A New Technique for Determining the Shape of a Paper Sample in In-Plane Compression Test Using Image Sequence Analysis
Abstract
1. Introduction
2. Materials and Methods
2.1. Measuring Setup
2.2. A Sequence of Operations Included in the Developed Measurement Technique
2.3. Developed Image Processing and Analysis Technique
- conversion of a series of RAW images to TIFF format with optional reducing the size of a digital image to reduce data volume,
- extracting information about the recording time of each photo in the sequence with an accuracy of 1/100 of a second,
- conversion of color images to grayscale,
- cropping obtained images to the following regions: the examined paper sample, the checkerboard on the movable handle, and the checkerboard on the fixed handle,
- linear filtering of the sample image by means of a filter that enhances the vertical edges in the image; its mask is shown in Figure 3,
- linear filtering of checkerboard images using a filter that emphasizes the corners of the checkerboard fields in the image; its mask is shown in Figure 4.
2.4. Synchronization of Image Data and Measurement Results from the Testing Machine
2.5. Estimation of Deformation Parameters of the Tested Paper Sample
- C-constant—the shift relative to the beginning of the coordinate system (it can change in subsequent photos as a result of, for example, camera vibrations, it is not important in measuring the deflection of the sample),
- A—amplitude of the sine wave function modelling the deflection,
- Pr—the period of the sine wave modelling the deflection (at the initial stage of measurement, before the buckling of the sample, it cannot be determined accurately),
- φ—the initial phase of the sine wave modelling the deflection (not relevant from the point of view of deflection analysis, but must be a variable in order to match the model well with the measurement data).
- i—index of the point at the edge of the test sample,
- xi—the horizontal coordinate of the i-th point at the edge of the sample,
- yi—the vertical coordinate of the i-th point on the edge of the sample.
2.6. An Example of Analysis of Measurement Data—Crushing a Paper Sample Subjected to the Test with a Clamping Length of 4 mm
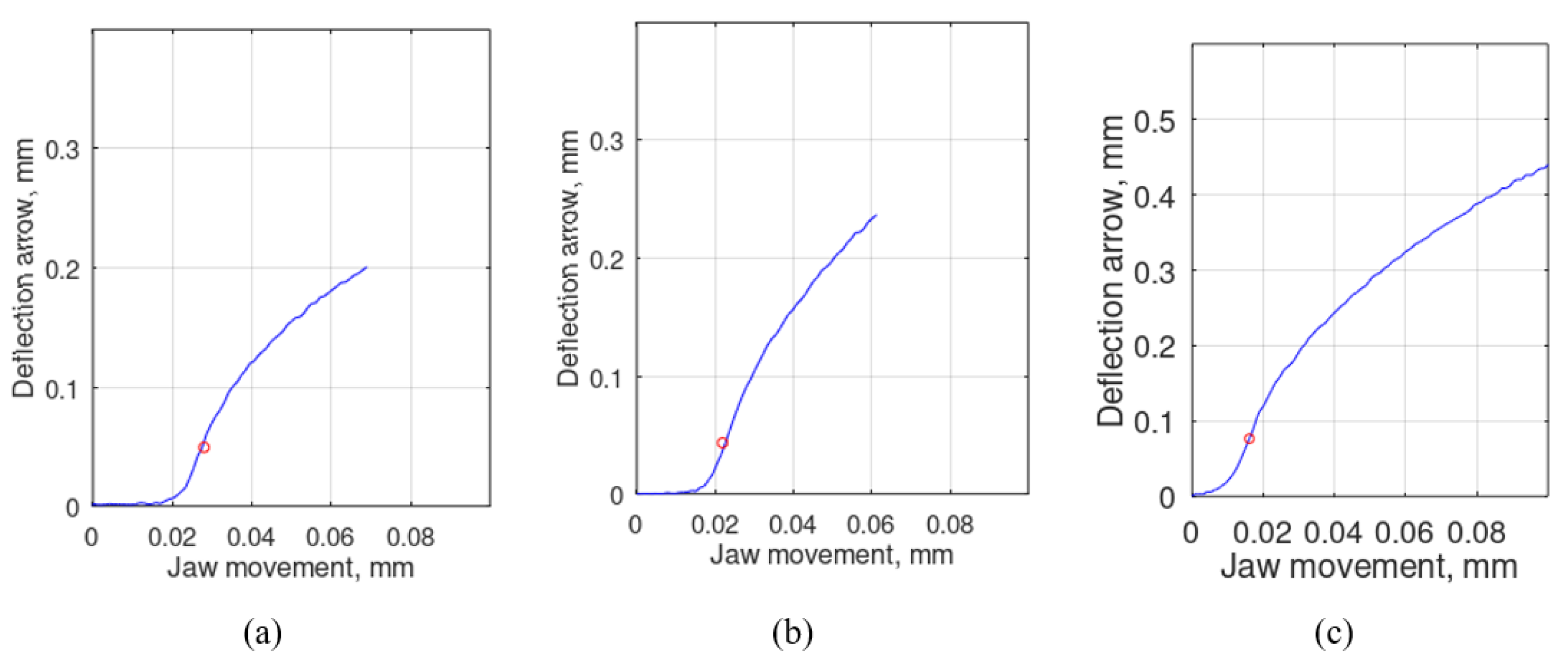
3. Results
4. Discussion
- l—sample length
- Δl—sample shortening
- δ—deflection arrow.
5. Conclusions
Author Contributions
Funding
Institutional Review Board Statement
Informed Consent Statement
Data Availability Statement
Conflicts of Interest
References
- Rzepa, S. Parametry papieru. In Proceedings of the Sympozjum Mondi Packaging “From Fibre to Corrugated Board”, Świecie, Poland, 1–2 December 2004. [Google Scholar]
- Bai, J.; Wang, J.; Pan, L.; Lu, L.; Lu, G. Quasi-static axial crushing of single wall corrugated paperboard. Compos. Struct. 2019, 226, 111237. [Google Scholar] [CrossRef]
- Czechowski, L.; Bieńkowska, M.; Szewczyk, W. Paperboard tubes failure due to lateral compression—Experimental and numerical study. Compos. Struct. 2018, 203, 132–141. [Google Scholar] [CrossRef]
- Kołakowski, Z.; Szewczyk, W.; Bieńkowska, M.; Czechowski, L. New method for evaluation of radial crush strength of paper cores. Mechanika 2018, 24, 169–173. [Google Scholar] [CrossRef]
- Gajewski, T.; Garbowski, T.; Staszak, N.; Kuca, M. Crushing of double-walled corrugated board and its influence on the load capacity of various boxes. Energies 2021, 14, 4321. [Google Scholar] [CrossRef]
- Yu-Ping, E.; Wang, Z.-W. Plateau stress of paper honeycomb as response to various relative humidities. Packag. Technol. Sci. 2010, 23, 203–216. [Google Scholar] [CrossRef]
- Abbès, B.; Guo, Y.Q. Analytic homogenization for torsion of orthotropic sandwich plates: Application to corrugated cardboard. Compos. Struct. 2010, 92, 699–706. [Google Scholar] [CrossRef]
- Semple, K.E.; Sam-Brew, S.; Deng, J.; Cote, F.; Yanm, N.; Chen, Z.; Smith, G.D. Properties of commercial Kraft paper honeycomb furniture stock panels conditioned under 65 and 95 percent relative humidity. For. Prod. J. 2015, 65, 106–122. [Google Scholar] [CrossRef]
- Kmita-Fudalej, G.; Szewczyk, W.; Kołakowski, Z. Calculation of honeycomb paperboard resistance to edge crush test. Materials 2020, 13, 1706. [Google Scholar] [CrossRef] [PubMed]
- Fadiji, T.; Ambaw, A.; Coetzee, C.J.; Berry, T.M.; Opara, U.L. Application of finite element analysis to predict the mechanical strength of ventilated corrugated paperboard packaging for handling fresh produce. Biosyst. Eng. 2018, 174, 260–281. [Google Scholar] [CrossRef]
- Li, X.; Wang, J.; Chuang, C.; Gao, D.; Lu, G.; Lu, L.; Wang, Z. Mathematical models for predicting the quasi-static stress characteristics of corrugated paperboard with sinusoidal core along the longitudinal compression. Int. J. Mech. Sci. 2018, 149, 136–149. [Google Scholar] [CrossRef]
- Kubiak, T.; Kolakowski, Z.; Swiniarski, J.; Urbaniak, M.; Gliszczynski, A. Local buckling and post-buckling of composite channel-section beams—Numerical and experimental investigations. Compos. Part B 2016, 91, 176–188. [Google Scholar] [CrossRef]
- Mou, X.-N.; Lu, L.-X.; Zhou, Y.-L. Evaluation of in-plane compressive densification strain of honeycomb paperboard. Adv. Mech. Eng. 2020, 12, 1–11. [Google Scholar] [CrossRef]
- Smardzewski, J.; Prekrat, S. Modelling of thin paper honeycomb panels for furniture. In Proceedings of the International Conference Ambienta, Wood is Good—With Knowledge and Technology to a CompetitiveForestry and Wood Technology Sector, Zagreb, Croatia, 12 October 2012; pp. 179–186. [Google Scholar]
- PN-EN ISO 3035: 2011; Tektura Falista Oznaczanie Odporności na Zgniatanie Płaskie. Polski Komitet Normalizacyjny: Warsaw, Poland, (Polish Standard). 2011.
- Murray, N.W.; Khoo, P.S. Some basic plastic mechanism in the local buckling of thin-walled steel structures. Int. J. Mech. Sci. 1981, 23, 703–713. [Google Scholar] [CrossRef]
- Królak, M. (Ed.) Stany Zakrytyczne i Nośność Graniczna Cienkościennych Dźwigarów o Ścianach Płaskich (Critical States and Ultimate Capacity of Thin-Walled Girders with Flat Walls); PWN, Warszawa-Łódź: Daimlera, Poland, 1990. [Google Scholar]
- Reddy, J.N. Mechanics of Laminated Composite Plates and Shells: Theory and Analysis, 2nd ed.; CRC Press: Boca Raton, FL, USA, 2004. [Google Scholar] [CrossRef]
- Bin Kamarudin, M.N.; Mohamed Ali, J.S.; Aabid, A.; Ibrahim, Y.E. Buckling Analysis of a Thin-Walled Structure Using Finite Element Method and Design of Experiments. Aerospace 2022, 9, 541. [Google Scholar] [CrossRef]
- Gonzalez, R.C.; Woods, R.E. Digital Image Processing, 3rd ed.; Prentice Hall, SE: Hoboken, NJ, USA, 2007; ISBN 978-0-13-168728-8. [Google Scholar]
- Pełczyński, P.; Szewczyk, W.; Bieńkowska, M. Single-Camera System for Measuring Paper Deformations Based on Image Analysis. Metrol. Meas. Syst. 2021, 28, 509–522. [Google Scholar] [CrossRef]
- Considine, J.M.; Scott, C.T.; Gleisner, R.; Zhu, J.Y. Use of digital image correlation to study the local deformation field of paper and paperboard. In Proceedings of the 13th Fundamental Research Symposium, Cambridge, UK, 11–16 September 2005; pp. 613–630. [Google Scholar]
- Stanier, S.A.; Blaber, J.; Take, W.A.; White, D.J. Improved image-based deformation measurement for geotechnical applications. Can. Geotech. J. 2016, 53, 727–739. [Google Scholar] [CrossRef]
- Online; Procemex Machine Vision Applications in Pulp and Paper Industry Offer Different Solutions for Pulp Furnish, Pulp bale, and Roll Quality Inspection. Available online: https://www.procemex.com/machine-vision-applications (accessed on 7 January 2023).
- Volmir, A.S. Nonlinear Dynamics of Plates and Shells; Science Publishing House: Moscow, Russia, 1972; p. 432. (In Russian) [Google Scholar]
- Kolakowski, Z.; Jankowski, J. Some inconsistencies in the nonlinear buckling plate theories—FSDT, S-FSDT, HSDT. Materials 2021, 14, 2154. [Google Scholar] [CrossRef]





















| Connection Length, mm | 0.7 | 1.3 | 2.0 | 3.0 | 4.0 | 5.0 |
|---|---|---|---|---|---|---|
| Maximum value of compressive force, N | 35.42 | 32.57 | 30.56 | 27.04 | 20.17 | 16.20 |
Disclaimer/Publisher’s Note: The statements, opinions and data contained in all publications are solely those of the individual author(s) and contributor(s) and not of MDPI and/or the editor(s). MDPI and/or the editor(s) disclaim responsibility for any injury to people or property resulting from any ideas, methods, instructions or products referred to in the content. |
© 2023 by the authors. Licensee MDPI, Basel, Switzerland. This article is an open access article distributed under the terms and conditions of the Creative Commons Attribution (CC BY) license (https://creativecommons.org/licenses/by/4.0/).
Share and Cite
Pełczyński, P.; Szewczyk, W.; Bieńkowska, M.; Kołakowski, Z. A New Technique for Determining the Shape of a Paper Sample in In-Plane Compression Test Using Image Sequence Analysis. Appl. Sci. 2023, 13, 1389. https://doi.org/10.3390/app13031389
Pełczyński P, Szewczyk W, Bieńkowska M, Kołakowski Z. A New Technique for Determining the Shape of a Paper Sample in In-Plane Compression Test Using Image Sequence Analysis. Applied Sciences. 2023; 13(3):1389. https://doi.org/10.3390/app13031389
Chicago/Turabian StylePełczyński, Paweł, Włodzimierz Szewczyk, Maria Bieńkowska, and Zbigniew Kołakowski. 2023. "A New Technique for Determining the Shape of a Paper Sample in In-Plane Compression Test Using Image Sequence Analysis" Applied Sciences 13, no. 3: 1389. https://doi.org/10.3390/app13031389
APA StylePełczyński, P., Szewczyk, W., Bieńkowska, M., & Kołakowski, Z. (2023). A New Technique for Determining the Shape of a Paper Sample in In-Plane Compression Test Using Image Sequence Analysis. Applied Sciences, 13(3), 1389. https://doi.org/10.3390/app13031389

