Abstract
A hybrid-excited doubly salient dual-PM machine (HE-DSDPM) was presented by using the structural multi-tooth modification for an improvement of torque production. The multi-tooth structure modification of HE-DSDPM was clearly described. The PM and stator arcs were further examined for structural optimization. The electromagnetic performance including magnetic flux distribution, flux linkage, back-electromotive force (back-EMF), total harmonic distortion (THD), cogging torque and electromagnetic torque, was investigated with various field current under the same structural constraint. The simulation based on 2-D finite element analysis was used to validate all electromagnetic performance. The results showed that the proposed multi-tooth HE-DSDPM provides the best stator/rotor combination, the appropriate PM characteristics and the enlarged winding slot area. This proposed structure produces better overall electromagnetic performance because of its improved symmetrical magnetic flux path and greater flux regulation quality. In particular, it can generate a larger average torque of 26.18% with the lower ripple torque of about 4% compared to the conventional structure at no field current since the good back-EMF profile and low cogging torque. The largest variance of the torque percentage is occurred when excited by different field currents for the proposed multi-tooth HE-DSDPM. Hence, modification of multi-tooth structure could be beneficial in the electrical machine design of other types of doubly salient structures.
1. Introduction
Permanent magnet (PM) machines produce high magnetic field, torque density and efficiency due mainly to their structures without coil excitation [1,2]. Several studies of these machines have investigated developing their performance for many years [3,4]. In particular, the PM machines, in which the magnet is placed in the stator region, are called stator-PM machines and these have been proposed to be beneficial for efficient wide-speed-range operation because of the lightweight rotor with no winding coil and brushes [5,6]. Based on this advantage, the stator-PM machines have been developed for many applications, such as renewable energy generators, electric vehicle motors, maglev trains and electrical aircraft [7,8,9,10].
Such machines have been categorized into three popular types according to different PM positions, namely the flux reversal PM machine (FRPM), flux switching PM machine (FSPM), and doubly salient PM machine (DSPM).
The FRPM type has the PM addressed at the stator tooth tip [11]. Its research studies have discovered that the structure of the FRPM helps cogging torque reduction due to an improved working airgap flux density harmonic and is appropriate to operate over a high-speed range due to the high number of rotor poles [12]. The FSPM includes the PM installed at the stator tooth. This structure exhibits a bipolar magnetic flux path, resulting in high torque density [13]. Most reviews related to the FSPM operation have identified torque capability improvement for several applications [14].
In addition, the DSPM with the PM mounted in the stator yoke has been of considerable interest because it has many notable merits over other stator-PM machines, such as an uncomplicated structure, effective cooling and a direct drive [15,16,17]. Especially, several literature reviews of the DSPM structure have noted that it is suitable for low-speed operation because of its wide-diameter configuration [18,19]. These properties result in high back-electromotive force (back-EMF), reliability and torque production [20]. However, the DSPM has suffered the trapezoidal waveform of the back-EMF due to asymmetrical magnetic flux path in the machine structure, which severely impacts on torque production [21,22].
The magnetic field excitation combined between the PM and field coil has been contained in the hybrid-excited (HE) machine. Its structure is helpful in reducing the risk of demagnetization for PM pieces because of the dc current excitation in the field coil [23]. Good flux control is achieved in this machine to improve the flux regulation quality and magnetic flux path [24]. Thus, the HE functions can be an important choice in order to fix the aforementioned non-sinusoidal back-EMF of the DSPM [25,26].
Recently, a hybrid-excited dual-PM has been utilised in the DSPM structure (HE-DSDPM) to receive a sinusoidal back-EMF with a symmetrical magnetic flux path and better torque production than traditional DSPM [27]. Figure 1a shows the main structural components of the HE-DSDPM, including the stator part with dual-PM and armature winding and the rotor part with the salient lightweight poles. The magnetic field in this machine can be excited by the dual-PM and the armature winding using an innovative dc-biased sinusoidal current [28]. The dual-PM contains the PM at the slot opening and another one at the stator yoke to produce a strong supplemental magnetic flux, as inspired by the combination of a slot-PM machine and a biased-flux PM machine [29,30]. The innovative dc-biased sinusoidal current injected in the armature winding can be divided into ac-armature current and dc-excited current. The ac-armature current is used to produce the rotating armature field, while the dc-excited current is used for magnetic flux regulation [31]. The dc-biased sinusoidal current utilizes only one winding coil set for copper loss reduction, as introduced by [32].
Figure 1.
Cross-section perspective of the HE-DSDPM with: (a) conventional and (b) multi-tooth structures.
Nevertheless, the torque characteristics produced by the HE-DSDPM are still unsatisfactory compared to those produced by other stator-PM machines due to its limitation issue of the configuration such as for the stator and rotor topologies, PM characteristics and slot area of the winding coil [33].
To solve this problem and further improve torque production, structural modification by using the multi-tooth technique seem a good candidate. The structural multi-tooth modification is a helpful solution in adjusting the stator/rotor combination, adapting the PM characteristics and enlarging the slot winding area in the electrical machine. This modification of structure also results in an increase in torque density and the reduction of the ripple torque [34]. Many literature reports presented the simulation design of the stator-PM machines using the structural multi-tooth modification for effective torque production, such as the multi-tooth technique utilised in FSPM for torque capability improvement, the analytical structure of an alternative multi-tooth FSPM for high torque density, the structural simulation of several FSPM types to study electromagnetic performance, and a theoretical study between multi-tooth and V-shaped FSPM to improve torque production [35,36,37,38]. Furthermore, multiple research reviews related to utilising the multi-tooth technique in HE machines, such as the design of the multi-tooth HE-FSPM for EV propulsion, the innovation of multi-tooth HE motors for torque enhancement and the investigation of the influence of stator/rotor and PM combinations in a HE-FRPM on electromagnetic performance [39,40,41].
This paper aims to modify the structure of the HE-DSDPM using the multi-tooth technique to improve torque production. The structural modification using the multi-tooth technique of HE-DSDPM is explained in the detail. The influence of PM and stator arcs on torque production, including slot opening PM arc, θsp, stator yoke PM arc, θyp, stator tip arc, θst, and stator teeth arc, θt, is considered by optimization to obtain the optimal structure of the multi-tooth HE-DSDPM. Electromagnetic performance is examined based on magnetic flux distribution, flux linkage, back-EMF, total harmonic distortion (THD), cogging torque and electromagnetic torque with different current excitation and then compared to a conventional HE-DSDPM. All electromagnetic results are studied using the 2-D finite element analysis (FEA).
2. Structural Multi-Tooth Modification of HE-DSDPM
As shown in Figure 1a, the conventional HE-DSDPM with 12/10 (stator teeth/rotor pole) was initially proposed by Y. Meng [33]. Regarding the outstanding properties of this conventional structure as mentioned in the introduction, the structural modification of HE-DSDPM using a multi-tooth technique for torque production enhancement is presented, as inspired by F. R. Wei [41].
Based on the HE with dual-PM properties, even with the structural modification, its appearance resembles the HE-DSDPM. The dual-PM comprises the slot opening PM and the stator yoke PM as the source of the magnetic field in the machine. The slot opening PM acts as the main source, while the stator yoke PM regulates the magnetic flux production. The armature winding is utilized for excitation by a dc-biased sinusoidal current, divided into the ac-armature current for the production of the rotating armature field and the dc-excited current for regulation of the magnetic flux. The three-phase dc-biased sinusoidal current is expressed by
where Iac is the root-mean-square, rms, of the ac-armature current, Idc is the dc-excited current, f is the electrical frequency.
In this work, the stator/rotor combination of the HE-DSDPM is modified for the addition of a multi-tooth technique. The possibility of a stator/rotor combination can be expressed by
where Nr is the number of rotor poles, Ns is the number of stator poles, and n is the number of stator teeth.
Figure 1b shows the cross-section perspective of the HE-DSDPM with the multi-tooth structure. Its structure consists of the 6 big stator poles, Ns = 6, with 2 stator teeth, n = 2 and there are 13 salient rotor poles, Nr = 13. This stator/rotor combination has been claimed to produce strong electromagnetic performance because it shows a suitable magnetic flux path and high-frequency operation [41]. The PM number is reduced by half while the PM size is changed for the suitability of the structure. The three-phase concentrated armature winding is wound at the big stator pole. It can be seen that the slot winding area of the multi-tooth HE-DSDPM structure is enlarger than the conventional HE-DSDPM structure for better excitation by the dc-biased sinusoidal current. Consequently, the number of turns of the winding can be doubled compared to the conventional one.
Therefore, the HE-DSDPM with the structural multi-tooth modification can illustrate a magnetic flux path improved by the proposed stator/rotor combination, magnetic resource improved by the adapted PM characteristics and flux regulation improved by the enlarged winding slot area. Then, the influence of PM and stator arcs, including θsp, θyp, θst and θt, on torque production will be further studied since they relate to the multi-tooth modification in the HE-DSDPM.
3. Influence of PM and Stator Arcs on Torque Production
The θsp, θyp, θst, and θt are important factors to impact the achievement of a better magnetic flux path and influence torque production. So, the influence of PM and stator arcs is investigated to objectively achieve a high average torque with low ripple torque in optimal multi-tooth HE-DSDPM. The optimization procedure can be explained by the flowchart, as indicated in Figure 2. Firstly, the initial design specifications and electrical constraints are parameterized to be constant values for structural optimization based on Table 1. Secondly, the θsp, θyp and θt are defined as possible variables and the θst is calculated by the determined θsp and Ns because they are interrelated. This optimization is based on a genetic algorithm (GA) to reach the objective of this investigation. Then, the boundary condition of these variable parameters is limited to reduce the structural distortion of the machine design. If the variable parameters are not appeared in the limited condition, they return the loop until the possible variable parameters are done. Finally, the 2-D FEA is utilised to calculate the torque production and then, investigate for optimal machine structure. The parametric model of multi-tooth HE-DSDPM is supportive of this consideration as indicated in Figure 3.
Figure 2.
The flowchart of the optimization procedure.
Table 1.
Initial design specifications and electrical constraints of the multi-tooth HE-DSDPM.
Figure 3.
Parametric model of a multi-tooth HE-DSDPM.
3.1. PM Arcs
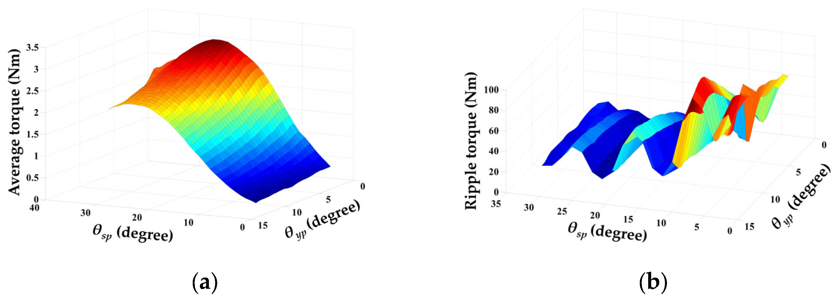
Figure 4 shows the influence of θsp and θyp on torque production for the multi-tooth HE-DSDPM. Figure 4a can be observed that the average torque increases when increasing θsp between 3 and 25 degrees and gradually decreases when θsp of 26 degrees is too large because the magnetic flux density at the air gap is reduced with a decrease in magnetic permeance. Meanwhile, the small θyp between 1 and 3 degrees provides high average torque at large θsp due to the reduction of flux refutation at the stator teeth region. In addition, the ripple torque variation with varying θsp and θyp is indicated in Figure 4b. The large θsp between 20 and 32 degrees results in a lower ripple torque, while the θyp has little influence on the ripple torque. The results exhibit that the θsp has a higher significant effect on torque production than the θyp. In order to achieve high average torque and low ripple torque, the θsp of 23 degrees and θyp of 1.75 degrees are chosen as the best PM arcs because it produces good MMF and magnetic permeance around stator teeth and air gap of the proposed structure.
Figure 4.
Influence of PM arcs on torque production for a multi-tooth HE-DSDPM: (a) average torque and (b) ripple torque.
3.2. Stator Arcs
Figure 5 shows the influence of θst and θt on torque production for the multi-tooth HE-DSDPM. It is seen that the average torque increases with the θst reduction between 34 and 57 degrees as a consequence of the behaviour of θsp variation explained above, shown in Figure 5a. However, the θt variation indicates a minimal impact on the average torque since the big stator pole of the proposed machine structure has suitable magnetic permeance to sufficiently contain the magnetic flux produced by both PMs. Figure 5b presents that the low ripple torque is acquired by the small θst between 28 and 40 degrees, whereas the various θt results in the inconsistent magnitude of the ripple torque due to unstable magnetic flux density at the air gap. Thus, the optimal stator arc candidate is θst of 36 degrees and θt of 23 degrees because it exists a suitable magnetic permeance and provides high average torque with low ripple torque.
Figure 5.
Influence of stator arcs on torque production for a multi-tooth HE-DSDPM: (a) average torque and (b) ripple torque.
From the optimization results, it is concluded that the suitable PM and stator arcs are θsp of 23 degrees, θyp of 1.75 degrees, θst of 36 degrees and θt of 23 degrees. The multi-tooth HE-DSDPM using these suitable arcs can produce large average torque and low ripple torque because of its suitable symmetrical magnetic flux path with the best MMF and magnetic permeability. Thus, this proposed HE-DSDPM with the suitable PM and stator arcs is chosen as the optimal structure in this work. All design specifications of the optimal multi-tooth HE-DSDPM and the conventional HE-DSDPM are given in Table 2. Then, the electromagnetic performance of the optimal multi-tooth HE-DSDPM will be deeply analysed to compare it with conventional HE-DSDPM.
Table 2.
Design specifications of optimal multi-tooth HE-DSDPM and conventional HE-DSDPM.
4. Electromagnetic Performance Analysis
The electromagnetic performance of the optimal multi-tooth HE-DSDPM was investigated by using the 2-D FEA. The Idc excitations of +5 and −5 A were considered for the expansion of the flux-regulated behaviour in the machine. The magnetic field distribution, flux linkage, back-EMF, THD and cogging torque were investigated in the open-circuit condition, which is Iac of 0 A. The production of electromagnetic torque and ripple torque were examined under load conditions, such as the Iac of 8 A and current density of 2 A/mm2. The analytical result is compared with the conventional HE-DSDPM based on the design specifications in Table 1.
4.1. Magnetic Flux Distribution and Flux Linkage Analysis
The magnetic flux distribution is verified to study the flux behaviour in a multi-tooth HE-DSDPM. Figure 6 presents the open-circuit magnetic flux and field density of the proposed machine with different Idc. As illustrated in the red dashed circle, the strong magnetic flux is crowned at the stator tooth tip, the rotor tip and the air gap at all Idc. This is because the most magnetic flux is produced by slot opening PM. Typically, the magnetic field density at the air gap has more important due to the influence on the magnetic flux path between the stator teeth and rotor poles. It can be seen that the highest magnetic field density at the air gap is about 2.13 T excited by Idc of +5 A, followed by 1.74 and 0.94 T excited by Idc of 0 A and −5 A, respectively. As a result, the strengthening flux distribution is achieved by excited at Idc of +5 A while the wakening flux distribution is achieved by excited at Idc of −5 A.
Figure 6.
Open-circuit magnetic flux and field density of a multi-tooth HE-DSDPM with various Idc; (a) Idc = 0 A, (b) Idc = −5 A, and (c) Idc = +5 A.
The flux linkage was computed from the magnetic flux distribution for primary investigation. As shown in Figure 7, the open-circuit flux linkage of the proposed HE-DSDPM structures with different Idc is presented by varying the rotor positions. The multi-tooth HE-DSDPM provides the highest flux linkage of 0.013 Wb, similar to conventional HE-DSPM at Idc of 0 A. Although the geometry configuration of the multi-tooth HE-DSDPM is modified, the flux linkage keeps the same magnitude because the magnetic flux path is improved.
Figure 7.
Open-circuit flux linkage of the proposed HE-DSDPM with various Idc.
When both machines are excited by Idc of −5 and +5 A, it is found that the highest flux linkage of the proposed structure at Idc of −5 and Idc of +5 A has 32.82% smaller and 35.80% larger than that at no field current, respectively. Especially, the multi-tooth HE-DSDPM exhibits a larger variance flux linkage percentage with better flux regulation quality when compared to the conventional one due to the slot area of the winding coil being enlarged by the structural modification of the multi-tooth technique. Then, the behaviour of the magnetic flux distribution and flux linkage will be further utilised to describe the back-EMF and torque production.
4.2. Back-EMF Analysis
The back-EMF is the induced voltage calculated by the time derivative of flux linkage. Figure 8 shows the open-circuit back-EMF waveforms and their harmonic spectra of the proposed HE-DSDPM structures with various Idc. As indicated in Figure 8a, the sinusoidal waveforms of the back-EMF are found in both proposed and conventional structures because of containing a symmetrical magnetic flux path. When exciting by Idc of 0 A, the highest back-EMF of the multi-tooth HE-DSDPM is about 18.76 V and also 24.54% more than the conventional one because its multi-tooth modification helpfully improves the magnetic flux path and flux regulation.
Figure 8.
Open-circuit back-EMF of the proposed HE-DSDPM with various Idc: (a) waveform and (b) harmonic spectra.
The variance back-EMF percentage with Idc variations is indicated in Figure 8b. It is found that the back-EMF percentage of the multi-tooth HE-DSDPM is decreased by 34.24% when excited by Idc of −5 A and improved by 33.32% when excited by Idc of +5 A. Especially, the highest back-EMF of the multi-tooth HE-DSDPM has 21.38% smaller and 29.98% higher than that of the HE-DSDPM with Idc of −5 and +5 A, respectively. This is because of the effects of flux linkage percentage and flux regulation quality, as described previously.
The harmonic spectra back-EMF of the proposed structures is presented at different Idc. The THD percentage represents the harmonic spectra system of the back-EMF waveform. It can be seen that the THD percentage is reduced by more than 3% when using the structural multi-tooth modification in the HE-DSDPM. This is explained that the back-EMF of multi-tooth HE-DSDPM receives high smoothness waveform. Furthermore, the THD percentage of both machines is changed with varying Idc, which significantly impacts the behaviour of ripple torque. From these results, the back-EMF and THD percentages will be applied for the explanation of the torque characteristics.
4.3. Torque Production Analysis
The torque production of both proposed structures, consisting of the cogging torque and electromagnetic torque, is investigated. The cogging torque of the proposed HE-DSDPM structures excited by different Idc is shown in Figure 9. The low cogging torque represents low tension between the magnet and rotor at the air gap while the electrical machine is started. The multi-tooth HE-DSDPM with all field currents is observed to have lower cogging torque than the conventional HE-DSDPM. Their peck-to-peck cogging torques are about 0.081, 0.064, and 0.238 Nm found at Idc of −5, 0, and 5 A, respectively. This behaviour is exhibited that the multi-tooth machine indicates a lower starting tension because of the suitable magnetic flux path at the air gap from the structural multi-tooth modification with PM and stator arcs optimization.
Figure 9.
Cogging torque of the proposed HE-DSDPM with various Idc.
Figure 10a indicates the electromagnetic torque of the multi-tooth and conventional HE-DSDPM structures with Idc variation. The Iac of 8 A and current density of 2 A/mm2 was fixed as electrical constraints in the load conditions. Based on no field current, the HE-DSDPM with a multi-tooth structure produces an electromagnetic torque of about 3.04 Nm and is especially 26.18% higher than the HE-DSDPM with a conventional structure because of the better back-EMF characteristic. The ripple torque of the multi-tooth HE-DSDPM has a minimum value of about 3.25% and is 4% less than that of the conventional one due to a lower THD percentage and cogging torque value.
Figure 10.
Electromagnetic torque of the proposed HE-DSDPM with various Idc: (a) waveform and (b) average.
As shown in Figure 10b, the investigation of the average torque in the HE-DSDPM structures is proposed. It is seen that the variance average torque percentage of a multi-tooth HE-DSDPM with Idc of +5 A indicates a 16.43% improvement from that of conventional HE-DSDPM. For Idc of −5 A excitation, the proposed structure shows a 20.73% lower variance average torque percentage when compared to the conventional structure. It is also represented that the multi-tooth HE-DSDPM has the smallest ripple torque with a minimum vibration of the machine structure. As described in the magnetic flux distribution section, it indicates that the strengthening flux distribution excited by Idc of +5 A can produce the average torque improvement, while the wakening flux distribution excited by Idc of −5 A can produce minimum ripple torque for the HE-DSDPM with a multi-tooth structure. Therefore, the structural multi-tooth modification in HE-DSDPM can generate better electromagnetic torque, the lowest ripple torque and the best variance average torque percentage at all Idc.
From the results, it can be concluded that the HE-DSDPM can generate better overall electromagnetic performance by using a structural multi-tooth modification since it enhances the magnetic flux path and the flux regulation. When compared to the conventional HE-DSDPM at Idc of 0 A, it is found that the multi-tooth HE-DSDPM structure indicates a 24.54% higher back-EMF with about 3% lower THD percentage. Especially, the average torque provided by the proposed structure is 26.18% larger and 4% smaller ripple torque than the conventional one because of better back-EMF characteristics and the low cogging torque magnitude. Moreover, the multi-tooth HE-DSDPM with excited by Idc of −5 and +5 A exhibits the largest variance percentage of torque production than conventional HE-DSDPM because of the greater flux regulation quality. Hence, structural multi-tooth modification may be another important way to improve torque production in the other DSPM categories.
5. Conclusions
This paper presented a structural multi-tooth modification used in an HE-DSDPM for torque production improvement. The PM and stator arcs were examined by optimization to achieve the optimal structure for effective torque production. The electromagnetic performance was investigated based on the magnetic flux distribution, flux linkage, back-EMF, THD, cogging torque and electromagnetic torque with varying Idc values and compared to the conventional HE-DSDPM under the same machine conditions. The results, based on the 2-D FEA, verified that the proposed multi-tooth HE-DSDPM shows the best stator/rotor combination, the suitable PM characteristics and the enlarged winding slot area. Better overall electromagnetic performance of this proposed structure is achieved by the improvement of the symmetrical magnetic flux path and flux regulation. This improved configuration resulted in the back-EMF that is 24.54% higher with the lowest THD percentage than the conventional structure with Idc at 0 A. In particular, this proposed structure provides a 26.18% higher average torque with a 4% smaller ripple torque when compared to the conventional one at no field current because of its greater back-EMF characteristics and the low cogging torque value. The proposed structure also exhibits the largest variance torque percentage with greater flux regulation quality at different Idc values. Therefore, in summary, the structural modification using the multi-tooth technique could be utilised to improve torque production for other DSPM categories and especially, be a significant trend for the development of the electrical machine design of other morphologies, such as linear-field PM machine and axial-field PM machine.
Author Contributions
Conceptualization, W.S. and A.S.; methodology, W.S.; software, W.S. and A.B.; validation, W.S. and P.S.; formal analysis, W.S., A.B. and P.S.; investigation, N.P. and P.K.; resources, N.P. and N.T.; data curation, A.B.; writing—original draft preparation, W.S.; writing—review and editing, W.S.; visualization, N.P., N.T., A.B., P.S. and P.K.; supervision, A.S.; project administration, W.S. and A.S.; funding acquisition, W.S. and A.S. All authors have read and agreed to the published version of the manuscript.
Funding
This research was funded by Kasetsart University Research and Development Institute, KURDI (Grant Number YF(KU)11.65).
Institutional Review Board Statement
Not applicable.
Informed Consent Statement
Not applicable.
Data Availability Statement
Not applicable.
Acknowledgments
The authors are grateful for the assistance analysis from Permanent Magnet Electrical Machine (PMEM) Research Laboratory, Engineering, Khon Kaen University.
Conflicts of Interest
The authors declare no conflict of interest.
References
- Chau, K.T.; Chan, C.C.; Liu, C. Overview of permanent-magnet brushless drives for electric and hybrid electric vehicles. IEEE Trans. Ind. Electron. 2008, 55, 2246–2257. [Google Scholar] [CrossRef]
- Zhu, Z.Q.; Howe, D. Electrical machines and drives for electric, hybrid, and fuel cell vehicles. IEEE Proc. 2007, 95, 746–765. [Google Scholar] [CrossRef]
- Vanchinathan, K.; Valluvan, K.R.; Gnanavel, C.; Gokul, C. Design methodology and experimental verification of intelligent speed controllers for sensorless permanent magnet brushless DC motor: Intelligent speed controllers for electric motor. Int. Trans. Electr. Energy Syst. 2021, 31, 12991. [Google Scholar] [CrossRef]
- Anuja, T.A.; Doss, M. Asymmetrical Magnets in Rotor Structure of a Permanent Magnet Brushless DC Motor for Cogging Torque Minimization. J. Electr. Eng. Technol. 2022, 17, 1271–1279. [Google Scholar] [CrossRef]
- Cheng, M.; Hua, W.; Zhang, J.; Zhao, W. Overview of stator-permanent magnet brushless machines. IEEE Trans. Ind. Electron. 2011, 58, 5087–5101. [Google Scholar] [CrossRef]
- Niu, S.; Wang, S.; Zhao, X. Overview of Stator Slot-opening Permanent Magnet Machines. IEEE Trans. Transp. Electrif. 2022; early access. [Google Scholar]
- Sriwannarat, W.; Seangwong, P.; Lounthavong, V.; Khunkitti, S.; Siritaratiwat, A.; Khunkitti, P. An improvement of output power in doubly salient permanent magnet generator using Pole configuration adjustment. Energies 2020, 13, 4588. [Google Scholar] [CrossRef]
- Nissayan, C.; Seangwong, P.; Chamchuen, S.; Fernando, N.; Siritaratiwat, A.; Khunkitti, P. Modeling Optimal Configuration Design of Flux-Barrier for Torque Improvement of Rotor Flux Switching Permanent Magnet Machine. Energies 2022, 15, 8429. [Google Scholar] [CrossRef]
- Zhao, W.; Cheng, M.; Ji, J.; Cao, R.; Du, Y.; Li, F. Design and analysis of a new fault-tolerant linear permanent-magnet motor for maglev transportation applications. IEEE Trans. Appl. Supercond. 2012, 22, 5200204. [Google Scholar] [CrossRef]
- Wang, Y.; Deng, Z. Hybrid excitation topologies and control strategies of stator permanent magnet machines for DC power system. IEEE Trans. Ind. Electron. 2012, 59, 4601–4616. [Google Scholar] [CrossRef]
- Qu, H.; Zhu, Z.Q.; Li, H. Analysis of novel consequent pole flux reversal permanent magnet machines. IEEE Trans. Ind. Appl. 2020, 57, 382–396. [Google Scholar] [CrossRef]
- Meng, Y.; Fang, S.; Pan, Z.; Liu, W.; Qin, L. Design and analysis of a new partitioned stator hybrid-excited flux reversal machine with dual-pm. IEEE Trans. Magn. 2021, 58, 8100806. [Google Scholar] [CrossRef]
- Sun, X.; Zhu, Z.Q. Investigation of DC winding induced voltage in hybrid-excited switched-flux permanent magnet machine. IEEE Trans. Ind. Appl. 2020, 56, 3594–3603. [Google Scholar] [CrossRef]
- Awah, C.C. Effect of permanent magnet material on the electromagnetic performance of switched-flux permanent magnet machine. Electr. Eng. 2021, 103, 1647–1660. [Google Scholar] [CrossRef]
- Liao, Y.; Liang, F.; Lipo, T.A. A novel permanent magnet motor with doubly salient structure. IEEE Trans. Ind. Appl. 1995, 31, 1069–1078. [Google Scholar] [CrossRef]
- Cheng, M.; Chau, K.T.; Chan, C.C. Static characteristics of a new doubly salient permanent magnet motor. IEEE Trans. Energy Convers. 2001, 16, 20–25. [Google Scholar] [CrossRef]
- Cheng, M.; Chau, K.T.; Chan, C.C. Design and analysis of a new doubly salient permanent magnet motor. IEEE Trans. Magn. 2001, 37, 3012–3020. [Google Scholar] [CrossRef]
- Zhang, L.; Wu, L.J.; Huang, X.; Fang, Y.; Lu, Q. A novel structure of doubly salient permanent magnet machine in square envelope. IEEE Trans. Magn. 2019, 55, 8103505. [Google Scholar] [CrossRef]
- Wu, L.; Ming, G.; Zhang, L.; Fang, Y. Improved stator/rotor-pole number combinations for torque ripple reduction in doubly salient PM machines. IEEE Trans. Ind. Electron. 2020, 68, 10601–10611. [Google Scholar] [CrossRef]
- Du, Y.; Zhao, J.; Xiao, F.; Zhu, X.; Quan, L.; Li, F. Partitioned stator hybrid excitation doubly salient machine with slot Halbach PM arrays. IEEE Trans. Veh. Technol. 2021, 70, 3187–3196. [Google Scholar] [CrossRef]
- Seangwong, P.; Siritaratiwat, A.; Sriwannarat, W.; Fernando, N.; Khunkitti, P. Design of Doubly Salient Permanent Magnet Generator for Output Power Enhancement using Structural Modification. J. Appl. Comput. Mech. 2021, 7, 2171–2178. [Google Scholar]
- Sriwannarat, W.; Seangwong, P.; Siritaratiwat, A.; Fernando, N.; Dechgummarn, Y.; Khunkitti, P. Electromagnetic torque improvement of doubly salient permanent magnet machine using pole ratio adjustment technique. Front. Energy Res. 2021, 9, 726164–726174. [Google Scholar] [CrossRef]
- Tapia, J.A.; Leonardi, F.; Lipo, T.A. Consequent-pole permanent-magnet machine with extended field-weakening capability. IEEE Trans. Ind. Appl. 2003, 39, 1704–1709. [Google Scholar] [CrossRef]
- Owen, R.L.; Zhu, Z.Q.; Jewell, G.W. Hybrid-excited flux-switching permanent-magnet machines with iron flux bridges. IEEE Trans. Magn. 2010, 46, 1726–1729. [Google Scholar] [CrossRef]
- Afinowi, I.A.A.; Zhu, Z.Q.; Guan, Y.; Mipo, J.C.; Farah, P. Hybrid-excited doubly salient synchronous machine with permanent magnets between adjacent salient stator poles. IEEE Trans. Magn. 2015, 51, 8107909. [Google Scholar] [CrossRef]
- Cai, S.; Zhu, Z.Q.; Mipo, J.C.; Personnaz, S. Investigation of novel doubly salient hybrid excited machine with non-overlapped field winding. IEEE Trans. Energy Convers. 2020, 36, 2261–2275. [Google Scholar] [CrossRef]
- Zhao, X.; Niu, S.; Fu, W. Design of a novel parallel-hybrid-excited dual-PM machine based on armature harmonics diversity for electric vehicle propulsion. IEEE Trans. Ind. Electron. 2018, 66, 4209–4219. [Google Scholar] [CrossRef]
- Zhang, Z.; Tao, Y.; Yan, Y. Investigation of a new topology of hybrid excitation doubly salient brushless DC generator. IEEE Trans. Ind. Electron. 2011, 59, 2550–2556. [Google Scholar] [CrossRef]
- Shen, Y.; Lu, Q. Design and analysis of linear hybrid-excited slot permanent magnet machines. IEEE Trans. Magn. 2018, 54, 8205506. [Google Scholar] [CrossRef]
- Mao, Y.; Niu, S. Topology Exploration and Analysis of a Novel Winding Factor Modulation-Based Hybrid-Excited Biased Flux Machine. IEEE J. Emerg. Sel. Top. Power Electron. 2021, 10, 1788–1799. [Google Scholar] [CrossRef]
- Shen, Y.; Zeng, Z.; Lu, Q.; Li, Y. Investigation of a modular linear doubly salient machine with dual-PM in primary yoke and slot openings. IEEE Trans. Magn. 2019, 55, 8102606. [Google Scholar] [CrossRef]
- Wang, Q.; Niu, S.; Luo, X. A novel hybrid dual-PM machine excited by AC with DC bias for electric vehicle propulsion. IEEE Trans. Ind. Electron. 2017, 64, 6908–6919. [Google Scholar] [CrossRef]
- Meng, Y.; Fang, S.; Pan, Z.; Qin, L. A New Hybrid-Excited Doubly Salient Dual-PM Machine With DC-biased Sinusoidal Current. IEEE Trans. Appl. Supercond. 2021, 31, 5203205. [Google Scholar] [CrossRef]
- Chen, J.T.; Zhu, Z.Q.; Howe, D. Stator and rotor pole combinations for multi-tooth flux-switching permanent-magnet brushless AC machines. IEEE Trans. Magn. 2008, 44, 4659–4667. [Google Scholar] [CrossRef]
- Zhu, Z.Q.; Chen, J.T. Advanced flux-switching permanent magnet brushless machines. IEEE Trans. Magn. 2010, 46, 1447–1453. [Google Scholar] [CrossRef]
- Zhu, Z.Q.; Chen, J.T.; Pang, Y.; Howe, D.; Iwasaki, S.; Deodhar, R. Analysis of a novel multi-tooth flux-switching PM brushless AC machine for high torque direct-drive applications. IEEE Trans. Magn. 2008, 44, 4313–4316. [Google Scholar] [CrossRef]
- Zhu, Z.Q.; Al-Ani, M.; Lee, B.; Liu, X. Comparative study of the electromagnetic performance of switched flux permanent magnet machines. IET Electr. Power Appl. 2015, 9, 297–306. [Google Scholar] [CrossRef]
- Zhao, G.; Hua, W. Comparative study between a novel multi-tooth and a V-shaped flux-switching permanent magnet machines. IEEE Trans. Magn. 2019, 55, 8104908. [Google Scholar] [CrossRef]
- Zhang, Z.; Chen, J.; Liu, X. Hybrid-excited multi-tooth flux switching brushless machines for EV propulsion. In Proceedings of the 2019 IEEE Transportation Electrification Conference and Expo (ITEC), Detroit, MI, USA, 19-21 June 2019; pp. 1–5. [Google Scholar]
- Farahani, E.F.; Kondelaji, M.A.J.; Mirsalim, M. An innovative hybrid-excited multi-tooth switched reluctance motor for torque enhancement. IEEE Trans. Ind. Electron. 2020, 68, 982–992. [Google Scholar] [CrossRef]
- Wei, F.; Zhu, Z.Q.; Yan, L.; Qi, J. Investigation of Stator/Rotor Pole Number Combinations and PM Numbers in Consequent-Pole Hybrid Excited Flux Reversal Machine. IEEE Trans. Energy Convers. 2022, 37, 2092–2106. [Google Scholar] [CrossRef]
Disclaimer/Publisher’s Note: The statements, opinions and data contained in all publications are solely those of the individual author(s) and contributor(s) and not of MDPI and/or the editor(s). MDPI and/or the editor(s) disclaim responsibility for any injury to people or property resulting from any ideas, methods, instructions or products referred to in the content. |
© 2023 by the authors. Licensee MDPI, Basel, Switzerland. This article is an open access article distributed under the terms and conditions of the Creative Commons Attribution (CC BY) license (https://creativecommons.org/licenses/by/4.0/).









