A Phased Array Antenna with Novel Composite Right/Left-Handed (CRLH) Phase Shifters for Wi-Fi 6 Communication Systems
Abstract
Featured Application
Abstract
1. Introduction
2. Novel Phase Shifter Design
2.1. Phase Response of Single- and Cascaded Unit Cells P-CRLH Phase Shifter −45° Phase Shift
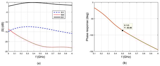
2.2. Phase Response of Single- and Cascaded Unit Cells P-CRLH Phase Shifter −90° Phase Shift
3. Simulated Phased Array with P-CRLH Phase Shifters
3.1. Main Beam at Broadside
3.2. Main Beam at 15° Off-Broadside
3.3. Main Beam at 30° Off-Broadside
4. Measurements Validation
4.1. Measured Broadside Radiation Pattern
4.2. Measured 15° Off-Broadside Radiation Pattern
4.3. Measured 30° Off-Broadside Radiation Pattern
5. Discussion and Conclusions
Author Contributions
Funding
Data Availability Statement
Conflicts of Interest
References
- Mozaffariahrar, E.; Theoleyre, F.; Menth, M. A survey of Wi-Fi 6: Technologies, Advances, and Challenges. Future Internet 2022, 14, 293. [Google Scholar] [CrossRef]
- D-Link. Available online: https://eu.dlink.com/rs/sr/-/media/resource-centre/brochures-and-product-guides/dlink-wifi-6-whitepaper.pdf (accessed on 28 January 2023).
- CISCO. Available online: https://www.cisco.com/c/en/us/products/collateral/wireless/white-paper-c11-740788.html (accessed on 28 January 2023).
- Huawei Enterprise. Available online: https://e.huawei.com/au/material/networking/wlan/f3ae84efd98d440eb457b4caf405b509 (accessed on 28 January 2023).
- ZTE. Available online: https://res-www.zte.com.cn/mediares/zte/Files/PDF/white_book/Wi-Fi_6_Technology_and_Evolution_White_Paper-20200923.pdf?la=en (accessed on 28 January 2023).
- Quectel. Available online: https://www.quectel.com/wp-content/uploads/2022/02/WiFi-6-WP-21.02.22.pdf (accessed on 28 January 2023).
- Hansen, R.C. Phased Array Antennas, 2nd ed.; John Wiley and Sons, Inc: New York, NY, USA, 2009; p. 580. [Google Scholar]
- Iftikhar, A.; Parrow, J.; Asif, S.; Allen, J.; Allen, M.; Braaten, B.D. Improving the efficiency of a reconfigurable microstrip patch using magneto-static field responsive structures. Electron. Lett. 2016, 52, 1194–1196. [Google Scholar] [CrossRef]
- Yasir, M.; Fatikow, S.; Haenssler, O.C. Amplitude-phase variation in a graphene-based microstrip line. Micromachines 2022, 13, 1039. [Google Scholar] [CrossRef] [PubMed]
- Jin, R.; Cai, Z.; Dong, M.; Luo, Y.; Yang, Y.; Qi, Y. Compact conformal wideband antenna for high-speed WLAN applications. Int. J. RF Microw. Comput. Aided Eng. 2020, 30, e22293. [Google Scholar] [CrossRef]
- Hu, Z.; Xiao, Z.; Jiang, S.; Song, R.; He, D. A Dual-Band Conformal Antenna Based on Highly Conductive Graphene-Assembled Films for 5G WLAN Applications. Materials 2021, 14, 5087. [Google Scholar] [CrossRef] [PubMed]
- Nikfalazar, M.; Sazegar, M.; Zheng, Y.; Wiens, A.; Jakoby, R.; Friederich, A.; Kohler, C.; Binder, J.R. Compact tunable phase shifter based on inkjet printed BST thick-films for phased-array application. In Proceedings of the 2013 European Microwave Conference, Nuremberg, Germany, 6–10 October 2013. [Google Scholar]
- Nikfalazar, M.; Sazegar, M.; Friederich, A.; Kohler, C.; Zheng, Y.; Wiens, A.; Binder, J.R.; Jakoby, R. Inkjet printed BST thick-films for X-band phase shifter and phased array applications. In Proceedings of the 2013 International Workshop on Antenna Technology (iWAT), Karlsruhe, Germany, 4–6 March 2013. [Google Scholar]
- Nikfalazar, M.; Sazegar, M.; Mehmood, A.; Wiens, A.; Friederich, A.; Maune, H.; Binder, J.R.; Jakoby, R. Two-dimensional beam-steering phased-array antenna with compact tunable phase shifter based on BST thick films. IEEE Antennas Wirel. Propag. Lett. 2016, 16, 585–588. [Google Scholar] [CrossRef]
- Sazegar, M.; Zheng, Y.; Maune, H.; Zhou, X.; Damm, C.; Jakoby, R. Compact left handed coplanar strip line phase shifter on screen printed BST. In Proceedings of the 2011 IEEE MTT-S International Microwave Symposium, Baltimore, MD, USA, 5–10 June 2011. [Google Scholar]
- Sazegar, M.; Zheng, Y.; Maune, H.; Damm, C.; Zhou, X.; Binder, J.; Jakoby, R. Low-cost phased-array antenna using compact tunable phase shifters based on ferroelectric ceramics. IEEE Trans. Microw. Theory Tech. 2011, 59, 1265–1273. [Google Scholar] [CrossRef]
- Sazegar, M.; Zheng, Y.; Maune, H.; Zhou, X.; Damm, C.; Jakoby, R. Compact artificial line phase shifter on ferroelectric thick-film ceramics. In Proceedings of the 2010 IEEE MTT-S International Microwave Symposium, Anaheim, CA, USA, 23–28 May 2010. [Google Scholar]
- Haghzadeh, M.; Jaradat, H.M.; Armiento, C.; Akyurtlu, A. Design and simulation of fully printable conformal antennas with BST/polymer composite based phase shifters. Prog. Electromagn. Res. C 2016, 62, 167–178. [Google Scholar] [CrossRef]
- Zhang, J.; Zhang, S.; Ying, Z.; Morris, A.S.; Pedersen, G.F. Radiation-pattern reconfigurable phased array with p-i-n diodes controlled for 5G mobile terminals. IEEE Trans. Microw. Theory Tech. 2019, 68, 1103–1117. [Google Scholar] [CrossRef]
- Maassel, M.; Braaten, B.D.; Rogers, D.A. A metamaterial-based multiband phase shifter. In Proceedings of the IEEE International Conference on Electro/Information Technology, Milwaukee, WI, USA, 5–7 June 2014. [Google Scholar]
- Liu, Q.; Wang, N.; Wu, C.; Wei, G.; Smolders, A.B. Frequency reconfigurable antenna controlled by multi-reed switches. IEEE Antennas Wirel. Propag. Lett. 2015, 14, 927–930. [Google Scholar] [CrossRef]
- Hwang, S.H.; Jang, T.; Kim, J.M.; Kim, Y.K.; Lim, S.; Baek, C.W. MEMS-tunable composite right/left-handed (CRLH) transmission line and its application to a phase shifter. J. Micromech. Microeng. 2011, 21, 125022. [Google Scholar] [CrossRef]
- Potters Industries LLC. Available online: http://www.pottersbeads.com/ (accessed on 28 January 2023).
- Parrow, J. Equivalent Circuit Modeling and Signal Integrity Analysis of Magneto-Static Responsive Structures, and Their Applications in Changing the Effective Permittivity of Microstrip Transmission Lines. Ph.D. Thesis, North Dakota State University, Fargo, ND, USA, 2016. [Google Scholar]
- Iftikhar, A.; Parrow, J.M.; Asif, S.M.; Fida, A.; Allen, J.; Allen, M.; Braaten, B.D.; Anagnostou, D.E. Characterization of novel structures consisting of micron-sized conductive particles that respond to static magnetic field lines for 4G/5G (Sub-6 GHz) reconfigurable antennas. Electronics 2020, 9, 903. [Google Scholar] [CrossRef]
- Soufizadeh-Balaneji, N.; Kallmeyer, A.R.; May, S.; Braaten, B.D. A 360-degree rotatable RF switch (360-RS) with embedded conductive micro-particles. In Proceedings of the 2019 IEEE MTT-S International Microwave Symposium (IMS), Boston, MA, USA, 2–7 June 2019. [Google Scholar]
- Iftikhar, A.; Parrow, J.; Asif, S.; Braaten, B.D.; Allen, J.; Allen, M.; Wenner, B. On using magneto-static responsive particles as switching elements to reconfigure microwave filters. In Proceedings of the 2016 IEEE International Conference on Electro Information Technology 315 (EIT), Grand Forks, ND, USA, 19–21 May 2016. [Google Scholar]
- Caloz, C.; Itoh, T. Electromagnetic Metamaterials: Transmission Line Theory and Microwave Applications, 1st ed.; Wiley-IEEE Press: New York, NY, USA; John Wiley and Sons, Ltd.: Hoboken, NJ, USA, 2006; Chapter 3; pp. 122–131. [Google Scholar]
- Ayaz, M.; Iftikhar, A.; Braaten, B.D.; Khalil, W.; Irfanullah. A composite right/left-handed phase shifter based cylindrical phased array with reinforced particles responsive to magneto-static fields. Electronics 2023, 12, 306. [Google Scholar] [CrossRef]
- Zhang, J.; Cheung, S.W.; Yuk, T.I. Design of n-bit digital phase shifter using single CRLH TL unit cell. Electron. Lett. 2010, 46, 506. [Google Scholar] [CrossRef]
- Zhang, J.; Cheung, S.W.; Yuk, T.I. Design of n-bit phase shifters with high power-handling capability inspired by composite right/left-handed transmission line unit cells. IET Microw. Antennas Propag. 2010, 4, 991–999. [Google Scholar] [CrossRef]
- Iftikhar, A.; Asif, S.M.; Parrow, J.M.; Allen, J.W.; Allen, M.S.; Fida, A.; Braaten, B.D. Changing the operation of small geometrically complex EBG-based antennas with micron-sized particles that respond to magneto-static fields. IEEE Access 2020, 8, 78956–78964. [Google Scholar] [CrossRef]
- Antoniades, M.A. Compact Linear Metamaterial Phase Shifters for Broadband Applications. Master’s Thesis, University of Toronto, Toronto, ON, Canada, 2004. [Google Scholar]
- Roshani, S.; Shahveisi, H. Mutual coupling reduction in microstrip patch antenna arrays using simple microstrip resonator. Wirel. Pers. Commun. 2022, 126, 1665–1677. [Google Scholar] [CrossRef]
















| Release Year | 802.11 Standard | New Name | Frequency Band | Modulation Type | Maximum Number of Spatial Streams (Antennas) on a Single Radio |
|---|---|---|---|---|---|
| 802.11n | Wi-Fi 4 | 2.4 GHz or 5 GHz | 64 QAM | 4 | |
| 2013 | 802.11ac Wave 1 | Wi-Fi 5 | 5 GHz | 256 QAM | 8 |
| 2015 | 802.11ac Wave 2 | 5 GHz | |||
| 2019 | 802.11ax | Wi-Fi 6 | 2.4 GHz or 5 GHz | 1024 QAM | 8 |
| Research Work | Type of Phase Shifter/RF Switch | Advantages | Disadvantages |
|---|---|---|---|
| [19] | PIN diodes tunable | Radiation-pattern reconfigurable phased array |
|
| [20] | Varactor diodes tunable LH-TL phase shifter | Desired phase shift is achieved |
|
| [21] | Magnetic field controlled reed switches | Does not affect the radiation performance of the antenna |
|
| [22] | MEMS-tunable CRLH phase shifter | Limited phase shifts can be achieved |
|
| [25] | Magnetic field controlled | Have been explored for reconfigurable antennas |
|
| [29] | Magnetic field controlled CRLH phase shifter | Provides desired phase shift |
|
| [30,31] | PIN diodes tunable CRLH phase shifter | Desired phase shift is achieved |
|
| [This work] | Magnetic field controlled CRLH phase shifter |
|
|
| Research Work | Operational Bandwidth | Insertion Loss | Physical Size | Comments |
|---|---|---|---|---|
| [9] | (4–4.5) GHz | 8 dB (sim) 9 dB (meas) | 40 mm × 29.25 mm | |
| [12,14] | (11–14) GHz | 8 dB (sim) 12 dB (meas) | 6 mm × 4 mm | -scanning range for a 4 × 4 planar array is demonstrated. |
| [13] | (8–10) GHz | 8 dB (sim) 9 dB (meas) | 8 mm × 6 mm | |
| [16] | (8–10) GHz | 6.6 dB | 6 mm × 5 mm | -scanning range for 4 branches series-fed planar array is demonstrated. |
| [20] | 920 MHz | 1.67 dB | 26.4 mm × 3.55 mm | |
| 2.45 GHz | 2.5 dB | |||
| [22] | (9–15) GHz | 2 dB (sim) 2.6 dB (meas) | 5 mm × 2.1 mm | |
| [29] | (5–6) GHz | 1.2 dB (sim) | 22 mm × 9 mm | -scanning range for a 1 × 4 cylindrical array is demonstrated. |
| [This work] | (5–6) GHz | 0.5 dB (sim) 1.7 dB (meas) | 8.8 mm × 8 mm | -scanning range for a 1 × 4 linear array is demonstrated. |
| Peak Gain (dB) | Sidelobe Level (dB) | |||
|---|---|---|---|---|
| Simulated | Measured | Simulated | Measured | |
| 11 | 10.1 | 11.1 | 9.1 | |
| 12 | 10 | 11 | 12 | |
| 11 | 9.9 | 13 | 10 | |
Disclaimer/Publisher’s Note: The statements, opinions and data contained in all publications are solely those of the individual author(s) and contributor(s) and not of MDPI and/or the editor(s). MDPI and/or the editor(s) disclaim responsibility for any injury to people or property resulting from any ideas, methods, instructions or products referred to in the content. |
© 2023 by the authors. Licensee MDPI, Basel, Switzerland. This article is an open access article distributed under the terms and conditions of the Creative Commons Attribution (CC BY) license (https://creativecommons.org/licenses/by/4.0/).
Share and Cite
Ayaz, M.; Ullah, I. A Phased Array Antenna with Novel Composite Right/Left-Handed (CRLH) Phase Shifters for Wi-Fi 6 Communication Systems. Appl. Sci. 2023, 13, 2085. https://doi.org/10.3390/app13042085
Ayaz M, Ullah I. A Phased Array Antenna with Novel Composite Right/Left-Handed (CRLH) Phase Shifters for Wi-Fi 6 Communication Systems. Applied Sciences. 2023; 13(4):2085. https://doi.org/10.3390/app13042085
Chicago/Turabian StyleAyaz, Muhammad, and Irfan Ullah. 2023. "A Phased Array Antenna with Novel Composite Right/Left-Handed (CRLH) Phase Shifters for Wi-Fi 6 Communication Systems" Applied Sciences 13, no. 4: 2085. https://doi.org/10.3390/app13042085
APA StyleAyaz, M., & Ullah, I. (2023). A Phased Array Antenna with Novel Composite Right/Left-Handed (CRLH) Phase Shifters for Wi-Fi 6 Communication Systems. Applied Sciences, 13(4), 2085. https://doi.org/10.3390/app13042085

