Effect of Inter-Vehicle Suspension on Variable Speed Curve Running of Train under Crosswinds
Abstract
:1. Introduction
2. Establishment and Definition of Train Model
2.1. Train Dynamics Method
2.2. Schematic Diagram of the Curve Passing of the Vehicle
2.3. Wind Aerodynamic Forces
2.4. Dynamic Model of Train
2.5. The Motion Differential Equations of the Vehicle Dynamic System
2.6. Wheel–Rail Model and Contact Setting
2.7. Characteristics of the IVS
2.8. Traction and Braking Forces
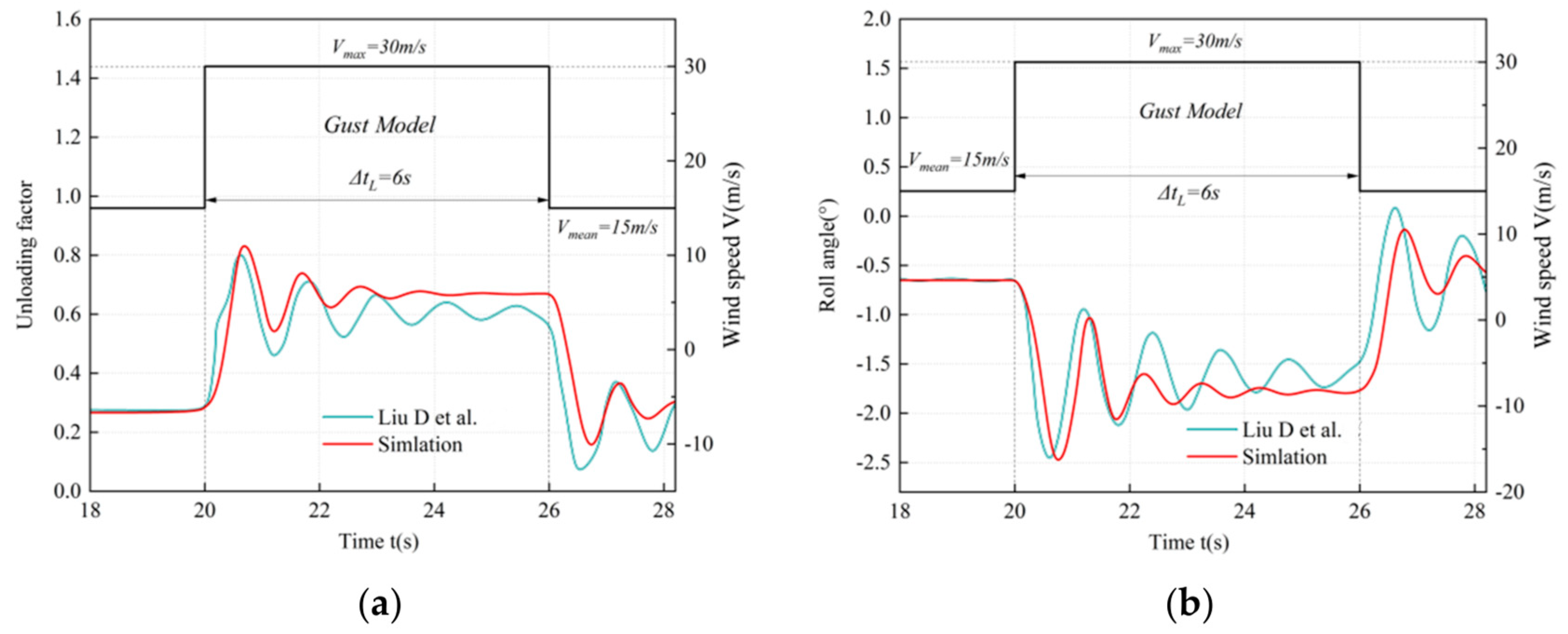
2.9. Model Verification
2.10. Safety Assessment
3. Multibody Simulations
3.1. Setting of Curved Lines and Vehicle Speeds
3.2. Security of Train Curve Passing at a Constant Speed
3.3. Dynamic Responses of Vehicle When Decelerating through Curved Tracks
3.4. Dynamic Responses of Vehicle When Accelerating through Curved Tracks
4. Conclusions
- The safety of the train is sensitive to the radius of the curve track when the curve passes under crosswinds. When the vehicle speed is less than 250 km/h, the unloading factor changes little with increasing radius. When the vehicle speed is 250–350 km/h, the maximum value of the unloading factor reduces with increasing radius. However, the reduction will be little when the radius exceeds 7000 m. Moreover, the safe speed of the train should be less than 250 km/h when the wind speed exceeds 25 m/s.
- Compared with fixed connections, taking the IVS into account will reduce the critical safety speed at the same radius. This reflects more realistic train dynamics. The safe speed decreases by 18 km/h, 9 km/h, and 14 km/h at a wind speed of 25 m/s at the radius of 4500 m, 7000 m, and 9000 m, respectively. The difference in safe speed between the two cases is very small when the wind speed is 30 m/s. Consequently, the true safe speed limit for CRH2 trains should be lower than the current recommended values.
- Considering the IVS will reduce the unloading factor when passing a curve during deceleration under crosswinds. The BF bogie has the greatest reduction, of which the unloading factor is reduced by 3.38% and the derailment coefficient is reduced by 5.56%. Furthermore, the maximum value of lateral acceleration in the middle car is reduced by 49%. For the car-body motion angle, the head car and tail car are insensitive, but the pitch angle of the middle car is increased by 8.11% and the yaw angle is reduced by 14%. Taking into account the IVS, vibrations in the train car are reduced during operation. The level of reduction varies from carriage to carriage.
- Considering the IVS will increase the unloading factor when passing a curve during acceleration under crosswinds. The BF bogie has the greatest increase, of which the unloading factor increases by 7.27%. The derailment coefficient of FB, MB, and BB bogies increases by 4.51%, 3.76% and 6.94%, respectively. Moreover, the maximum value of the lateral acceleration of the head car when driving out of the spiral transition curve track is reduced by 55.13%, and the middle car is also reduced by 32.26% when driving out of the circle track. However, the maximum value of the lateral acceleration of the tail car increases by 68.17% when entering the spiral transition curve track. These results suggest that considering the IVS effectively reduces the maximum value of the lateral acceleration of the vehicle when passing the transition areas of the curved track, especially for the middle car.
Author Contributions
Funding
Institutional Review Board Statement
Informed Consent Statement
Data Availability Statement
Acknowledgments
Conflicts of Interest
References
- Wang, T.; Qu, J.J.; Tan, L.H.; Gao, Y.; Zhang, K.; Shi, B.Y. Aeolian sediment transport over the Gobi with high gravel coverage under extremely strong winds in the Hundred Miles windy area along the Lanzhou-Xinjiang High-Speed Railway. J. Wind Eng. Ind. Aerod. 2022, 220, 104857. [Google Scholar] [CrossRef]
- Liu, D.R.; Wang, Q.X.; Zhong, M.; Lu, Z.J.; Wang, J.B.; Wang, T.J.; Lv, S.Y. Effect of wind speed variation on the dynamics of a high-speed train. Veh. Syst. Dyn. 2019, 57, 247–268. [Google Scholar] [CrossRef]
- Liu, D.R.; Lu, Z.J.; Zhong, M.; Cao, T.P.; Chen, D.; Xiong, Y.P. Measurements of car-body lateral vibration induced by high-speed trains negotiating complex terrain sections under strong wind conditions. Veh. Syst. Dyn. 2018, 56, 173–189. [Google Scholar] [CrossRef]
- Yao, Z.; Xiao, J.; Jiang, F. Characteristics of daily extreme-wind gusts along the lanxin railway in xinjiang, China. Aeolian Res. 2012, 6, 31–40. [Google Scholar] [CrossRef]
- Zhou, D.; Xia, C.J.; Wu, L.L.; Meng, S. Effect of the wind speed on aerodynamic behaviors during the acceleration of a high-speed train under crosswinds. J. Wind Eng. Ind. Aerod. 2023, 232, 105287. [Google Scholar] [CrossRef]
- Liu, D.R.; Wang, T.T.; Liang, X.F.; Meng, S.; Zhong, M.; Lu, Z.J. High-speed train overturning safety under varying wind speed conditions. J. Wind Eng. Ind. Aerod. 2020, 198, 104111. [Google Scholar] [CrossRef]
- Montenegro, P.A.; Heleno, R.; Carvalho, H.; Calçada, R.; Baker, C.J. A comparative study on the running safety of trains subjected to crosswinds simulated with different wind models. J. Wind Eng. Ind. Aerod. 2020, 207, 104398. [Google Scholar] [CrossRef]
- Zhang, Y.F.; Li, J.; Chen, Z.W.; Xu, X.Y. Dynamic analysis of metro vehicle traveling on a high-pier viaduct under cross-wind in Chongqing. Wind Struct. 2019, 29, 299–312. [Google Scholar] [CrossRef]
- Thomas, D.; Berg, M.; Stichel, S. Measurements and simulations of rail vehicle dynamics with respect to overturning risk. Veh. Syst. Dyn. 2010, 48, 97–112. [Google Scholar] [CrossRef]
- You, W.; Kwon, H.; Park, J.; Shin, Y. Effect of wind gusts on the dynamics of railway vehicles running on a curved track. Proc. Inst. Mech. Eng.—Part F J. Rail Rapid Transit. 2018, 232, 1103–1120. [Google Scholar] [CrossRef]
- Knothe, K.; Grassie, S.L. Modeling of railway track and vehicle/track interaction at high frequencies. Veh. Syst. Dyn. 1993, 22, 209–262. [Google Scholar] [CrossRef]
- Popp, K.; Kruse, H.; Kaiser, I. Vehicle-track dynamics in the mid-frequency range. Veh. Syst. Dyn. 1999, 31, 423–464. [Google Scholar] [CrossRef]
- Zhai, W.M.; Wang, K.Y.; Cai, C.B. Fundamentals of vehicle-track coupled dynamics. Veh. Syst. Dyn. 2009, 47, 1349–1376. [Google Scholar] [CrossRef]
- Evans, J.; Berg, M. Challenges in simulation of rail vehicle dynamics. Veh. Syst. Dyn. 2009, 47, 1023–1048. [Google Scholar] [CrossRef]
- Ling, L.; Xiao, X.B.; Xiong, J.Y.; Zhou, L.; Wen, Z.F.; Jin, X.S. A 3D model for coupling dynamics analysis of high-speed train/track system. J. Zhejiang Univ. Sci. A 2014, 15, 964–983. [Google Scholar] [CrossRef]
- Ling, L. 3D Rigid-Flexible Coupling Dynamics of High-Speed Train/Track System. Ph.D. Thesis, Southwest Jiao Tong University, Chengdu, China, 2015. (In Chinese). [Google Scholar]
- Li, X.; Gao, C.Y.; Gao, Z.Q.; Zhang, X.Y. Atmospheric boundary layer turbulence structure for severe foggy haze episodes in north China in December 2016. Environ. Pollut. 2020, 264, 114726. [Google Scholar] [CrossRef]
- Toloui, M.; Riley, S.; Hong, J.; Howard, K.; Chamorro, L.P.; Guala, M.; Tucker, J. Measurement of atmospheric boundary layer based on super-large-scale particle image velocimetry using natural snowfall. Exp. Fluids 2014, 55, 1737. [Google Scholar] [CrossRef]
- Horiguchi, M.; Hayashi, T.; Adachi, A.; Shigeru, O. Stability Dependence and Diurnal Change of Large-Scale Turbulence Structures in the Near-Neutral Atmospheric Boundary Layer Observed from a Meteorological Tower. Bound.-Layer Meteorol. 2014, 151, 221–237. [Google Scholar] [CrossRef]
- Potekaev, A.; Shamanaeva, L.; Kulagina, V. Spatiotemporal Dynamics of the Kinetic Energy in the Atmospheric Boundary Layer from Minisodar Measurements. Atmosphere 2021, 12, 421. [Google Scholar] [CrossRef]
- Nosek, S.; Janour, Z.; Kukacka, L.; Jurcakova, K.; Kellnerova, R.; Gulikova, E. Atmospheric dispersion modeling over complex terrain at small scale. EPJ Web Conf. 2014, 67, 02084. [Google Scholar] [CrossRef]
- Cheliotis, I.; Dieudonné, E.; Delbarre, H.; Sokolov, A.; Dmitriev, E.; Augustin, P.; Fourmentin, M.; Ravetta, F.; Pelon, J. Properties of Coherent Structures over Paris: A Study Based on an Automated Classification Method for Doppler Lidar Observations. J. Appl. Meteor. Climatol. 2021, 60, 1545–1559. [Google Scholar] [CrossRef]
- Ishihara, T.; Zhang, D.; Nagumo, Y. Numerical study of dynamic response of railway vehicles under tunnel exit winds using multibody dynamic simulations. J. Wind Eng. Ind. Aerod. 2021, 211, 104556. [Google Scholar] [CrossRef]
- Li, T. Approaches and Dynamic Performances of High-Speed Train Fluid-Structure. Ph.D. Thesis, Southwest Jiao Tong University, Chengdu, China, 2008. (In Chinese). [Google Scholar]
- Hertz, H. Ueber die Berührung fester elastischer Korper. J. Reine Angew. Math. (Crelle’s J.) 1882, 92, 156–171. [Google Scholar] [CrossRef]
- Kalker, J.J. Book of Tables for the Hertzian Creep-Force Law. In 2nd Mini-Conference on Contact Mechanics and Wear of Wheel/Rail Systems; Technical University of Budapest: Budapest, Hungary, 1996. [Google Scholar]
- EN 14067-6; Railway Applications-Aerodynamics—Part 6: Requirements and Test Procedures for Cross Wind Assessment. CEN: Brussels, Belgium, 2010.
- Zhao, S.Z.; Wang, J.L.; Tian, A.Q.; Che, Q.W.; Li, Z.X.; Yao, S.G. Dynamic performance study of high-speed EMUs intermediate coupler. J. Railw. Sci. Eng. 2018, 15, 1103–1110. (In Chinese) [Google Scholar] [CrossRef]
- Sun, C.L.; Zhou, S.X.; Qin, Z.; Sun, R.; Zhao, X.H. Research on Influence of the Characteristic Parameter of Inter-vehicle Longitudinal Damper on Dynamic Performance of High-Speed EMUs. J. Mech. Eng. 2017, 53, 170–176. [Google Scholar] [CrossRef]
- Zhai, W.M.; Yang, J.Z.; Li, Z.; Han, H.Y. Dynamics of high-speed train in crosswinds based on an air-train-track interaction model. Wind Struct. 2015, 20, 143–168. [Google Scholar] [CrossRef]


















| Vehicle Component | DOFs of the Vehicle-Dynamics Model | |||||
|---|---|---|---|---|---|---|
| Longitudinal | Lateral | Vertical | Roll | Pitch | Yaw | |
| Car body | Xc | Yc | Zc | Φc | βc | Ψc |
| Bogie F | XbF | YbF | ZbF | ФbF | βbF | ΨbF |
| Bogie B | XbB | YbB | ZbB | ФbB | βbB | ΨbB |
| Wheelset FF | XwFF | YwFF | ZwFF | ФwFF | βwFF | ΨwFF |
| Wheelset FB | XwFB | YwFB | ZwFB | ФwFB | βwFB | ΨwFB |
| Wheelset BF | XwBF | YwBF | ZwBF | ФwBF | βwBF | ΨwBF |
| Wheelset BB | XwBB | YwBB | ZwBB | ФwBB | βwBB | ΨwBB |
| Axle box (i = 1–8) | βboxi | |||||
| Track Radius(m) | V (km/h) | 4500 | 5000 | 6000 | 7000 | 8000 | 9000 |
|---|---|---|---|---|---|---|---|
| Spiral transition curve length(m) | 100–250 | 340 | 300 | 250 | 220 | 190 | 170 |
| Circle length(m) | 200 | 200 | 200 | 200 | 200 | 200 | |
| Super-elevation(mm) | 105 | 105 | 105 | 105 | 105 | 105 | |
| Spiral transition curve length(m) | 300 | 510 | 440 | 410 | 350 | 300 | 270 |
| Circle length(m) | 200 | 200 | 200 | 200 | 200 | 200 | |
| Super-elevation(mm) | 151 | 151 | 151 | 151 | 151 | 151 | |
| Spiral transition curve length(m) | 350 | 590 | 590 | 590 | 590 | 530 | 470 |
| Circle length(m) | 200 | 200 | 200 | 200 | 200 | 200 | |
| Super-elevation(mm) | 175 | 175 | 175 | 175 | 175 | 175 |
| Wind 15 m/s | Wind 20 m/s | Wind 25 m/s | Wind 30 m/s | ||
|---|---|---|---|---|---|
| With suspension | R4500 m | safe | 330 km/h | 234 km/h | 169 km/h |
| R7000 | safe | safe | 245 km/h | 171 km/h | |
| R9000 | safe | safe | 246 km/h | 175 km/h | |
| Fixed connection | R4500 | safe | safe | 252 km/h | 168 km/h |
| R7000 | safe | safe | 254 km/h | 169 km/h | |
| R9000 | safe | safe | 260 km/h | 173 km/h | |
Disclaimer/Publisher’s Note: The statements, opinions and data contained in all publications are solely those of the individual author(s) and contributor(s) and not of MDPI and/or the editor(s). MDPI and/or the editor(s) disclaim responsibility for any injury to people or property resulting from any ideas, methods, instructions or products referred to in the content. |
© 2023 by the authors. Licensee MDPI, Basel, Switzerland. This article is an open access article distributed under the terms and conditions of the Creative Commons Attribution (CC BY) license (https://creativecommons.org/licenses/by/4.0/).
Share and Cite
Jia, X.; Jin, A.; Chen, L.; Yang, D. Effect of Inter-Vehicle Suspension on Variable Speed Curve Running of Train under Crosswinds. Appl. Sci. 2023, 13, 12278. https://doi.org/10.3390/app132212278
Jia X, Jin A, Chen L, Yang D. Effect of Inter-Vehicle Suspension on Variable Speed Curve Running of Train under Crosswinds. Applied Sciences. 2023; 13(22):12278. https://doi.org/10.3390/app132212278
Chicago/Turabian StyleJia, Xiaochen, Afang Jin, Leixin Chen, and Dexin Yang. 2023. "Effect of Inter-Vehicle Suspension on Variable Speed Curve Running of Train under Crosswinds" Applied Sciences 13, no. 22: 12278. https://doi.org/10.3390/app132212278
APA StyleJia, X., Jin, A., Chen, L., & Yang, D. (2023). Effect of Inter-Vehicle Suspension on Variable Speed Curve Running of Train under Crosswinds. Applied Sciences, 13(22), 12278. https://doi.org/10.3390/app132212278
