Experimental Investigation and In-Situ Testing of Traffic-Induced Vibrations on the Adjacent Ruins of an Ancient Cultural Sites
Abstract
1. Introduction
2. Heritage Profile and Vibration Control Standards
2.1. Heritage Overview
2.2. Ambient Vibration Source
2.3. Heritage Overview
3. Shock Vibration Field Test
3.1. Test Instruments
3.2. Measurement Points Arrangement
3.3. Test Conditions
4. Test Results and Analysis
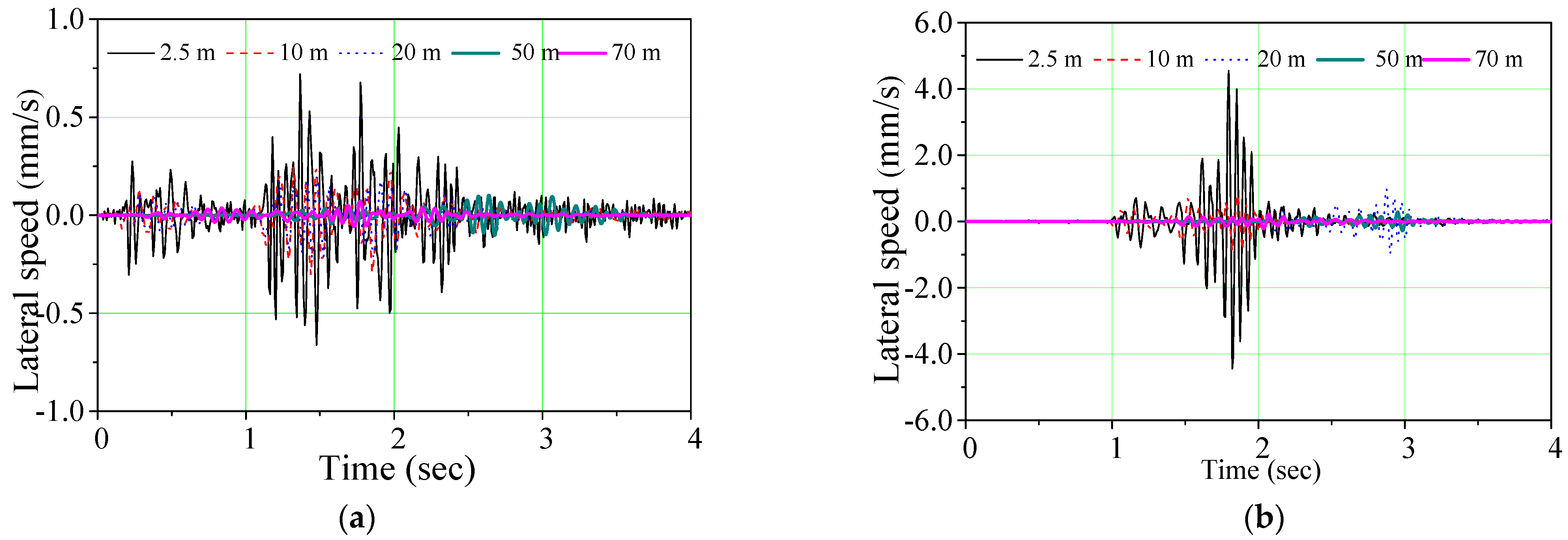
4.1. Measurement Point Vibration Velocity Response
4.2. Hanger Appearance Inspection
4.3. Hanger Overall Static Load Test
4.4. Vibration Attenuation Law and Safety Distance Calculation
5. Similar Studies
6. Conclusions
- (1)
- The change law of vibration velocity response with the distance of vibration source is similar under different travel speeds. With the increase of vibration source distance, the vibration response decays exponentially, and the vibration velocity increases with the increase of travel speed, showing a power function relationship overall.
- (2)
- The superior frequency band of the vibration response caused by passing the speed bump is 0–40 Hz, and the primary frequency of the truck vibration is 20 Hz. The vibration response of each frequency band decreases with the increase of the vibration source distance. The decay rate of the high-frequency vibration is significantly higher than that of the low-frequency vibration.
- (3)
- Combined with the experimental monitoring data, the general functional relationship of vibration intensity with travel speed and vibration source distance is established. The empirical parameters of the impact of travel speed on the vibration of adjacent underground cultural relics are obtained. This research can predict the vibration of underground cultural relics, which has specific significance for protecting underground cultural relics.
- (4)
- Indeed, regarding the effect on historic structures, road traffic vibration surpasses subway vibration and proves to be more challenging to manage. Integrating micro-vibration control techniques in historic buildings should be accompanied by strategies like minimizing road traffic and expanding the buffer zone between buildings and roads.
7. Limitations and Future Research
- (1)
- The study lacks modeling and theoretical analysis, focusing only on field in-situ tests.
- (2)
- The test findings only consider the surface vibration response without investigating the vibration attenuation pattern at different depths.
- (1)
- Micro-vibration control is crucial for safeguarding cultural artifacts and structures. The effects of vibration on these entities can compromise both their safety and integrity. Therefore, it is imperative to develop a method for assessing the susceptibility of cultural artifacts or sites to micro-vibrations.
- (2)
- Maintenance has a beneficial impact on enhancing the ability of structures to withstand vibrations, particularly for cultural relics made of earth blocks classified as “cultural sites or relics.” It is necessary to implement suitable reinforcing measures for these relics.
- (3)
- Development of vibration standards for “earth-block cultural artifacts”.
Author Contributions
Funding
Institutional Review Board Statement
Informed Consent Statement
Data Availability Statement
Acknowledgments
Conflicts of Interest
References
- Kouroussis, G.; Vogiatzis, K.E.; Connolly, D.P. A combined numerical/experimental prediction method for urban railway vibration. Soil Dyn. Earthq. Eng. 2017, 97, 377–386. [Google Scholar] [CrossRef]
- Lombaert, G.; Degrande, G. Ground-borne vibration due to static and dynamic axle loads of InterCity and high-speed trains. J. Sound Vib. 2009, 319, 1036–1066. [Google Scholar] [CrossRef]
- Lacanna, G.; Ripepe, M.; Marchetti, E.; Coli, M.; Garzonio, C.A. Dynamic response of the Baptistery of San Giovanni in Florence, Italy, based on ambient vibration test. J. Cult. Herit. 2016, 20, 632–640. [Google Scholar] [CrossRef]
- Lacanna, G.; Ripepe, M.; Coli, M.; Genco, R.; Marchetti, E. Full structural dynamic response from ambient vibration of Giotto’s bell tower in Firenze (Italy), using modal analysis and seismic interferometry. NDT E Int. 2019, 102, 9–15. [Google Scholar] [CrossRef]
- Lopes, P.; Ruiz, J.F.; Costa, P.A.; Rodríguez, L.M.; Cardoso, A.S. Vibrations inside buildings due to subway railway traffic. Experimental validation of a comprehensive prediction model. Sci. Total Environ. 2016, 568, 1333–1343. [Google Scholar] [CrossRef] [PubMed]
- Zini, G.; Betti, M.; Bartoli, G. Experimental analysis of the traffic-induced-vibration on an ancient lodge. Struct. Control. Health Monit. 2022, 29, e2900. [Google Scholar] [CrossRef]
- Chen, S.H.; Qi, G.F.; Bi, W.G.; Gao, W.L. Experimental study on vibration propagation of rail transport. Appl. Mech. Mater. 2011, 90, 453–456. [Google Scholar] [CrossRef]
- Wang, P.; Wei, K.; Wang, L.; Xiao, J. Experimental study of the frequency-domain characteristics of ground vibrations caused by a high-speed train running on non-ballasted track. Proc. Inst. Mech. Eng. Part F J. Rail Rapid Transit 2016, 230, 1131–1144. [Google Scholar] [CrossRef]
- Shi, W.; Bai, L.; Han, J. Subway-induced vibration measurement and evaluation of the structure on a construction site at curved section of metro line. Shock Vib. 2018, 2018, 5763101. [Google Scholar] [CrossRef]
- Biao, Z.; Fengshou, Z.; Xiongyao, X. Vibration characteristics of underground structure and surrounding soil underneath high speed railway based on field vibration tests. Shock Vib. 2018, 2018, 3526952. [Google Scholar]
- Hinzen, K.G. Subway-induced vibrations in cologne cathedral. Seismol. Res. Lett. 2014, 85, 631–638. [Google Scholar] [CrossRef]
- Tian, S.; Tang, L.; Ling, X.; Ye, Y.; Wang, W. Field investigation into the vibration characteristics at the embankment of ballastless tracks induced by high-speed trains in frozen regions. Soil Dyn. Earthq. Eng. 2020, 139, 106387. [Google Scholar] [CrossRef]
- Cai, Y.; Wang, J. Modeling of Stress-Strain Behavior of Soft Clay under Cyclic Loading; Springer: Berlin/Heidelberg, Germany, 2008. [Google Scholar]
- Ling, X.Z.; Chen, S.J.; Zhu, Z.Y.; Zhang, F.; Wang, L.N.; Zou, Z.Y. Field monitoring on the train-induced vibration response of track structure in the beiluhe permafrost region along qinghai–tibet railway in china. Cold Reg. Sci. Technol. 2010, 60, 75–83. [Google Scholar] [CrossRef]
- Ling, X.Z.; Wang, L.N.; Zhang, F.; Chen, S.J.; Zhu, Z.Y. Field experiment on train-induced embankment vibration responses in seasonally-frozen regions of Daqing, China. J. Zhejiang Univ.-Sci. A 2010, 11, 596–605. [Google Scholar] [CrossRef]
- Meng, M.; Weifeng, L. Overview on current research of environmental vibration influence induced by urban mass transit in China. Sci. Sin. Technol. 2016, 46, 547–559. [Google Scholar]
- Jiang, T.; Zhang, X. In situ experiments and numerical assessment of environmental vibration induced by urban viaduct rail transit in Shanghai. In Proceedings of the 13th World Conference on Earthquake Engineering, Vancouver, BC, Canada, 1–6 August 2004; pp. 1–11. [Google Scholar]
- Xia, H.; Chen, J.; Wei, P.; Xia, C.; De Roeck, G.; Degrande, G. Experimental investigation of railway train-induced vibrations of surrounding ground and a nearby multi-story building. Earthq. Eng. Eng. Vib. 2009, 8, 137–148. [Google Scholar] [CrossRef]
- De Roeck, G.; Degrande, G.; Lombaert, G.; Müller, G. Study on Environmental Vibration Induced by Urban Rail Transit in Urban Area of the Near Buildings. In Proceedings of the 8th International Conference on Structural Dynamics, EURODYN 2011, Leuven, Belgium, 4–6 July 2011. [Google Scholar]
- Hao, Y.; Qi, H.; Liu, S.; Nian, V.; Zhang, Z.; Li, M.E. Study of Noise and Vibration Impacts to Buildings Due to Urban Rail Transit and Mitigation Measures. Sustainability 2022, 14, 31192022. [Google Scholar] [CrossRef]
- Liu, C.; Zhou, Y.; Tu, Y.; Xu, W. Study on elevated light rail induced vibration attenuation along the surrounding ground. In Proceedings of the Internoise 2014, Melbourne, VIC, Australia, 16–19 November 2014. [Google Scholar]
- Jian-guo, C.; Tong-yin, H.; Xiu-mei, Y.; Yan-mei, C. Experiment study on dynamic responses of bridge and surrounding environment induced by high-speed trains. In Proceedings of the 2010 WASE International Conference on Information Engineering, Beidai, China, 14–15 August 2010; Volume 3, pp. 270–274. [Google Scholar]
- Zou, C.; Wang, Y.; Wang, P.; Guo, J. Measurement of ground and nearby building vibration and noise induced by trains in a metro depot. Sci. Total Environ. 2015, 536, 761–773. [Google Scholar] [CrossRef]
- Sun, C.; Gao, L. Medium-to-low-speed freight rail transport induced environmental vibration and analysis of the vibration isolation effect of building slope protection piles. J. Vibroeng. 2017, 19, 4531–4549. [Google Scholar] [CrossRef][Green Version]
- Xia, Q.; Zhao, J.; Wang, D.; Li, Y. Analysis of dynamic response and fatigue life of masonry pagoda under the influence of train vibration. Adv. Civ. Eng. 2020, 2020 Pt 18, 7236310. [Google Scholar] [CrossRef]
- Ma, Q.; Li, X.; Cheng, C.; Yan, H. Field measurement, analysis and protection for the vibration response of granary ruins caused by train load. IOP Conf. Ser. Earth Environ. Sci. 2021, 676, 012126. [Google Scholar] [CrossRef]
- Li, M.; Ma, M.; Cao, Z.; Xia, Q.; Liu, W. Dynamic response analysis of train-induced vibration impact on the probhutaratna pagoda in beijing. Earthq. Eng. Eng. Vib. 2021, 20, 223–243. [Google Scholar] [CrossRef]
- Erkal, A.; Laefer, D.; Fanning, P.; Durukal, E.; Hancilar, U.; Kaya, Y. Investigation of the rail-induced vibrations on a masonry historical building. Adv. Mater. Res. 2010, 133–134, 569–574. [Google Scholar] [CrossRef]
- Ma, M.; Cao, Y.; Sun, X.; Liu, W. Prediction of Metro Train-Induced Vibrations on a Historic Building: The Case of the Round City and Chengguang Hall in Beijing; Springer: Cham, Switzerland, 2017. [Google Scholar]
- Ma, M.; Liu, W.; Qian, C.; Deng, G.; Li, Y. Study of the train-induced vibration impact on a historic Bell Tower above two spatially overlapping metro lines. Soil Dyn. Earthq. Eng. 2016, 81, 58–74. [Google Scholar] [CrossRef]
- Urushadze, S.; Pirner, M. Analysis and evaluation of the effect of vibrations on historical buildings. MATEC Web Conf. 2020, 313, 00020. [Google Scholar] [CrossRef][Green Version]
- Pau, A.; Vestroni, F. Vibration assessment and structural monitoring of the basilica of maxentius in rome. Mech. Syst. Signal Process. 2013, 41, 454–466. [Google Scholar] [CrossRef]
- Altunisik, A.C.; Genc, A.F.; Gunaydin, M.; Okur, F.Y.; Karahasan, O.S. Dynamic response of a historical armory building using the finite element model validated by the ambient vibration test. J. Vib. Control 2018, 24, 5472–5484. [Google Scholar] [CrossRef]
- Zonno, G.; Aguilar, R.; Boroschek, R.; Loureno, P.B. Environmental and ambient vibration monitoring of historical adobe buildings: Applications in emblematic andean churches. Int. J. Archit. Herit. 2019, 15, 1113–1129. [Google Scholar] [CrossRef]
- Ribilotta, E.; Clementi, F.; Pellegrino, M.; Poiani, M.; Gazzani, V.; Santilli, G.; Lenci, S. Monitoring Cultural Heritage Buildings: The San Ciriaco Bell-Tower in Ancona. In Proceedings of the 14th International Conference of Computational Methods in Sciences and Engineering, Thessaloniki, Greece, 14–18 March 2018. [Google Scholar]
- Ashayeri, I.; Biglari, M.; Formisano, A.; D’Amato, M. Ambient vibration testing and empirical relation for natural period of historical mosques. case study of eight mosques in kermanshah, iran. Constr. Build. Mater. 2021, 289, 123191. [Google Scholar] [CrossRef]
- Baraccani, S.; Azzara, R.M.; Palermo, M.; Gasparini, G.; Trombetti, T. Long-term seismometric monitoring of the two towers of bologna (Italy): Modal frequencies identification and effects due to traffic induced vibrations. Front. Built Environ. 2020, 6, 85. [Google Scholar] [CrossRef]
- GB/T 50452; Technical Specifications for Protection of Historic Buildings against Man-Made Vibration. Architecture & Building Press: Beijing, China, 2008.
- GB/T 14124-2009/ISO 4866: 1990; Mechanical Vibration and Shock—Vibration of Buildings—Guidelines for the Measurement of Vibrations and Evaluation of Their Effects on Buildings. China Standard Press: Beijing, China, 2009.
- Turunen-Rise, I.H.; Brekke, A.; Hårvik, L.; Madshus, C.; Klæboe, R. Vibration in dwellings from road and rail traffic—Part I: A new Norwegian measurement standard and classification system. Appl. Acoust. 2003, 64, 71–87. [Google Scholar] [CrossRef]
- Pyl, L.; Degrande, G.; Clouteau, D. Validation of a source–receiver model for road traffic-induced vibrations in buildings. II: Receiver model. J. Eng. Mech. 2004, 130, 1394–1406. [Google Scholar] [CrossRef]
- Mhanna, M.; Sadek, M.; Shahrour, I. Prediction and mitigation of traffic induced ground vibrations in an urban zone. WIT Trans. Built Environ. 2011, 116, 701–711. [Google Scholar]
- Yano, T.; Morihara, T.; Sato, T. Community response to Shinkansen noise and vibration: A survey in areas along the Sanyo Shinkansen Line. In Proceedings of the Forum Acusticum, Budapest, Hungary, 30 August–2 September 2005; pp. 1837–1841. [Google Scholar]
- Yokoshima, S.; Morihara, T.; Ota, A.; Tamura, A. Reanalysis of dose-response curves of Shinkansen railway noise. In Proceedings of the 9th International Congress on Noise as a Public Health Problem (ICBEN), Foxwoods, CT, USA, 21–25 July 2008. [Google Scholar]
- Wang, Z.; Tang, A.; Huang, D.; Wu, C.; Huang, Z. A novel environmental vibration analysis system and its application in isolation of environmental vibration induced by high-speed train in Harbin frozen soil site. Appl. Acoust. 2022, 193, 108781. [Google Scholar] [CrossRef]
- Zhang, L.; Ma, H. Investigation of Chinese residents’ community response to high-speed railway noise. Appl. Acoust. 2021, 172, 107615. [Google Scholar] [CrossRef]
- Gazetas, G. Vibrational characteristics of soil deposits with variable wave velocity. Int. J. Numer. Anal. Methods Geomech. 1982, 6, 1–20. [Google Scholar] [CrossRef]
- Takemiya, H. Field vibration mitigation by honeycomb WIB for pile foundations of a high-speed train viaduct. Soil Dyn. Earthq. Eng. 2004, 24, 69–87. [Google Scholar] [CrossRef]











| Layer Number | Name | Thickness (m) | Feature Description |
|---|---|---|---|
| ① | Cultivated soil layer | 0.04~0.2 | Greyish-brown soil color, loose soil texture |
| ② | Clay layer | 0.04~0.2 | Gray-brown, sticky, containing a small amount of ceramic flakes |
| ③ | Clay layer | 0.26~0.5 | Grayish yellow, stickier, with ceramic flakes |
| ④ | Clay layer | 0.1~0.38 | Gray-black, stickier, no relics found |
| ⑤ | Clay layer | 0.36~0.44 | Blackish soil with a lot of red-burned clay |
| ⑥ | Black soil layer | 1.2~1.26 | Loose soil with grass ash and sandy soil |
| ⑦ | Grey soil layer | 0.40~0.44 | Clay soil with a small amount of red-hot clay |
| ⑧ | Loess layer | 0.15~0.28 | Compact soil with a few ceramic shards |
| Working Condition No. | Travel Speed (km/h) | Number of Tests |
|---|---|---|
| 1 | 10 | 3 |
| 2 | 20 | 3 |
| 3 | 40 | 3 |
| 4 | 60 | 3 |
| Measurement Point Number | Peak Vibration Response (mm/s) | |||
|---|---|---|---|---|
| 10 km/h | 20 km/h | 40 km/h | 60 km/h | |
| 1 | 0.719 | 1.923 | 5.164 | 6.671 |
| 2 | 0.404 | 0.841 | 1.408 | 1.547 |
| 3 | 0.304 | 0.652 | 0.852 | 1.074 |
| 4 | 0.211 | 0.446 | 0.703 | 0.813 |
| 5 | 0.109 | 0.24 | 0.383 | 0.491 |
| 6 | 0.105 | 0.224 | 0.332 | 0.441 |
| 7 | 0.073 | 0.155 | 0.243 | 0.274 |
| Serial Number | Travel Speed (km/h) | Safety Distance (m) |
|---|---|---|
| 1 | 10 | 34.6 |
| 2 | 20 | 57.4 |
| 3 | 30 | 72.2 |
| 4 | 40 | 83.2 |
| 5 | 50 | 92.0 |
| 6 | 60 | 99.3 |
| 7 | 70 | 105.5 |
| 8 | 80 | 111.0 |
Disclaimer/Publisher’s Note: The statements, opinions and data contained in all publications are solely those of the individual author(s) and contributor(s) and not of MDPI and/or the editor(s). MDPI and/or the editor(s) disclaim responsibility for any injury to people or property resulting from any ideas, methods, instructions or products referred to in the content. |
© 2023 by the authors. Licensee MDPI, Basel, Switzerland. This article is an open access article distributed under the terms and conditions of the Creative Commons Attribution (CC BY) license (https://creativecommons.org/licenses/by/4.0/).
Share and Cite
Zhu, L.; Meng, J.; Chen, L.; Hu, X. Experimental Investigation and In-Situ Testing of Traffic-Induced Vibrations on the Adjacent Ruins of an Ancient Cultural Sites. Appl. Sci. 2023, 13, 13347. https://doi.org/10.3390/app132413347
Zhu L, Meng J, Chen L, Hu X. Experimental Investigation and In-Situ Testing of Traffic-Induced Vibrations on the Adjacent Ruins of an Ancient Cultural Sites. Applied Sciences. 2023; 13(24):13347. https://doi.org/10.3390/app132413347
Chicago/Turabian StyleZhu, Liming, Jiang Meng, Lingkun Chen, and Xiaolun Hu. 2023. "Experimental Investigation and In-Situ Testing of Traffic-Induced Vibrations on the Adjacent Ruins of an Ancient Cultural Sites" Applied Sciences 13, no. 24: 13347. https://doi.org/10.3390/app132413347
APA StyleZhu, L., Meng, J., Chen, L., & Hu, X. (2023). Experimental Investigation and In-Situ Testing of Traffic-Induced Vibrations on the Adjacent Ruins of an Ancient Cultural Sites. Applied Sciences, 13(24), 13347. https://doi.org/10.3390/app132413347

