and heading angle of the ego vehicle by calculating the constraints of and |
| 18 | end while |
4. Discussion
5. Conclusions
- The proposed unified driving operation risk field, which consists of two parts: a quantitative assessment of driving risk based on the attributes and motion states of traffic participants in the current scenario using Coulomb force and potential energy, can effectively describe the driving risk during driving.
- Based on the idea of minimum action, we modified a behavioral decision-making model that can quantitatively alter driving objectives. Multi-objective situations can be handled by the model with effectiveness. In addition, from the standpoint of system optimization, a behavioral choice cost function is established. The method enhances the minimal action-based behavioral choice algorithm to make it more flexible to a dynamic environment.
- To test the suggested risk assessment approach and behavior decision model, we created numerous typical urban intersection scenarios. For the purpose of evaluating the effectiveness of the suggested algorithms, several actual urban intersection scenarios are also gathered and simulated.
Author Contributions
Funding
Conflicts of Interest
References
- Waymo Finally Launches an Actual Public, Driverless Taxi Service|Ars Technica [EB/OL]. Available online: https://arstechnica.com/cars/2020/10/waymo-finally-launches-an-actual-public-driverless-taxi-service/ (accessed on 8 November 2022).
- Honda Global|March 4, 2021 Honda to Begin Sales of Legend with New Honda SENSING Elite[EB/OL]. Available online: https://global.honda/newsroom/news/2021/4210304eng-slegend.html (accessed on 8 November 2022).
- Toyota Seizes Olympic Glory by Shuttling Athletes Autonomously -Bloomberg[EB/OL]. Available online: https://www.bloomberg.com/news/newsletters/2021-08-02/toyota-seizes-olympic-glory-by-shuttling-athletes-autonomously (accessed on 8 November 2022).
- Baidu, Pony. Ai Approved for Robotaxi Services in Beijing|Reuters[EB/OL]. Available online: https://www.reuters.com/technology/baidu-ponyai-approved-robotaxi-services-beijing-2021-11-25/ (accessed on 8 November 2022).
- We Tried Out a Self-Driving Robotaxi in China—It Was a Very ‘Considerate’ Ride|South China Morning Post[EB/OL]. Available online: https://www.scmp.com/tech/start-ups/article/3040896/we-tried-out-self-driving-robotaxi-china-it-was-very-considerate (accessed on 8 November 2022).
- Kuwata, Y.; Teo, J.; Fiore, G.; Karaman, S.; Frazzoli, E.; How, J.P. Real-Time Motion Planning With Applications to Autonomous Urban Driving. IEEE Trans. Control Syst. Technol. 2009, 17, 1105–1118. [Google Scholar] [CrossRef]
- Andersen, H.; Schwarting, W.; Naser, F.; Eng, Y.H.; Ang, M.H.; Rus, D.; Alonso-Mora, J. Trajectory optimization for autonomous overtaking with visibility maximization. In Proceedings of the 2017 IEEE International Conference on Intelligent Transportation Systems (ITSC), Yokohama, Japan, 16–19 October 2017. [Google Scholar]
- Tumova, J.; Hall, G.C.; Karaman, S.; Frazzoli, E.; Rus, D. Least-violating control strategy synthesis with safety rules. In HSCC ’13: Proceedings of the 16th International Conference on Hybrid Systems: Computation and Control; ACM: New York, NY, USA, 2013; pp. 1–10. [Google Scholar]
- Xu, W.; Pan, J.; Wei, J.; Dolan, J.M. Motion planning under uncertainty for on-road autonomous driving. In Proceedings of the 2014 IEEE International Conference on Robotics and Automation (ICRA), Hong Kong, 31 May–7 June 2014; pp. 2507–2512. [Google Scholar] [CrossRef]
- Mouhagir, H.; Cherfaoui, V.; Talj, R.; Aioun, F.; Guillemard, F. Using evidential occupancy grid for vehicle trajectory planning under uncertainty with tentacles. In Proceedings of the 2017 IEEE 20th International Conference on Intelligent Transportation Systems (ITSC), Yokohama, Japan, 16–19 October 2017; pp. 1–7. [Google Scholar] [CrossRef]
- Ahuja, N.; Chuang, J.-H. Shape representation using a generalized potential field model. IEEE Trans. Pattern Anal. Mach. Intell. 1997, 19, 169–176. [Google Scholar] [CrossRef]
- Fu, G. Safety Management-A Behavior-Based Approach to Accident Prevention; Science Press: Beijing, China, 2013. [Google Scholar]
- Lazarowska, A. Discrete Artificial Potential Field Approach to Mobile Robot Path Planning. IFAC-PapersOnLine 2019, 52, 277–282. [Google Scholar] [CrossRef]
- Jian-Qiang, W.; Jian, W.U.; Yang, L.I. Concept, principle and modeling of driving risk field based on driver-vehicle-road interac-tion. China J. Highw. Transp. 2016, 29, 105. [Google Scholar]
- Zheng, X.; Huang, H.; Wang, J.; Zhao, X.; Xu, Q. Behavioral decision-making model of the intelligent vehicle based on driving risk assessment. Comput. Civ. Infrastruct. Eng. 2021, 36, 820–837. [Google Scholar] [CrossRef]
- Li, G.; Wang, Y.; Zhu, F.; Sui, X.; Wang, N.; Qu, X.; Green, P. Drivers’ visual scanning behavior at signalized and unsignalized intersections: A naturalistic driving study in China. J. Saf. Res. 2019, 71, 219–229. [Google Scholar] [CrossRef] [PubMed]
- Li, G.; Yang, Y.; Zhang, T.; Qu, X.; Cao, D.; Cheng, B.; Li, K. Risk assessment based collision avoidance decision-making for autonomous vehicles in multi-scenarios. Transp. Res. Part C Emerg. Technol. 2021, 122, 102820. [Google Scholar] [CrossRef]
- Levien, R. The Euler Spiral: A Mathematical History; Electrical Engineering and Computer Sciences, University of California at Berkeley: Berkeley, CA, USA, 2008; p. 16. [Google Scholar]
- Zheng, X.; Zhang, D.; Gao, H.; Zhao, Z.; Huang, H.; Wang, J. A Novel Framework for Road Traffic Risk Assessment with HMM-Based Prediction Model. Sensors 2018, 18, 4313. [Google Scholar] [CrossRef] [PubMed]
- Petrović, R.; Mijailović, R.; Pešić, D. Traffic Accidents with Autonomous Vehicles: Type of Collisions, Manoeuvres and Errors of Conventional Vehicles’ Drivers. Transp. Res. Procedia 2020, 45, 161–168. [Google Scholar] [CrossRef]












Disclaimer/Publisher’s Note: The statements, opinions and data contained in all publications are solely those of the individual author(s) and contributor(s) and not of MDPI and/or the editor(s). MDPI and/or the editor(s) disclaim responsibility for any injury to people or property resulting from any ideas, methods, instructions or products referred to in the content. |
© 2023 by the authors. Licensee MDPI, Basel, Switzerland. This article is an open access article distributed under the terms and conditions of the Creative Commons Attribution (CC BY) license (https://creativecommons.org/licenses/by/4.0/).
Share and Cite
Lu, Z.; Zhang, W.; Zhao, B. Decision-Making Model of Autonomous Driving at Intersection Based on Unified Driving Operational Risk Field. Appl. Sci. 2023, 13, 2094. https://doi.org/10.3390/app13042094
Lu Z, Zhang W, Zhao B. Decision-Making Model of Autonomous Driving at Intersection Based on Unified Driving Operational Risk Field. Applied Sciences. 2023; 13(4):2094. https://doi.org/10.3390/app13042094
Chicago/Turabian StyleLu, Ziming, Weiwei Zhang, and Bo Zhao. 2023. "Decision-Making Model of Autonomous Driving at Intersection Based on Unified Driving Operational Risk Field" Applied Sciences 13, no. 4: 2094. https://doi.org/10.3390/app13042094
APA StyleLu, Z., Zhang, W., & Zhao, B. (2023). Decision-Making Model of Autonomous Driving at Intersection Based on Unified Driving Operational Risk Field. Applied Sciences, 13(4), 2094. https://doi.org/10.3390/app13042094
