Next Article in Journal
Impact of Storage Conditions of Yogurt Dry Ingredients on the Physicochemical Properties of the Final Product
Next Article in Special Issue
Evaluation of Landslide Susceptibility in Tekes County, Yili Prefecture Based on the Information Quantity Method
Previous Article in Journal
Evaluation of Different Work Zone Road-Occupation Schemes for Monorail Construction
Previous Article in Special Issue
Experimental Study on the Permeability of Ecological Slopes under Rainfall Infiltration Conditions
 
 
Font Type:
Arial Georgia Verdana
Font Size:
Aa Aa Aa
Line Spacing:
Column Width:
Background:
Article

Experimental Study on the Effect of High Temperature on the Physical and Mechanical Properties of Sandstone with Different Bedding Angles

School of Engineering and Technology, China University of Geosciences (Beijing), Xueyuan Road 29, Beijing 100083, China
*
Authors to whom correspondence should be addressed.
Appl. Sci. 2023, 13(24), 13199; https://doi.org/10.3390/app132413199
Submission received: 27 September 2023 / Revised: 4 December 2023 / Accepted: 8 December 2023 / Published: 12 December 2023
(This article belongs to the Special Issue Advances in Slope and Rock Engineering)

Abstract

:
As a typical sedimentary rock, the number of beddings in the horizontal direction of sandstone is far greater than that in the vertical direction, leading to its physical and mechanical properties showing obvious anisotropy with changes in bedding angle. After high temperature exposure, bedding damage further transforms the change rule of the physical and mechanical properties of sandstone with the bedding angle. This study tested the appearance, wave velocity, uniaxial compression, and conventional triaxial compression properties of sandstone with five bedding angles before and after high temperature exposure. The results show that (1) the longitudinal wave velocity, shear wave velocity, elastic modulus, and cohesion decreased, while the internal friction angle increased slightly. At the same temperature, when the dip angle of sandstone was 30° or 60°, the mechanical properties were optimal, and when the dip angle was 45°, the mechanical properties were the worst. (2) High temperature increases the development degree of micropores and microfractures in the sandstone bedding plane and matrix, thus increasing the anisotropy degree of the physical and mechanical properties of sandstone with different bedding angles. (3) With increasing temperature, the rock samples gradually transitioned from brittle failure to ductile failure. Sandstone with a bedding angle of 0° presented splitting failure that vertically penetrated the bedding plane at different temperatures. Sandstone with dip angles of 30° and 40° presented shear failure that penetrated the matrix and bedding plane. A failure plane along the bedding plane appeared at the end. Sandstone with dip angles of 60° and 90° was more prone to failure along the bedding plane, showing shear failure along the bedding plane and tensile failure along the bedding plane, respectively.

1. Introduction

As a good building material, natural stone is widely used in projects such as houses, bridges, and tunnels. Sandstone has the characteristics of easy access, easy processing, good durability, and excellent mechanical properties, and the use of sandstone can be seen in buildings around the world [1,2]. Due to sedimentation and different mineral compositions, sandstone shows different textures and colors, especially layered sandstone, which with its natural texture can show natural artistry in architecture, becoming the first choice for cultural buildings and high-end residences; for example, the Rameswaram temple in southern India, the Indian Parliament building, and the White House in the United States are all sandstone buildings [3,4,5]. However, in the construction and operation of construction projects, fire is a hidden danger that cannot be ignored, and the high-temperature environment caused by fire can significantly deteriorate the physical and mechanical properties of sandstone, affecting the structural stability of the building [6,7]. The study of the physical and mechanical properties of sandstone after high temperature is of great significance for the reconstruction and stability evaluation of buildings after fire.
Many research achievements have been made on determining the influence of high temperature on the physical and mechanical properties of sandstone. Liu et al. [8] analyzed the change in sandstone’s apparent morphology and physical and mechanical properties with temperature after high temperature exposure and believed that 800 °C was the critical temperature for brittle ductile transition of sandstone. Yang et al. [9] studied the physical and mechanical properties and permeability of sandstone after high temperature exposure and found that the threshold temperature for physical and mechanical properties is 400–500 °C. After the threshold temperature, the physical properties (mass, density, and transverse and longitudinal wave velocities) decrease with increasing temperature, while the permeability of sandstone increases nonlinearly with increasing temperature. Ranjith et al. [10], Mahanta et al. [11], and Ding et al. [12] conducted a series of triaxial compression tests on heat-treated sandstone under different confining pressures and studied the influence of temperature and confining pressure on the strength and deformation of sandstone. The results show that when the temperature exceeds 400 °C, the peak strain of sandstone increases, while the elastic modulus and compressive strength decrease with increasing temperature.
However, the research results of different scholars often describe a different change rule for the physical and mechanical properties of sandstone after high temperature exposure. Taking the change trend of the uniaxial compressive strength of sandstone with increasing temperature as an example, in some studies, the uniaxial compressive strength of sandstone decreased gradually with increasing heating temperature, and the strength deteriorated significantly after 600 °C [13,14]. Other research shows that with increasing heating temperature, the uniaxial compressive strength of sandstone first increases and then decreases. In some studies, the strength of sandstone increased before 400 °C and decreased rapidly when the temperature exceeded 400 °C [15,16]. In some studies, sandstone was strengthened before 600 °C or even 800 °C, and then strength degradation occurred [17]. In addition to the different mineral compositions of sandstones, we speculate that the bedding angle of sandstones is also an important influencing factor.
As a typical sedimentary rock, sandstone usually contains many beddings, and the influence of this structure on the physical and mechanical properties of the rock cannot be ignored. Previous studies have shown that the distribution and properties of the bedding structure affect the physical and mechanical properties of sandstone to varying degrees. Zhou et al. [18] and Khanlari et al. [19] studied the anisotropic behavior of sandstones with different bedding angles through uniaxial compression, point load, and Brazilian tests. The test results showed that the anisotropy ratio of sandstone in the uniaxial compression test was lower than that in the point load test and Brazilian test. Yin and Yang [20] conducted uniaxial compression and Brazilian tests to study the mechanical response of sandstones with different bedding angles. The test results showed that the compressive strength and elastic modulus changed in a U-shape with increasing bedding angle, while the tensile strength decreased with increasing bedding angle.
At present, there are few experimental research results on the influence of high temperature on the physical and mechanical properties of sandstone with different bedding angles, and the change rules of the physical and mechanical properties of sandstone after high temperature exposure reported by different scholars are also different. Therefore, through a series of physical and mechanical properties tests of sandstone with different bedding angles before and after high temperature exposure, (i) the change rule of its microstructure and the physical properties (color, mass, volume, density, wave velocity) of the sample after heat treatment were analyzed. (ii) We analyzed the mechanical properties (elastic modulus, compressive strength, cohesion, internal friction angle, and failure mode) of sandstone with different bedding angles after high temperature. (iii) The results reveal the control mechanism of temperature and bedding on the physical and mechanical properties of sandstone after high temperature exposure. The influence of high temperature on the anisotropy of the physical and mechanical properties of sandstone is discussed. As a typical sedimentary rock, sandstone usually has a bedding structure and obvious anisotropy. The directional mineral expansion in the bedding under high temperature has obvious directionality. The research results are of great significance for improving the damage rule of high temperature on the physical and mechanical properties of sandstone in the directions of different bedding angles and scientifically guiding the construction of high-temperature rock mechanics-related projects.

2. Sample Preparation and Test Procedures

Sandstone with clear horizontal bedding was taken as the research object in the test. All samples were taken from the same sandstone mined by a stone factory in Qingdao, Shandong Province, China. The samples appeared purple-grey and grey-white in color, and the weathering degree was low. The mineral composition is mainly feldspar, quartz, clay minerals (such as kaolinite, illite, etc.), and iron-bearing minerals. The average density was 2.63 g/cm3, and the average longitudinal wave velocity approximately 4598 m/s. Different directions of this sandstone were drilled to obtain rock samples with different bedding dip angles of 0°, 30°, 45°, 60°, and 90° (Figure 1) (β is the angle between the bedding plane and horizontal direction). The test samples were processed into 360 standard cylinder samples with a diameter of 50 mm and a height of 100 mm (ISRM 2007).
Considering the general temperature in high-temperature geological environments such as underground coal gasification (800–1100 °C), burnt rock in coal field geology (up to 2000 °C), geothermal resource development, underground rock engineering encountering fires, and existing laboratory testing equipment and site conditions, a heating temperature range from 25 °C (original state) to 1000 °C was selected. The heating gradient was 200 °C, with a total of five gradients, including six temperature settings: 25 °C, 200 °C, 400 °C, 600 °C, 800 °C, and 1000 °C. Based on the common burial depth of sandstone in rock engineering, 15 MPa was set as the upper limit of the confining pressure, and uniaxial compression tests and triaxial compression tests were conducted with confining pressures of 5 MPa, 10 MPa, and 15 MPa.
The instruments and equipment used in this test included an electronic balance (precision 0.001 g), Vernier calliper (precision 0.02 mm), color analyzer (TES-135A comes from Beijing, China), ultrasonic detector (Pundit-PL200PE comes from Beijing, China, 250 kHz), high-temperature furnace (SG-XL1200 comes from Beijing, China, maximum temperature 1200 °C, precision ± 3 °C), and mechanical testing machine (HSW-1000B comes from Beijing, China).
The test process was as follows: the rock sample was placed at room temperature under ventilation for 2 weeks to eliminate the influence of natural moisture content. The rock samples were put into the high-temperature furnace for heat treatment according to the designated temperature groups. The heating rate was 3 °C/min, and the temperature was kept constant for 2 h after being heated to the target temperature. After the power was turned off, the rock samples were naturally cooled to room temperature in the furnace; chromaticity tests, wave velocity tests, and uniaxial and triaxial compression tests were conducted on the rock samples after high-temperature treatment, and photos of the damaged sample morphology were taken.

3. Test Results

The test results include (1) changes in the appearance of rock samples, (2) changes in longitudinal wave velocity and shear wave velocity, (3) stress-strain relationship, (4) changes in compressive strength and elastic modulus, (5) changes in cohesion and internal friction angle, (6) anisotropy change, and (7) failure mode.

3.1. Appearance Change of the Rock Sample

The type and content of minerals in rocks determine their color. The color can be used to judge the transformation of rock minerals with temperature. The chromaticity measurement was used to accurately quantify the change in sandstone surface color with heating temperature. The test basis is shown in the CIELab uniform color coordinate system (Figure 2), and the roughness, knocking sound, and other appearance forms of sandstone heated to various temperatures were recorded.
In the CIELAB coordinate system, L, a *, and b * values represent the brightness, red–green chroma, and yellow–green chroma of a color, respectively. The larger the L value is, the higher the brightness of the color. An L value of 0 is black, and 100 is white. The value of a is between −80 and 100. When a > 0, the color is red, and the larger the value of a is, the redder the color. When a < 0, it indicates that the color is green. The b value is also between −80 and 100, where b > 0 is yellow, and b < 0 is cyan. ∆E is the total color difference, and the calculation method is shown in Formula (1).
Δ E = ( Δ L ) 2 + ( Δ a ) 2 + ( Δ b ) 2
The appearance and morphology changes of sandstone samples before and after heating are shown in Figure 3. When the sample was not heated, the color was purple, the knocking sound was clear, and the surface was smooth. After heating to 200 °C, the color became slightly white, the knocking sound was crisp, and the surface was smooth. After heating to 400 °C, the color became slightly red, the knocking sound became turbid, and the surface was smooth. After heating at 600 °C, the overall color changed from purple to red, the knocking sound became turbid, and the surface was rougher than before. After heating to 800 °C, the red color was lighter than that at 600 °C, black matter appeared locally (it is speculated that this was the surface of dark minerals melting and precipitating), the knocking sound was turbid, the surface was rougher, and particles were difficult to rub down. After heating to 1000 °C, the red color was deeper than that at 800 °C, the black matter disappeared, the knocking sound was very muddy, the surface was very rough, and particles could be rubbed off.
Table 1 shows that with increasing temperature, the L value increased slowly, from 54.30 at 25 °C to 60.98 at 1000 °C, indicating that the color brightness of the sandstone gradually increased and became brighter. The change trends of the a and b values are similar. With increasing temperature, the a and b values first slowly increased at 25~200 °C and 200~400 °C, then sharply increased at 400~600 °C, but decreased at 600~800 °C, and finally slightly increased at 800~1000 °C. The change rule of the total color difference ∆E is similar to that of a and b, which increased with increasing temperature, decreased slightly at 800 °C, but increased to a maximum at 1000 °C.
With increasing temperature, the L value increased (the appearance turned white) because the calcium oxide generated by the thermal decomposition of calcite on the surface of sandstone reacted with the water in the air to produce white calcium hydroxide. The values of a (red) and b (yellow) at 600 °C and above were significantly higher than those at room temperature because the iron ions of sandstone iron-bearing minerals are oxidized to Fe3+ and turn red at 600 °C and above. The values of a and b at 800 °C were slightly lower than those at 600 °C. This is because Fe and Mg ions released from the melting of some sandstone cements near 800 °C deepened the melt color and darkened the sandstone surface. For sandstone at 800~1000 °C, the values of a and b increased slowly, suggesting that the relative content of Fe3+ compounds increased again.

3.2. Ultrasonic Velocity Change

As shown in Figure 4, assuming that the matrix quantity of all rock samples and the horizontal thickness of each matrix were the same, the thickness of the matrix in the axial direction was also different for sandstones with different bedding dip angles. The relationship between the horizontal thickness of the matrix and the axial thickness of the matrix under different dip angles is shown in Formula (2):
d = l cos β
where l is the horizontal thickness of the matrix, d is the axial thickness of the matrix, and β is the angle between the matrix and the horizontal line.
According to the formula, d increases with the increasing bedding dip angle, and the change rate within the range of β = 45~90° is greater than that within the β = 0~45° interval. Since the height of the sample is fixed, if the thickness of the matrix distributed in the axial direction is larger, the thickness of the bedding plane distributed in the axial direction is smaller.
By measuring the P-wave velocity (vp) and S-wave velocity (vs) of sandstone with different bedding angles, the change rate of the vp and vs waves of the sandstone can be calculated according to the formulas defining ηp and ηs:
η p = v p T v p 0 v p 0 × 100 %
η s = v s T v s 0 v s 0 × 100 %
where vpT and vsT represent the P- and S-wave velocities, respectively, of sandstone samples after heat treatment at different temperatures. vp0 and vs0 are the corresponding P- and S-wave velocities of sandstone samples at room temperature.
The change rule of ηp with temperature is shown in Figure 5a. With increasing temperature, the P-wave velocity of sandstone shows a significant downwards trend. When T < 400 °C, it can be observed that the vp of sandstone decreases slightly, and ηp is approximately 10%. As the temperature continues to rise, vp decreases rapidly, showing a fast-decreasing trend. When T = 600 °C, ηp reaches approximately 45%, and when T = 1000 °C, ηp is close to 70%. Temperature has a significant reduction effect on the P-wave velocity of sandstone.
Figure 5b and Figure 6b show that at the same temperature level, the ultrasonic velocity of sandstone generally increased with the increasing bedding dip angle. When β = 60° and 90°, the ultrasonic velocity of sandstone was obviously higher than that of sandstone with other bedding dip angles. It can be seen from Figure 5a and Figure 6a that the wave velocity variation trend with temperature can be divided into two groups. When β = 0°, 30° and 45°, the ultrasonic velocity curve trend with temperature is similar, and when β = 60° and 90°, the wave velocity change curve is relatively similar because the distance of ultrasonic wave propagation in the matrix is relatively small in the sandstone with two bedding angles. When β = 0°, 30°, and 45°, it is obviously larger, and the ultrasonic velocity is faster.

3.3. Stress-Strain Curve

Figure 7 shows the axial stress-strain curves of sandstone samples with different bedding directions after heat treatment at different temperatures under uniaxial and triaxial compression. These stress-strain curves show similar changes, including the compaction stage, linear elastic deformation stage, unstable crack growth stage, and failure stage. Because the stress-strain curves of sandstone with the same dip angle and different temperature treatments are basically the same, and the stress-strain curves of sandstone with different dip angles and the same temperature level are basically the same, only part of the curve has been selected for analysis in this paper. Figure 7 shows that the shape and deformation characteristics of the sandstone stress-strain curve are jointly controlled by the temperature and bedding dip angle.
Figure 7a shows the change in the stress-strain curve of sandstone with the same bedding dip angle after treatment at different temperature levels. For sandstone with the same bedding angle, when T = 200 °C, the peak position of the stress-strain curve shifts slightly, but the shape does not change significantly, indicating that the temperature of 200 °C slightly affected the strength of the sandstone, but the effect is not significant. When T = 400 °C and 600 °C, the stress-strain curve of the sandstone showed significant changes at each deformation stage compared with T = 200 °C, indicating an increase in peak stress and peak strain, an extension of the pore compaction stage, indicating that temperature increased the strength of the sandstone, but at the same time, the sample exhibited many cracks under the influence of high temperature. When T = 800 °C, the peak strain of the sandstone further increased, the peak strength decreased, the pore compaction stage was further prolonged, and the elastic stage shortened, indicating that the temperature caused the internal cracks of sandstone to develop more, and the peak strength of sandstone decreased. When T = 1000 °C, compared with the normal temperature state, the stress-strain curve of sandstone has a significant reduction in peak stress and strain softening. After the rock sample reached the peak stress, the stress drop rate slowed significantly, and the axial strain continued to grow slowly during the drop process, indicating that the temperature makes the internal cracks of sandstone develop and connect with each other, leading to a significant reduction in the strength of the sandstone.
Figure 7b shows that the sandstone stress-strain curves at the same temperature level with different bedding dip angles are also different. When T = 25 °C, compared with other bedding dip angles, the stress of β = 45° sandstone decreased before reaching the peak value, indicating that the rock sample was partially damaged along the bedding plane before complete failure. When T = 200 °C, sandstones with all bedding dip angles showed typical plastic elastic stress-strain curves. When the rock sample reached the peak strength, obvious brittle failure occurred, and the stress rapidly decreased. The elasticity and strength of sandstone at β = 60° and 90° are obviously better than those of sandstone with other bedding dip angles. When T = 400 °C and 600 °C, the stress of β = 45°, 60°, and 90° sandstones decreased before the peak strength, indicating that the bedding direction of the rock sample was partially destroyed before reaching the peak stress, and the influence of the bedding angle was increased. When T = 800 °C and 1000 °C, the difference in sandstone stress-strain curves with different bedding angles becomes obvious, the porosity compaction stage, elastic stage, and crack development stage of the stress-strain curve of β = 0°, 30°, and 45° sandstone were relatively prolonged compared to sandstone at β = 60° and 90°, and the peak strain and peak strength of the sandstone decreased with the increasing dip angle.

3.4. Change in Compressive Strength and Elastic Modulus

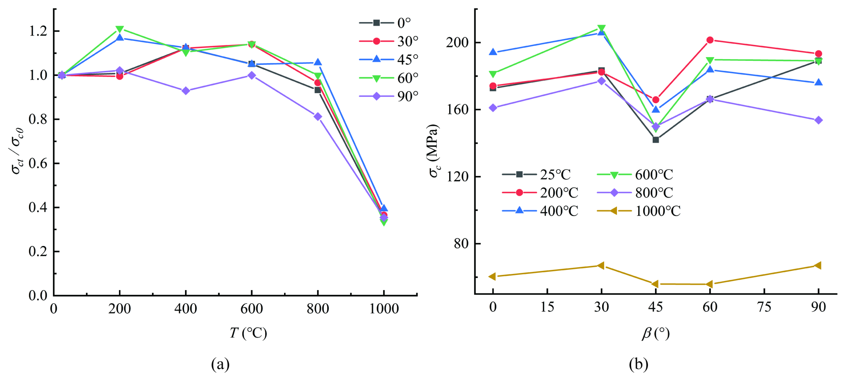
To more intuitively reflect the influence of temperature on the physical and mechanical properties of sandstone, this paper introduces the normalized value according to the mechanical parameters of sandstone obtained from the test. That is, the uniaxial compressive strength of bedding sandstone at room temperature (σc0), elastic modulus (E0), internal friction angle (φ0), and cohesion (c0) is taken as the initial value, and the ratio of the corresponding physical and mechanical parameters of rock samples treated at different temperatures to the initial value is taken as the normalized value after high-temperature treatment to obtain the dimensionless uniaxial compressive strength (σct/σc0), elastic modulus (Et/E0), internal friction angle (φt/φ0), and cohesion (ct/c0).
As shown in Figure 8a, the change trend of the compressive strength of sandstone at different bedding angles can be divided into three cases: (1) At β = 0° and 30°, when T < 200 °C, the compressive strength of sandstone shows little change. When the heating temperature is between 200 °C and 600 °C, the compressive strength is higher than that at room temperature, and the strength of sandstone increases. When T ≥ 600 °C, the compressive strength starts to decrease. When T ≥ 800 °C, the strength deteriorates significantly, and the compressive strength decreases rapidly. (2) At β = 45° and 60°, the compressive strength of sandstone under heating conditions below 800 °C is higher than that at room temperature, and the maximum compressive strength is at T = 200 °C, which indicates that the mechanical properties of sandstone have been strengthened under high-temperature conditions. A heating temperature of approximately 200 °C has the most obvious effect on sandstone strengthening. Although heating conditions of 400–600 °C caused obvious physical and chemical changes in the interior of sandstone, in general, the influence on the compressive strength of the sandstone with two bedding dip angles is benign. When T > 800 °C, the compressive strength of sandstone decreases rapidly at β = 0° and 30°. (3) When the temperature is 90°, the compressive strength of sandstone under heating conditions of T < 600 °C shows little change compared with that at room temperature, and it only decreases slightly when T = 400 °C, reducing by approximately 8%. When T > 600 °C, the compressive strength of sandstone starts to decrease significantly. When T = 800 °C, it decreases by approximately 20%. When T = 1000 °C, the strength of sandstone decreases rapidly. The influence of temperature on the compressive strength of sandstone with different bedding angles can be summarized as follows: a heating temperature below 800 °C will increase or keep the compressive strength of sandstones with different bedding angles unchanged, but when T > 800 °C, the strength of sandstone with all bedding angles decreases rapidly, and when T > 100 °C, the strength decreases to 40% at room temperature. Figure 8b shows the change trend of the sandstone’s compressive strength with increasing dip angle under the same heating conditions. Under any heating temperature in this experiment, the compressive strength of sandstone at β = 45° was the minimum, and the maximum compressive strength generally occurred at β = 30° and 60°.
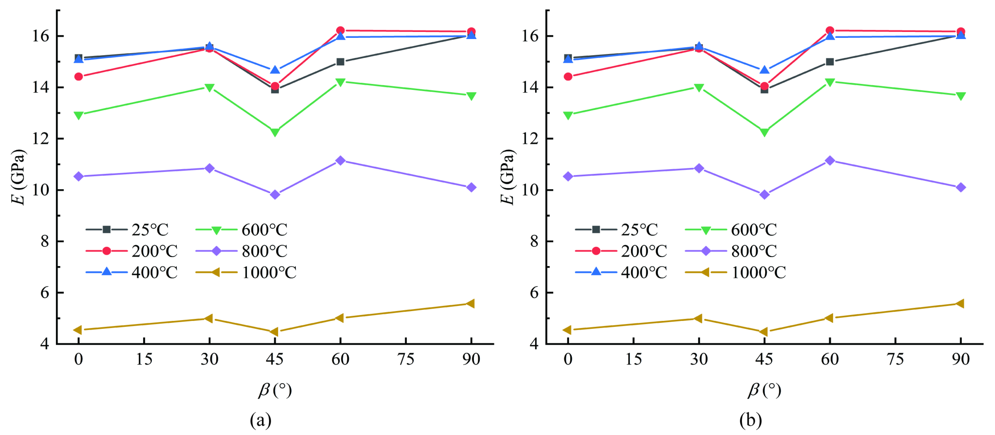
Compressive strength testing was conducted on high-temperature layered sandstone and the obtained parameters were normalized. The elastic modulus was calculated according to the stress-strain curve of the mechanical compression test for each sample. The average elastic modulus was used as the elastic modulus, that is, the slope of the nearly straight line (elastic stage) on the stress-strain curve of the sample. As shown in Figure 9a, the variation trend of the elastic modulus of sandstone with different bedding angles can also be divided into three cases: (1) When the temperature is below 400 °C, the elastic modulus of sandstone decreases slightly at β = 0° and 30 °C. When T > 400 °C, the elastic modulus of sandstone starts to decrease, and the higher the heating temperature is, the faster the elastic modulus decreases. (2) When β = 45°, the elastic modulus of sandstone is basically unchanged at T = 200 °C, while at T = 400 °C, the elastic modulus increases and is higher than that at room temperature. Similarly, when T > 400 °C, the elastic modulus of sandstone decreases, which can be observed in Figure 9a. In the temperature range of 400–600 °C, the decrease rate of the elastic modulus of β = 45° sandstone is higher than that at 600–800 °C, which indicates that more fractures developed and connected in the sandstone during the temperature rise of 400–600 °C [21]. (3) When β = 60° and 90°, a heating temperature below 400 °C increases the elastic modulus of sandstone, which is more obvious at β = 60°, and the elastic modulus increases by approximately 9% compared with that at room temperature. A heating temperature above 400 °C makes the elastic modulus of sandstone decrease rapidly, and the decreasing rate is higher than β = 0° and 30° because the matrix of sandstone is relatively thicker in the axial direction when β = 60° and 90°. It can be inferred that in this experiment, the crack development and penetration phenomenon caused by high temperature exposure were more likely to occur in the matrix.
The change trend of the elastic modulus of rock samples with different bedding dip angles is relatively consistent with temperature, and it is generally shown that when T < 400 °C, the elastic modulus changes little and may increase, decrease, or remain unchanged. When T > 400 °C, the elastic modulus of rock samples with all bedding dip angles decreases rapidly. When T = 1000 °C, the elastic modulus only reached 30% at room temperature. Figure 9b shows the change trend of the sandstone’s elastic modulus with the dip angle at the same heating temperature level, and the minimum value of the elastic modulus usually appears at β = 45°. When the heating temperature is 600 °C and below, the elastic modulus of the β = 30° and 60° rock samples is obviously higher than that of the rock samples with other bedding dip angles. When T > 600 °C, except for the small elastic modulus of sandstone at β = 45°, the elastic modulus of rock samples with other bedding dip angles shows little difference.

3.5. Cohesion and Internal Friction Angle

According to the Mohr Coulomb criterion and the stress-strain curve of sandstone under triaxial compression, the cohesion and internal friction angle of sandstone can be calculated from the following formula:
σ 1 = 1 + sin φ 1 sin φ σ 3 + 2 c cos φ 1 sin φ
where σ1 and σ3 are the maximum principal stress and the minimum principal stress, respectively, and c and φ are the cohesion angle and internal friction angle, respectively.
Figure 10 and Figure 11 show the change rule of sandstone cohesion and internal friction angle with temperature at different bedding angles. It can be seen from the figure that the sandstone cohesion generally increases first and then decreases with temperature. When T = 200 °C, except for β = 30°, the cohesion of sandstone decreases slightly, and that of sandstone at the other four dip angles increases slightly compared with that at T = 25 °C. When T = 400 °C, the cohesion of β = 30° sandstone increases slightly, and the cohesion of sandstone in the other four groups of dip angles decreases to different extents. When T = 600 °C, the cohesion of β = 60° sandstone is increased and that of the other four groups of dip angle is decreased slightly. When T = 800 °C, the cohesion phases of sandstone in the five sets of dip angles decrease significantly compared with that at low temperature. When T = 1000 °C, the cohesion of all samples decreases to approximately 33% of the original state, indicating that thermal damage has a serious deteriorative effect on the bond strength of sandstone at this time.
The internal friction angle of sandstone decreases first, then increases, and then decreases with temperature. When T = 200 °C, the internal friction angle of 45°, 60°, and 90° sandstone decreases, and the internal friction angle of 0° and 30° sandstone increases slightly. After heating to 400 °C, 600 °C and 800 °C, the internal friction angle of sandstone at each bedding dip angle continuously increases and reaches a maximum at T = 800 °C. After heating to 1000 °C, the internal friction angle of sandstone decreases slightly, but its size is still larger than that of the original state.
When T < 600 °C, the change trend of sandstone cohesion with bedding dip angle is relatively close; the cohesion is minimal at β = 45°, except for the sandstone at T = 200 °C, the cohesion is maximal at 60°, and the others are maximal at β = 30°. When T > 600 °C, the cohesion does not change obviously with the increasing bedding dip angle.

3.6. Effect of Temperature on Sandstone Anisotropy

To quantitatively judge the degree of anisotropy of rock strength, J Singh et al. (1989) proposed the concept of the “anisotropy degree”, that is, the ratio of the maximum compressive strength when the bedding angle is 0° or 90° to the minimum compressive strength when the bedding angle is between 0° and 90°. Using a similar idea, we can define and calculate a series of anisotropy degrees of sandstone’s physical and mechanical parameters:
R s = S m a x S m i n
where Rs is the anisotropy of mechanical parameters such as the elastic modulus, peak stress, internal friction angle, and cohesion of rock samples. These are obtained by dividing the maximum and minimum values of mechanical indices at various temperatures.
Figure 12a shows the variation law of Rp and Rs of sandstone with temperature. It can be seen from the figure that Rp increases gradually with temperature. When T = 600 °C and T = 800 °C, the anisotropy is relatively close. It can be speculated that the temperature increase has an amplification effect on the anisotropy of the sandstone’s P-wave velocity. The S-wave anisotropy degree Rs of sandstone also shows an overall increasing trend with increasing temperature, but the trend is gentler than that of the P wave. When T < 400 °C, the temperature has no obvious effect on the S-wave anisotropy of sandstone. When the temperature rises from 400 °C to 600 °C, Rs rapidly increases, but as the temperature continues to rise, Rs decreases when T = 800 °C compared with 600 °C, and the Rs of sandstone reaches the maximum value when T = 1000 °C. This shows that the temperature can amplify the anisotropy of the S-wave velocity of sandstone as a whole, but when T = 800 °C, Rs decreases more than when T = 600 °C and 1000 °C.
Figure 12b shows the change rule of the degree of anisotropy of the sandstone’s mechanical index with increasing temperature. It can be seen from the figure that with increasing temperature, Rσ increases initially, then decreases, and then increases again. Temperatures below 400 °C have no obvious effect on the anisotropy of sandstone, and the sandstone undergoes almost no change. When the temperature rises to 400 °C, Rσ rapidly increases, which indicates that the temperature range of 400~600 °C has a relatively obvious enhancement effect on sandstone anisotropy. As the temperature continues to rise, reaching 800 °C and 1000 °C, Rσ is significantly lower than that at room temperature, and it is speculated that temperatures above 800 °C will weaken the peak stress anisotropy of sandstone.
The influence of temperature on RE fluctuates greatly. It can be seen from the figure that the RE of sandstone fluctuates once every 200 °C temperature interval, but the RE of sandstone samples after high temperature treatment is basically greater than the value under room temperature. Most high-temperature conditions can improve the anisotropy of the sandstone elastic modulus.
Although there is slight fluctuation of Rφ in the whole temperature range, there is no significant change overall. Rc generally decreases with increasing temperature, but it suddenly changes at 600 °C and reaches a maximum. This is due to the phase transformation of quartz, the detachment of clay minerals, the destruction of crystal lattice, and the oxidation of divalent iron to trivalent iron in iron-containing minerals, resulting in a significant increase in thermal damage to sandstone.

3.7. Failure Mode

The failure mode is affected by the temperature, bedding angle, and confining pressure. With increasing temperature, it is obvious that the failure mode of rock samples with the same bedding angle changes from brittle failure to ductile failure [8,12,22,23]. Although the five groups of bedding angle samples basically exhibited shear failure, the failure mode still changed with increasing bedding angle.
From Figure 13, it can be seen that under uniaxial compression, the rock sample at β = 0° was basically split through the bedding plane vertically, the middle part of the sample had a tendency to lateral bulging at higher temperatures, and cracks developed along the bedding plane. The rock sample at β = 30° exhibited shear failure that passed through the matrix and bedding plane, and the lateral bulge was not obvious at lower temperatures. At higher temperatures, there was a failure trend of a lateral bulge in the middle of the sample, which made the rock sample break along the bedding plane. The rock sample at β = 45° exhibited shear failure that passed through the matrix and bedding plane. The end of the sample was relatively broken due to stress concentration at low temperature, while the lateral bulge in the middle of the sample was not obvious. The end of the sample was not obviously broken and the lateral bulge was not obvious at high temperature. The β = 60° rock sample included a shear failure that ran through the whole sample along the bedding plane. The end of the sample was obviously broken due to the stress concentration, and the middle part of the sample showed a failure trend of lateral bulging at higher temperatures. This failure caused cracks to develop along the bedding plane of the rock sample. The rock samples at β = 90° were fractured along the bedding plane, and the lateral bulge and end crushing were not obvious.
From Figure 13, it can be seen that under low confining pressure, the failure mode of the β = 0° rock sample at various temperatures was matrix-controlled splitting tensile failure through the matrix and bedding plane. The failure mode of the β = 30° rock samples at 25–800 °C was matrix-controlled composite tensile shear failure through the matrix and bedding plane. At 1000 °C, the failure mode was composite tensile shear failure of the local bedding plane and local crossbedding plane jointly controlled by the matrix and bedding plane. At 25–800 °C, the failure mode of the rock samples at β = 45° was composite tensile shear failure of the local bedding plane and local cross-bedding plane jointly controlled by the matrix and bedding plane. At 1000 °C, the failure mode was shear failure of a single shear section through the matrix and bedding plane, jointly controlled by the matrix and bedding plane. The failure mode of the β = 60° rock samples at various temperatures was shear slip failure along the bedding plane controlled by the bedding plane. The failure mode of the β = 90° rock samples at various temperatures was tensile splitting failure controlled by the bedding plane along the bedding plane. This is because micropores and microcracks are densely distributed near the bedding plane, and under low confining pressure, the degree of closure of micropores and fractures on the bedding plane is relatively low. The degree of anisotropy in the mechanical properties of sandstone was not significantly weakened. The cohesion of sandstone reaches its minimum value when the bedding angle is 45 ° or 60 °, resulting in a more complex final failure mode.
Under high confining pressure, the failure mode of β = 0° rock samples at various temperatures was matrix-controlled shear failure through the bedding plane and matrix. The failure mode of β = 30° rock samples at various temperatures was matrix-controlled shear failure through the bedding plane and matrix, and the failure plane basically ran through the whole sample. The failure mode of the β = 45° rock sample at various temperatures was shear failure controlled by the bedding plane and the matrix through the bedding plane and the matrix, and the failure plane basically ran through the whole sample. The failure mode of β = 60° rock samples at various temperatures was shear slip failure along the bedding plane controlled by the bedding plane, and the failure plane ran through the whole sample. The failure mode of β = 90° rock samples at various temperatures was composite tensile shear failure of the local bedding plane controlled by the matrix and bedding plane and local cross-bedding plane and matrix.

4. Discussion

4.1. Relationship between the Anisotropy of Physical and Mechanical Properties of Sandstone and Changes in Mineralogy and Microstructure

Based on previous studies [24,25], the change in sandstone is divided into four stages according to temperature to discuss the relationship between the anisotropy of the physical and mechanical properties of sandstone and the change in mineralogy and microstructure after high-temperature heating.
(1)
Room temperature to 400 °C
With increasing temperature, the free water and weakly bound water in the sandstone are lost, and the internal cracks in the sandstone develop and expand [26]. However, due to the high temperature, the mineral particles expand and squeeze each other, and the cracks become compressed or even disappear [17,27]. The loss of water and the reduction in fractures will lead to a decrease in sandstone quality, an increase in sandstone volume, and an increase in UCS and internal friction angle. At the same time, the propagation speed of the wave velocity in air is lower than that in liquid. Therefore, with increasing temperature, the wave velocity of sandstone decreases. Due to the difference in mineral composition between the bedding plane and sandstone matrix, the number of cracks developed along the bedding plane is greater than in the rock matrix, which increases the influence of bedding angle on the physical and mechanical properties of sandstone, leading to an increase in wave velocity, elastic modulus, and strength anisotropy.
(2)
400 °C to 600 °C
At this temperature stage, the first phase transformation of quartz (quartz lattice structure change, volume expansion), thermal expansion of feldspar, dehydroxylation of clay minerals, and oxidation of iron-bearing minerals in sandstone mainly occur. The phase transformation of quartz and the uneven expansion of minerals lead to the development and expansion of a large number of intergranular cracks. However, at this stage, clay minerals such as kaolinite and illite begin to decompose and remove structural water, the particle surface becomes rough, the particle structure is unstable, and the connection is weakened. Some of the decomposition products may slip and fall into the intergranular cracks during the process of sandstone transport vibration and axial loading, so the strength of the sandstone is not significantly reduced. However, due to the large increase in cracks, the internal friction angle of the sandstone increases, and the wave velocity, elastic modulus, and cohesion decrease rapidly. At the same time, under the action of temperature, the number of fractures developing along the bedding further increases, and the anisotropy of the physical and mechanical properties of sandstone rapidly increases.
(3)
600 °C to 800 °C
A large number of oxidized particles containing Fe and Al peel out from the sandstone and sinter with feldspar, quartz, etc., to form eutectic crystal particles that fill into larger cracks. When the sandstone is loaded, these eutectic crystal particles play a role in increasing the contact area and friction of mineral particles. The compressive strength of sandstone is improved to a certain extent [28,29,30]. Combined with the change curve of the longitudinal wave velocity, peak deviatoric stress, and elastic modulus, the longitudinal wave velocity and elastic modulus of the sandstone decrease significantly after heating at 800 °C, but the peak deviatoric stress does not decrease significantly, indicating that thermal damage, such as the development of microfractures, the increase in pores and the damage of the particle skeleton in sandstone, are relatively serious but have little impact on the strength of the sandstone. At this temperature stage, the internal cracks of sandstone are interconnected to form a dense fracture network, which leads to a reduction in the anisotropy of the sandstone.
(4)
800 °C to 1000 °C
At this stage, the decomposition of carbonate minerals and clay minerals, the second phase transformation and expansion of quartz, and the melting and sintering of feldspar in sandstone mainly occur. The mineral composition and particle structure continue to change. Pores form by gas escaping from the sandstone, and the intergranular cracks and transgranular cracks formed by particle extrusion are extremely developed. Feldspar melts and sinters to form a glaze, and the friction coefficient between particles is reduced. In terms of the physical properties, the mass and density further decrease, the volume increases, the brightness continues to increase, and the wave velocity continues to decrease. Regarding the mechanical properties, the compressive strength and elastic modulus significantly decrease, and the cohesion and internal friction angle decrease.

4.2. Comparison with Other Studies

Based on a review of the available research on the changes in the physical and mechanical properties of sandstone after high temperature exposure, the test results of sandstone with different bedding angles in this paper were compared with those in other studies. Due to the limitations of physical properties such as the mass, volume, and density of sandstone after high-temperature treatment and the data of mechanical properties under triaxial conditions in the literature, we selected only the longitudinal wave velocity, uniaxial compressive strength, and elastic modulus for comparison, which was facilitated by normalizing the data.
The two change trends of the sandstone’s longitudinal wave velocity and elastic modulus with increasing temperature can be seen in Figure 14a,c: ➀ The temperature of the sandstone’s longitudinal wave velocity and elastic modulus below 400 °C shows a slow declining trend, and when the heating temperature exceeds 400 °C, the longitudinal wave velocity and elastic modulus rapidly decrease (as shown in this article for β = 0° and 30° sandstone); ➁ The longitudinal wave velocity and elastic modulus of the sandstone increase below 400 °C. When the heating temperature is higher than 400 °C, the longitudinal wave velocity and elastic modulus decrease rapidly (as in this paper for β = 45°, 60°, and 90° sandstone).
The change trend with temperature of the uniaxial compressive strength of sandstone can be divided into three types, as shown in Figure 14b: ➀ The uniaxial compressive strength of sandstone at temperatures below 400 °C increases with temperature, and when the temperature rises to 600 °C, the strength of sandstone decreases (as shown in this paper for β = 0° sandstone). ➁ Under heating conditions of 200 °C, the uniaxial compressive strength of sandstone is obviously improved, and the strength gradually decreases with increasing temperature (as in this paper for β = 45° sandstone). ➂ The uniaxial compressive strength of sandstone increases at 200 °C, decreases slightly at 400 °C, and increases again at 600 °C (β = 60° and 90° sandstone).
Through the extraction and collation of the test data available in previous studies and the comparison with the experimental results in this paper, we found that the change laws of the sandstone’s longitudinal wave velocity, uniaxial compressive strength, and elastic modulus with temperature reported by different scholars can find a better corresponding relationship with the change trend summarized in this paper. The specific results are shown in Table 2. Therefore, we believe that in the various studies on sandstone longitudinal wave velocity, the difference in uniaxial compressive strength and elastic modulus with temperature is caused by the different angles between the sampling direction and bedding plane, and the bedding angle affects the change trend of these physical and mechanical indices.

5. Conclusions

In this paper, a series of physical and mechanical tests were carried out on sandstone with different bedding angles after high-temperature treatment, and the changes in its physical and mechanical properties were studied and analyzed. The following conclusions can be drawn:
(1) High temperature changes the appearance characteristics of sandstone. With increasing temperature, the sandstone changed from purple-grey to red at normal temperature, the surface changed from smooth to rough, and the knocking sound changed from crisp to dull. With increasing temperature, the uniaxial compressive strength of sandstone with the same bedding angle increased first and then decreased, the longitudinal wave velocity, shear wave velocity, elastic modulus, and cohesion decreased, and the internal friction angle slightly increased.
(2) For sandstone with different bedding angles, the physical and mechanical properties show obvious anisotropy. Under the same temperature conditions, the wave velocities of sandstone with bedding angles of 60° and 90° were significantly higher than those of sandstone with other dip angles. When the bedding angles were 30° and 60°, the mechanical properties of the sandstone were better. When the bedding angle was 45°, the mechanical properties of sandstone were the worst compared with other dip angles. After temperature treatment at 800 °C and above, the deterioration rate of the mechanical properties of sandstone with bedding dip angles of 60° and 90° was significantly higher than that of sandstone with other bedding dip angles, indicating that the mechanical properties of sandstone with these two bedding dip angles were greatly affected by temperature at this temperature level.
(3) High temperature increases the development degree of micropores and microfractures in the sandstone bedding plane and matrix [21], thus increasing the anisotropy degree of the mechanical properties of sandstone with different bedding angles. With increasing heating temperature, the anisotropy of the uniaxial compressive strength and elastic modulus of the rock samples increased, the degree of anisotropy of cohesion decreased, and the degree of anisotropy of the internal friction angle changed little.
(4) The failure mode of sandstone is closely related to bedding dip, temperature, and confining pressure. With increasing confining pressure, the cracks inside the rock sample were compressed, and the failure mode of the rock sample changed to shear failure. With increasing temperature, the rock sample gradually transitioned from brittle failure to ductile failure. At higher temperatures, the middle part of the sample had a tendency to lateral bulge failure, and cracks developed along the bedding plane. At various temperature levels, the sandstone with bedding dip angles of 60° and 90° was destroyed along the bedding plane, and the bedding dip angle was the main factor controlling the destruction of sandstone with these two bedding dip angles.
For sandstone with different bedding angles, high temperatures increases the development of micropores and microcracks in the sandstone layer and matrix. After treatment at temperatures of 800 °C and above, the mechanical property degradation rate of sandstone with 60° and 90° bedding angles was significantly higher than that of sandstone with other bedding angles. It is necessary to pay attention to sandstone’s safety and stability in engineering applications.

Author Contributions

Conceptualization, Y.Q. and N.X.; methodology, Y.Q. and N.X.; software, Y.Q. and W.C.; validation, Y.Q. and N.X.; formal analysis, Y.Q. and W.C.; investigation, Y.Q. and W.C.; resources, Y.Q. and N.X.; data curation, Y.Q. and L.W.; writing—original draft preparation, Y.Q. and L.W.; writing—review and editing, Y.Q. and N.X.; visualization, Y.Q. and W.C.; supervision, Y.Q. and N.X.; project administration, Y.Q. and W.C.; funding acquisition, N.X. All authors have read and agreed to the published version of the manuscript.

Funding

This research was funded by “Urban geological environment and engineering” high-precision discipline construction project and National Natural Science Foundation of China (NSFC) under grant no. 42230709 with the title “Mechanism and prevention methods of tunnel disaster induced by long-term deformation of rock strata in mining-induced subsidence zone”.

Institutional Review Board Statement

Not applicable.

Informed Consent Statement

Not applicable.

Data Availability Statement

The data presented in this study are available upon request from the corresponding author. The data are not publicly available due to the conduct of additional research based on the same dataset.

Acknowledgments

The authors thank the “Urban geological environment and engineering” high-precision discipline construction project and National Natural Science Foundation of China (NSFC) under Grant No. 42230709.

Conflicts of Interest

The authors declare no conflict of interest.

References

  1. Medici, G.; West, L.J. Reply to discussion on ‘Review of groundwater flow and contaminant transport modelling approaches for the Sherwood Sandstone aquifer, UK; insights from analogous successions worldwide’ by Medici and West. Quart. J. Eng. Geol. Hydrogeol. 2023, 56, qjegh2022-097. [Google Scholar] [CrossRef]
  2. Yates, P.G.J. The material strength of sandstones of the Sherwood Sandstone Group of north Staffordshire with reference to microfabric. Q. J. Eng. Geol. 1992, 25, 107–113. [Google Scholar] [CrossRef]
  3. Liu, Z.; Yao, Q.; Kong, B.; Yin, J. Macro-micro mechanical properties of building sandstone under different thermal damage conditions and thermal stability evaluation using acoustic emission technology. Constr. Build. Mater. 2020, 246, 118485. [Google Scholar] [CrossRef]
  4. Gautam, P.K.; Verma, A.K.; Maheshwar, S.; Singh, T.N. Thermomechanical analysis of different types of sandstone at elevated temperature. Rock Mech. Rock Eng. 2016, 49, 1985–1993. [Google Scholar] [CrossRef]
  5. Zhao, J.; Plagge, R. Characterization of hygrothermal properties of sandstones—Impact of anisotropy on their thermal and moisture behaviors. Energy Build. 2015, 107, 479–494. [Google Scholar] [CrossRef]
  6. Allision, R.J.; Goudie, A.S. The effects of fire on rock weathering: An experimental study. In Rock Weathering and Landform Evolution; Wiley: Hoboken, NJ, USA, 1994; pp. 41–56. [Google Scholar]
  7. Allison, R.J.; Bristow, G.E. The effects of fire on rock weathering: Some further considerations of laboratory experimental simulation. Earth Surf. Process. Landf. J. Br. Geomorphol. Res. Group 1999, 24, 707–713. [Google Scholar] [CrossRef]
  8. Liu, S.; Xu, J. An experimental study on the physico-mechanical properties of two post-high-temperature rocks. Eng. Geol. 2015, 185, 63–70. [Google Scholar] [CrossRef]
  9. Yang, S.Q.; Ranjith, P.G.; Jing, H.W.; Tian, W.L.; Ju, Y. An experimental investigation on thermal damage and failure mechanical behavior of granite after exposure to different high temperature treatments. Geothermics 2017, 65, 180–197. [Google Scholar] [CrossRef]
  10. Ranjith, P.G.; Viete, D.R.; Chen, B.J.; Perera, M.S.A. Transformation plasticity and the effect of temperature on the mechanical behaviour of Hawkesbury sandstone at atmospheric pressure. Eng. Geol. 2012, 151, 120–127. [Google Scholar]
  11. Mahanta, B.; Ranjith, P.G.; Vishal, V.; Singh, T.N. Temperature-induced deformational responses and microstructural alteration of sandstone. J. Pet. Sci. Eng. 2020, 192, 107239. [Google Scholar]
  12. Ding, Q.L.; Ju, F.; Mao, X.B.; Ma, D.; Yu, B.Y.; Song, S.B. Experimental investigation of the mechanical behavior in unloading conditions of sandstone after high-temperature treatment. Rock Mech. Rock Eng. 2016, 49, 2641–2653. [Google Scholar] [CrossRef]
  13. Zhang, W.; Sun, Q.; Zhu, Y.; Guo, W. Experimental study on response characteristics of micro–macroscopic performance of red sandstone after high-temperature treatment. J. Therm. Anal. Calorim. 2019, 136, 1935–1945. [Google Scholar] [CrossRef]
  14. Zhang, J.; Shen, Y.; Yang, G.; Zhang, H.; Wang, Y.; Hou, X.; Li, G. Inconsistency of changes in uniaxial compressive strength and P-wave velocity of sandstone after temperature treatments. J. Rock Mech. Geotech. Eng. 2021, 13, 143–153. [Google Scholar] [CrossRef]
  15. Su, H.J.; Jing, H.W.; Mao, X.B.; Zhao, H.H.; Yin, Q.; Wang, C. Size effect of sandstone after high temperature under uniaxial compression. J. Cent. South Univ. 2015, 22, 1901–1908. [Google Scholar] [CrossRef]
  16. Yu, J.; Chen, S.J.; Chen, X.; Zhang, Y.Z.; Cai, Y.Y. Experimental investigation on mechanical properties and permeability evolution of red sandstone after heat treatments. J. Zhejiang Univ. Sci. A 2015, 16, 749–759. [Google Scholar] [CrossRef]
  17. Lei, R.; Wang, Y.; Zhang, L.; Liu, B.; Long, K.; Luo, P.; Wang, Y. The evolution of sandstone microstructure and mechanical properties with thermal damage. Energy Sci. Eng. 2019, 7, 3058–3075. [Google Scholar] [CrossRef]
  18. Zhou, H.; Liu, H.; Hu, D.; Yang, F.; Lu, J.; Zhang, F. Anisotropies in mechanical behaviour, thermal expansion and P-wave velocity of sandstone with bedding planes. Rock Mech. Rock Eng. 2016, 49, 4497–4504. [Google Scholar] [CrossRef]
  19. Khanlari, G.; Rafiei, B.; Abdilor, Y. Evaluation of strength anisotropy and failure modes of laminated sandstones. Arab. J. Geosci. 2015, 8, 3089–3102. [Google Scholar] [CrossRef]
  20. Yin, P.F.; Yang, S.Q. Experimental investigation of the strength and failure behavior of layered sandstone under uniaxial compression and Brazilian testing. Acta Geophys. 2018, 66, 585–605. [Google Scholar] [CrossRef]
  21. Alm, O.; Jaktlund, L.L.; Shaoquan, K. The influence of microcrack density on the elastic and fracture mechanical-properties of stripa granite. Phys. Earth Planet. Inter. 1985, 40, 161–179. [Google Scholar] [CrossRef]
  22. Tian, H.; Ziegler, M.; Kempka, T. Physical and mechanical behavior of claystone exposed to temperatures up to 1000 C. Int. J. Rock Mech. Min. Sci. 2014, 70, 144–153. [Google Scholar] [CrossRef]
  23. Tian, H.; Kempka, T.; Yu, S.; Ziegler, M. Mechanical properties of sandstones exposed to high temperature. Rock Mech. Rock Eng. 2016, 49, 321–327. [Google Scholar] [CrossRef]
  24. Zheng, F.; Jiang, A.; Jiang, T.; Jiang, H.; Guo, X. Study on mechanical characteristics and damage model of layered sandstone after high temperature action. Case Stud. Constr. Mater. 2023, 19, e02601. [Google Scholar] [CrossRef]
  25. Podio-Lucioni, A. Experimental Determination of the Dynamic Elastic Properties of Anisotropic Rocks, Ultrasonic Pulse Method; The University of Texas at Austin: Austin, TX, USA, 1968. [Google Scholar]
  26. Tian, H.; Kempka, T.; Xu, N.X.; Ziegler, M. Physical Properties of Sandstones After High Temperature Treatment. Rock Mech. Rock Eng. 2012, 45, 1113–1117. [Google Scholar] [CrossRef]
  27. Sirdesai, N.N.; Gupta, T.; Singh, T.N.; Ranjith, P.G. Studying the acoustic emission response of an Indian monumental sandstone under varying temperatures and strains. Constr. Build. Mater. 2018, 168, 346–361. [Google Scholar] [CrossRef]
  28. Chakrabarti, B.; Yates, T.; Lewry, A. Effect of fire damage on natural stonework in buildings. Constr. Build. Mater. 1996, 10, 539–544. [Google Scholar] [CrossRef]
  29. Hajpál, M.; Török, Á. Mineralogical and colour changes of quartz sandstones by heat. Environ. Geol. 2004, 46, 311–322. [Google Scholar] [CrossRef]
  30. Kompaníková, Z.; Gomez-Heras, M.; Michňová, J.; Durmeková, T.; Vlčko, J. Sandstone alterations triggered by fire-related temperatures. Environ. Earth Sci. 2014, 72, 2569–2581. [Google Scholar] [CrossRef]
  31. Su, C.D.; Guo, W.B.; Li, X.S. Experimental research on mechanical properties of coarse sandstone after high temperatures. Chin. J. Rock Mech. Eng. 2008, 27, 1162–1170. (In Chinese) [Google Scholar]
  32. Wu, G.; Wang, Y.; Swift, G.; Chen, J. Laboratory investigation of the effects of temperature on the mechanical properties of sandstone. Geotech. Geol. Eng. 2013, 31, 809–816. [Google Scholar] [CrossRef]
  33. He, G.L.; Wu, G.; Huang, X.C.; Zhang, L.; Qiu, Y.P. Experimental study on ultrasonic properties of sandstone before and after high temperature. Yantu Lixue Rock Soil Mech. 2007, 28, 779–784. (In Chinese) [Google Scholar]
  34. Franzen, C.; Krause, D.; Siedel, H.; Ullrich, B. Temperature impact on Cotta sandstone. In Proceedings of the 12th International Congress on the Deterioration and Conservation of Stone, New York, NY, USA, 22–26 October 2012. [Google Scholar]
  35. Hajpál, M.; Török, Á. Petrophysical and mineralogical studies of burnt sandstones. In Proceedings of the 2nd International PhD Symposium, Budapest, Hungary, 28–30 May 1999; pp. 476–485. [Google Scholar]
  36. Hajpál, M. The behaviour of natural building stones by heat effect. In Fracture and Failure of Natural Building Stones: Applications in the Restoration of Ancient Monuments; Springer Science & Business Media: Dordrecht, The Netherlands, 2007; p. 439. [Google Scholar]
  37. Dong, Z.; Chen, Y.; Wang, X.; Kong, L.; Wang, L.; Li, X.; Zhang, M. Evaluation of Thermophysical and Mechanical Properties of Sandstone Due to High-Temperature. Materials 2022, 15, 8692. [Google Scholar] [CrossRef] [PubMed]
  38. Sirdesai, N.N.; Mahanta, B.; Ranjith, P.G.; Singh, T.N. Effects of thermal treatment on physico-morphological properties of Indian fine-grained sandstone. Bull. Eng. Geol. Environ. 2019, 78, 883–897. [Google Scholar] [CrossRef]
Figure 1. Sampling diagram of sandstone samples with different bedding angles.
Figure 1. Sampling diagram of sandstone samples with different bedding angles.
Applsci 13 13199 g001
Figure 2. CIELAB uniform color coordinate system.
Figure 2. CIELAB uniform color coordinate system.
Applsci 13 13199 g002
Figure 3. Sandstone samples heated to different temperatures.
Figure 3. Sandstone samples heated to different temperatures.
Applsci 13 13199 g003
Figure 4. Schematic diagram of sandstone stratification with different bedding angles.
Figure 4. Schematic diagram of sandstone stratification with different bedding angles.
Applsci 13 13199 g004
Figure 5. (a) Change trend of the P-wave velocity change rate with temperature for rock samples with different bedding dip angles; (b) change trend of P-wave velocity with dip angles for rock samples treated at different temperatures.
Figure 5. (a) Change trend of the P-wave velocity change rate with temperature for rock samples with different bedding dip angles; (b) change trend of P-wave velocity with dip angles for rock samples treated at different temperatures.
Applsci 13 13199 g005
Figure 6. (a) Variation trend of the S-wave velocity variation rate with temperature for rock samples with different bedding dip angles; (b) variation trend of S-wave velocity with dip angles for rock samples treated at different temperatures.
Figure 6. (a) Variation trend of the S-wave velocity variation rate with temperature for rock samples with different bedding dip angles; (b) variation trend of S-wave velocity with dip angles for rock samples treated at different temperatures.
Applsci 13 13199 g006
Figure 7. (a) Stress-strain curve of the rock sample at the same dip angle in the uniaxial compression test; (b) stress-strain curve of the rock sample at the same temperature in the uniaxial compression test; (c,e,g) stress-strain curves of rock samples at the same dip angle in the triaxial compression tests under confining pressure of 5–15 MPa; (d,f,h) stress-strain curves of rock samples at the same temperature in the triaxial compression tests under confining pressure of 5–15 MPa.
Figure 7. (a) Stress-strain curve of the rock sample at the same dip angle in the uniaxial compression test; (b) stress-strain curve of the rock sample at the same temperature in the uniaxial compression test; (c,e,g) stress-strain curves of rock samples at the same dip angle in the triaxial compression tests under confining pressure of 5–15 MPa; (d,f,h) stress-strain curves of rock samples at the same temperature in the triaxial compression tests under confining pressure of 5–15 MPa.
Applsci 13 13199 g007aApplsci 13 13199 g007b
Figure 8. (a) Change trend of σct/σc0 with temperature for rock samples with different bedding angles; (b) σc variation trend with dip angle for rock samples treated at different temperatures.
Figure 8. (a) Change trend of σct/σc0 with temperature for rock samples with different bedding angles; (b) σc variation trend with dip angle for rock samples treated at different temperatures.
Applsci 13 13199 g008
Figure 9. (a) Variation trend of Et/E0 with temperature for rock samples with different bedding dip angles; (b) variation trend of E with dip angle for rock samples with different temperature treatments.
Figure 9. (a) Variation trend of Et/E0 with temperature for rock samples with different bedding dip angles; (b) variation trend of E with dip angle for rock samples with different temperature treatments.
Applsci 13 13199 g009
Figure 10. (a) Change trend of ct/c0 with temperature for rock samples with different bedding dip angles; (b) change trend of c with dip angle for rock samples with different temperature treatments.
Figure 10. (a) Change trend of ct/c0 with temperature for rock samples with different bedding dip angles; (b) change trend of c with dip angle for rock samples with different temperature treatments.
Applsci 13 13199 g010
Figure 11. (a) φt/φ0 variation trend with temperature for rock samples with different bedding angles; (b) φ change trend with dip angle for rock samples treated at different temperatures.
Figure 11. (a) φt/φ0 variation trend with temperature for rock samples with different bedding angles; (b) φ change trend with dip angle for rock samples treated at different temperatures.
Applsci 13 13199 g011
Figure 12. (a) Variation trend of ultrasonic velocity anisotropy with temperature; (b) variation trend of mechanical index anisotropy with temperature.
Figure 12. (a) Variation trend of ultrasonic velocity anisotropy with temperature; (b) variation trend of mechanical index anisotropy with temperature.
Applsci 13 13199 g012
Figure 13. Failure diagram of sandstone samples with different bedding angles after uniaxial and conventional triaxial compression.
Figure 13. Failure diagram of sandstone samples with different bedding angles after uniaxial and conventional triaxial compression.
Applsci 13 13199 g013
Figure 14. (a) Relationship between normalized vp and temperature [13,31,32,33]; (b) normalization σ relationship between σc and temperature [33,34,35,36,37,38]; (c) relationship between normalized E and temperature [8,32,37,38].
Figure 14. (a) Relationship between normalized vp and temperature [13,31,32,33]; (b) normalization σ relationship between σc and temperature [33,34,35,36,37,38]; (c) relationship between normalized E and temperature [8,32,37,38].
Applsci 13 13199 g014
Table 1. Variations in sandstone L, a *, b *, and ∆E with temperature.
Table 1. Variations in sandstone L, a *, b *, and ∆E with temperature.
T/°CLa *b *E
2554.35.283.520
20056.335.814.842.479
40056.366.425.833.298
60058.3714.812.4613.679
80058.7911.210.8310.423
100060.9812.4214.3214.569
Table 2. Previous research results and similar trends.
Table 2. Previous research results and similar trends.
PropertyTrend TypeRef.Sampling Location
vpSu et al. [31];
Zhang et al. [13];
Henan Province, China
Shandong Province, China
Wu et al. [32];
He et al. [33];
Franzen et al. [34];
Henan Province, China
Henan Province, China
Cotta, Germany
σcHe et al. [33];
Hajpál et al. [35];
Henan Province, China
Pliezhausen, Germany
Hajpá et al. [36];
Dong et al. [37];
Wang et al. [38];
Maulbronner, Germany
Ordos Basin, China
Shaanxi Province, China
Liu et al. [8];Shaanxi Province, China
ESu et al. [15];
Dong et al. [37];
N.N.Sirdesai et al. [38];
Xinjiang Uygur Autonomous Region, China
Ordos Basin, China
Dholpur, India
Wu et al. [32];
Liu et al. [8];
Henan Province, China
Shaanxi Province, China
Disclaimer/Publisher’s Note: The statements, opinions and data contained in all publications are solely those of the individual author(s) and contributor(s) and not of MDPI and/or the editor(s). MDPI and/or the editor(s) disclaim responsibility for any injury to people or property resulting from any ideas, methods, instructions or products referred to in the content.

Share and Cite

MDPI and ACS Style

Qin, Y.; Xu, N.; Chen, W.; Wu, L. Experimental Study on the Effect of High Temperature on the Physical and Mechanical Properties of Sandstone with Different Bedding Angles. Appl. Sci. 2023, 13, 13199. https://doi.org/10.3390/app132413199

AMA Style

Qin Y, Xu N, Chen W, Wu L. Experimental Study on the Effect of High Temperature on the Physical and Mechanical Properties of Sandstone with Different Bedding Angles. Applied Sciences. 2023; 13(24):13199. https://doi.org/10.3390/app132413199

Chicago/Turabian Style

Qin, Yan, Nengxiong Xu, Wei Chen, and Linqing Wu. 2023. "Experimental Study on the Effect of High Temperature on the Physical and Mechanical Properties of Sandstone with Different Bedding Angles" Applied Sciences 13, no. 24: 13199. https://doi.org/10.3390/app132413199

APA Style

Qin, Y., Xu, N., Chen, W., & Wu, L. (2023). Experimental Study on the Effect of High Temperature on the Physical and Mechanical Properties of Sandstone with Different Bedding Angles. Applied Sciences, 13(24), 13199. https://doi.org/10.3390/app132413199

Note that from the first issue of 2016, this journal uses article numbers instead of page numbers. See further details here.

Article Metrics

Back to TopTop