Kernel Block Diagonal Representation Subspace Clustering with Similarity Preservation
Abstract
:1. Introduction
- (1)
- To capture the nonlinear structure of original data, a subspace clustering frame based on kernel self-expressing is introduced into our model.
- (2)
- To better preserve the similarity information between original data, a similarity-preserving regularizer is constructed and introduced to our model by minimizing the difference between inner products of original data and inner products of reconstructed data in the kernel space.
- (3)
- To obtain the similarity matrix with optimal block diagonal structure, a block diagonal representation is introduced to our model. Then, the optimal block diagonal matrix is directly captured by optimizing the objective function, overcoming the drawback that sparse or low-rank-based subspace clustering methods cannot obtain the optimal block diagonal matrix.
- (4)
- Our KBDSP model is proposed by integrating the block diagonal representation term and similarity-preserving regularizer into the kernel self-expressing frame. The proposed optimization model is solved by applying the alternating direction method of multipliers (ADMM).
2. Related Works
2.1. Self-Expression-Based Subspace Clustering
2.2. Kernel-Based Subspace Clustering
2.3. Block Diagonal Regularizer
3. The Proposed KBDSP Method
3.1. KBDSP Model
3.2. Optimization of KBDSP
- (1)
- Updating J
- (2)
- Updating G
- (3)
- Updating H
- (4)
- Updating Z
- (5)
- Updating B
| Algorithm 1 The Algorithm of KBDSP |
| Input: Kernel matrix K, parameters , number of cluster k, Initialize: Random matrix Repeat 1. Calculate by using the solution (11); 2. Calculate according to the solution (13); 3. Calculate by using the solution (15); 4. Calculate according to (17); 5. Calculate by solving (20); 6. Update Lagrange multipliers ; Until stopping criterion is met. |
4. Experimental Results and Analysis
4.1. Datasets
4.2. Comparison of the Methods
4.3. Evaluation Metrics
4.4. Kernel Design
4.5. Experimental Results and Analysis
- (1)
- SC is a representative clustering approach. Compared to the SC algorithm, our proposed KBDSP obtains better results in terms of three evaluation metrics, namely ACC, NMI, and Purity. From Table 3, we can see the average values of three evaluation metrics of KBDSP are 19%, 18%, and 22%, which are higher than SC, respectively. This is attributed to the advantage that the learned Z is an input of SC instead of the kernel matrix in SC.
- (2)
- KSSC and KLRR methods have made satisfactory results in many fields because they can exploit the nonlinear structure of original data. It is worth mentioning that our method outperforms these two methods in most cases. The superiority of KBDSP derives from our similarity-preserving strategy.
- (3)
- Compared to SLKEs and SLKEr, KBDSP obtains a higher performance. The reasons for performance improvement have two aspects: one is that our kernel self-expression frame can preserve some low-order information of input data, which is lost in SLKEs and SLKEr methods; the other is that we can learn a similarity matrix with block diagonal structure by introducing the block diagonal representation term to our model.
- (4)
- SLSPs and SLSPr can not only handle nonlinear datasets, but also preserve similar information. The experimental results of the two methods are shown in Table 3, from which we can see they have improved performance compared to SC, KSSC, KLRR, SLKEs and SLKEr. However, KBDSP still outperforms them in most instances. For example, from Table 3, we can see the average values of three evaluation metrics of KBDSP are 14%, 15%, and 2%, which are higher than SLSPs, respectively. These results prove that the introduced block diagonal representation term can help boost performance.
- (5)
- IBDLR and KBDSP enable the learning desired affinity matrix with an optimal block diagonal structure by importing block diagonal representation term. From Table 3, it can be seen that KBDSP and IBDLR have better performance than other algorithms except SLSPs on all datasets, which verifies that KBDSP and IBDLR methods with block diagonal representation term are effective. This indicates that the KBDSP and IBDLR are beneficial for datasets that have many classes, and that they can capture the block diagonal structure of data. For COIL20 and BA datasets, which have a greater number of instances, Table 3 shows that our KBDSP achieves nearly 13% higher than other compared methods apart from IBDLR on the COIL20 dataset. In addition, as can be seen in Table 3, we can observe that KBDSP outperforms IBDLR on the COIL20 dataset; this is because our method considers the similarity-preserving strategy, but the IBDLR method does not.
- (6)
- For the TR11, TR41, and TR45 datasets, which have high dimensions of features, SLSPr presents better performance than IBDLR because it introduces a similarity-preserving mechanism. Benefiting from the similarity-preserving strategy and block diagonal representation term, the proposed KBDSP consistently outperforms IBDLR and even SLSPr in most cases on the TR11, TR41, and TR45 datasets. This indicates KBDSP is beneficial, performing well with the amount of information provided by datasets that have rich features, such that KBDSP can exploit the intrinsic structure of data.
- (7)
- From Table 3, it can be seen that our proposed KBDSP method has the smallest standard deviation in almost all cases, which means that KBDSP has good stability.
- (8)
- The one-way ANOVA was used to test the significant difference in the Purity of compared methods. From Figure 1, we can see that the p-values for the Purity metric is less than 0.05, showing significant difference between performance of the proposed and existing methods.
| Data | Metrics | SC [17] | KSSC [30] | KLRR [14] | SLKEs [35] | SLKEr [35] | SLSPs [36] | SLSPr [36] | IBDLR [40] | KBDSP * |
|---|---|---|---|---|---|---|---|---|---|---|
| Yale | ACC | 0.4425 ± 0.042 | 0.4715 ± 0.042 | 0.4569 ± 0.037 | 0.3404 ± 0.043 | 0.4768 ± 0.045 | 0.3768 ± 0.053 | 0.528 ± 0.024 | 0.4727 ± 0.045 | 0.5626 ± 0.020 |
| NMI | 0.4859 ± 0.043 | 0.4761 ± 0.040 | 0.4882 ± 0.034 | 0.3799 ± 0.046 | 0.5047 ± 0.038 | 0.4030 ± 0.058 | 0.5425 ± 0.021 | 0.5122 ± 0.043 | 0.5662 ± 0.018 | |
| Purity | 0.4665 ± 0.041 | 0.5379 ± 0.028 | 0.5862 ± 0.032 | 0.6323 ± 0.042 | 0.5747 ± 0.030 | 0.6313 ± 0.047 | 0.6138 ± 0.019 | 0.5212 ± 0.038 | 0.6394 ± 0.015 | |
| JAFFE | ACC | 0.5563 ± 0.045 | 0.7691 ± 0.039 | 0.7358 ± 0.042 | 0.6625 ± 0.053 | 0.7409 ± 0.054 | 0.7514 ± 0.052 | 0.9031 ± 0.043 | 0.9081 ± 0.022 | 0.9091 ± 0.016 |
| NMI | 0.6069 ± 0.034 | 0.7145 ± 0.037 | 0.7414 ± 0.051 | 0.7847 ± 0.050 | 0.7691 ± 0.058 | 0.7656 ± 0.053 | 0.8991 ± 0.038 | 0.8971 ± 0.029 | 0.9178 ± 0.010 | |
| Purity | 0.5798 ± 0.037 | 0.8389 ± 0.015 | 0.8955 ± 0.039 | 0.8108 ± 0.037 | 0.8187 ± 0.051 | 0.9345 ± 0.018 | 0.9253 ± 0.035 | 0.9369 ± 0.016 | 0.9362 ± 0.011 | |
| ORL | ACC | 0.4948 ± 0.043 | 0.4573 ± 0.033 | 0.4971 ± 0.047 | 0.3696 ± 0.041 | 0.5865 ± 0.044 | 0.3858 ± 0.052 | 0.6075 ± 0.049 | 0.6071 ± 0.042 | 0.6340 ± 0.012 |
| NMI | 0.6981 ± 0.035 | 0.6094 ± 0.030 | 0.5461 ± 0.038 | 0.5614 ± 0.043 | 0.7580 ± 0.039 | 0.5304 ± 0.057 | 0.7758 ± 0.043 | 0.7696 ± 0.037 | 0.7964 ± 0.010 | |
| Purity | 0.5387 ± 0.034 | 0.6372 ± 0.024 | 0.6421 ± 0.033 | 0.6302 ± 0.041 | 0.6812 ± 0.046 | 0.7044 ± 0.024 | 0.7013 ± 0.034 | 0.6765 ± 0.036 | 0.7110 ± 0.009 | |
| AR | ACC | 0.2205 ± 0.017 | 0.4116 ± 0.018 | 0.4888 ± 0.021 | 0.2866 ± 0.012 | 0.2479 ± 0.019 | 0.4247 ± 0.014 | 0.5056 ± 0.022 | 0.5010 ± 0.026 | 0.5083 ± 0.013 |
| NMI | 0.5797 ± 0.012 | 0.6687 ± 0.012 | 0.7131 ± 0.014 | 0.6022 ± 0.010 | 0.5616 ± 0.009 | 0.6750 ± 0.026 | 0.7466 ± 0.020 | 0.7484 ± 0.018 | 0.6954 ± 0.014 | |
| Purity | 0.2558 ± 0.009 | 0.5090 ± 0.016 | 0.5659 ± 0.018 | 0.3992 ± 0.008 | 0.4545 ± 0.024 | 0.5749 ± 0.028 | 0.5870 ± 0.008 | 0.5502 ± 0.025 | 0.5833 ± 0.012 | |
| COIL20 | ACC | 0.4205 ± 0.041 | 0.5744 ± 0.038 | 0.5776 ± 0.039 | 0.4537 ± 0.024 | 0.5237 ± 0.040 | 0.5341 ± 0.038 | 0.5362 ± 0.032 | 0.6922 ± 0.023 | 0.7119 ± 0.006 |
| NMI | 0.5381 ± 0.035 | 0.7050 ± 0.038 | 0.6888 ± 0.036 | 0.6047 ± 0.034 | 0.6657 ± 0.038 | 0.6628 ± 0.052 | 0.6649 ± 0.032 | 0.7877 ± 0.019 | 0.7977 ± 0.006 | |
| Purity | 0.4559 ± 0.029 | 0.6751 ± 0.020 | 0.6611 ± 0.022 | 0.7190 ± 0.018 | 0.7420 ± 0.042 | 0.7241 ± 0.020 | 0.6106 ± 0.016 | 0.7442 ± 0.011 | 0.7578 ± 0.012 | |
| BA | ACC | 0.2785 ± 0.026 | 0.3711 ± 0.028 | 0.3280 ± 0.027 | 0.3533 ± 0.021 | 0.4088 ± 0.033 | 0.4103 ± 0.034 | 0.4128 ± 0.020 | 0.3643 ± 0.029 | 0.4252 ± 0.016 |
| NMI | 0.4387 ± 0.027 | 0.5249 ± 0.021 | 0.4501 ± 0.030 | 0.5278 ± 0.028 | 0.5361 ± 0.038 | 0.5441 ± 0.033 | 0.5461 ± 0.022 | 0.4997 ± 0.033 | 0.5704 ± 0.015 | |
| Purity | 0.3095 ± 0.025 | 0.4219 ± 0.023 | 0.4383 ± 0.034 | 0.5093 ± 0.012 | 0.5163 ± 0.040 | 0.4573 ± 0.034 | 0.4749 ± 0.021 | 0.5102 ± 0.041 | 0.5386 ± 0.017 | |
| TR11 | ACC | 0.4335 ± 0.053 | 0.4443 ± 0.055 | 0.3364 ± 0.049 | 0.4043 ± 0.036 | 0.4986 ± 0.041 | 0.4016 ± 0.033 | 0.5135 ± 0.023 | 0.5183 ± 0.039 | 0.5234 ± 0.025 |
| NMI | 0.3142 ± 0.031 | 0.3863 ± 0.036 | 0.2375 ± 0.026 | 0.2831 ± 0.035 | 0.4408 ± 0.054 | 0.2744 ± 0.041 | 0.4576 ± 0.040 | 0.4372 ± 0.064 | 0.4752 ± 0.030 | |
| Purity | 0.5043 ± 0.029 | 0.6417 ± 0.032 | 0.5064 ± 0.038 | 0.6254 ± 0.032 | 0.6860 ± 0.057 | 0.6409 ± 0.058 | 0.6886 ± 0.020 | 0.6749 ± 0.044 | 0.6747 ± 0.022 | |
| TR41 | ACC | 0.4452 ± 0.021 | 0.5179 ± 0.026 | 0.5344 ± 0.037 | 0.3885 ± 0.026 | 0.4588 ± 0.033 | 0.4192 ± 0.032 | 0.5555 ± 0.028 | 0.4964 ± 0.034 | 0.5558 ± 0.020 |
| NMI | 0.3657 ± 0.032 | 0.4438 ± 0.047 | 0.4642 ± 0.032 | 0.3635 ± 0.054 | 0.3691 ± 0.050 | 0.3170 ± 0.060 | 0.5345 ± 0.040 | 0.4462 ± 0.051 | 0.5453 ± 0.024 | |
| Purity | 0.5672 ± 0.025 | 0.5934 ± 0.028 | 0.6359 ± 0.040 | 0.6472 ± 0.046 | 0.6361 ± 0.048 | 0.6412 ± 0.034 | 0.6724 ± 0.019 | 0.5966 ± 0.048 | 0.6501 ± 0.019 | |
| TR45 | ACC | 0.4561 ± 0.034 | 0.4771 ± 0.038 | 0.4953 ± 0.041 | 0.5594 ± 0.044 | 0.5632 ± 0.044 | 0.5319 ± 0.037 | 0.6025 ± 0.030 | 0.5284 ± 0.044 | 0.6492 ± 0.026 |
| NMI | 0.3310 ± 0.027 | 0.3909 ± 0.050 | 0.4084 ± 0.035 | 0.4773 ± 0.061 | 0.4995 ± 0.056 | 0.4430 ± 0.036 | 0.5394 ± 0.036 | 0.4570 ± 0.060 | 0.6027 ± 0.030 | |
| Purity | 0.5059 ± 0.031 | 0.6221 ± 0.023 | 0.6781 ± 0.029 | 0.6449 ± 0.040 | 0.6617 ± 0.053 | 0.6989 ± 0.025 | 0.7014 ± 0.015 | 0.6563 ± 0.050 | 0.7060 ± 0.024 | |
| Avg | ACC | 0.4164 ± 0.036 | 0.4994 ± 0.037 | 0.4945 ± 0.037 | 0.4243 ± 0.033 | 0.5006 ± 0.039 | 0.4706 ± 0.038 | 0.5739 ± 0.030 | 0.5654 ± 0.034 | 0.6088 ± 0.017 |
| NMI | 0.4843 ± 0.031 | 0.5466 ± 0.035 | 0.5264 ± 0.033 | 0.5094 ± 0.040 | 0.5672 ± 0.042 | 0.5128 ± 0.046 | 0.6341 ± 0.032 | 0.6172 ± 0.039 | 0.6630 ± 0.016 | |
| Purity | 0.4648 ± 0.029 | 0.6086 ± 0.023 | 0.6233 ± 0.031 | 0.6243 ± 0.031 | 0.6412 ± 0.043 | 0.6675 ± 0.032 | 0.6639 ± 0.021 | 0.6519 ± 0.029 | 0.6886 ± 0.016 |
4.6. Computational Complexity Analysis
4.7. Robustness Experiments
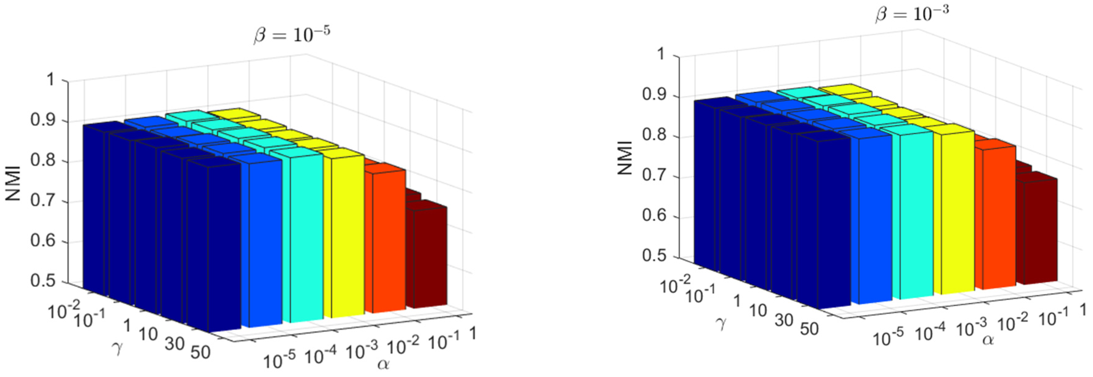
4.8. Parameter Sensitivity Analysis and Convergence Analysis
5. Conclusions
Author Contributions
Funding
Institutional Review Board Statement
Informed Consent Statement
Data Availability Statement
Conflicts of Interest
References
- Li, C.G.; You, C.; Vidal, R. Structured Sparse Subspace Clustering: A Joint Affinity Learning and Subspace Clustering Framework. IEEE Trans. Image Process. 2017, 26, 2988–3001. [Google Scholar] [CrossRef]
- Agrawal, R.; Gehrke, J.; Gunopulos, D.; Raghavan, P. Automatic subspace clustering of high dimensional data for data mining applications. ACM 1998, 27, 94–105. [Google Scholar]
- Qin, Y.; Wu, H.; Zhao, J.; Feng, G. Enforced block diagonal subspace clustering with closed form solution. Pattern Recognit. 2022, 130, 108791. [Google Scholar] [CrossRef]
- Jia, H.; Zhu, D.; Huang, L.; Mao, Q.; Wang, L.; Song, H. Global and local structure preserving nonnegative subspace clustering. Pattern Recognit. 2023, 138, 109388. [Google Scholar] [CrossRef]
- Maggu, J.; Majumdar, A. Kernelized transformed subspace clustering with geometric weights for non-linear manifolds. Neurocomputing 2023, 520, 141–151. [Google Scholar] [CrossRef]
- Ma, Y.; Yang, A.Y.; Derksen, H.; Fossum, R. Estimation of subspace arrangements with applications in modeling and segmenting mixed data. SIAM Rev. 2018, 50, 413–458. [Google Scholar] [CrossRef]
- Hong, W.; Wright, J.; Huang, K.; Ma, Y. Multi-scale hybrid linear models for lossy image representation. IEEE Trans. Image Process. 2006, 15, 3655–3671. [Google Scholar] [CrossRef]
- Elhamifar, E.; Vidal, R. Sparse subspace clustering: Algorithm, theory, and applications. IEEE Trans. Pattern Anal. Mach. Intell. 2013, 35, 2765–2781. [Google Scholar] [CrossRef]
- Shi, X.; Guo, Z.; Xing, F.; Cai, J.; Yang, L. Self-learning for face clustering. Pattern Recognit. 2018, 79, 279–289. [Google Scholar] [CrossRef]
- Ho, J.; Yang, M.H.; Lim, J.; Lee, K.C.; Kriegman, D. Clustering appearances of objects under varying illumination conditions. In Proceedings of the 2003 IEEE Computer Society Conference on Computer Vision and Pattern Recognition, Madison, WI, USA, 18–20 June 2003; Volume 1, pp. 11–18. [Google Scholar]
- Fischler, M.A.; Bolles, R.C. Random sample consensus: A paradigm for model fitting with applications to image analysis and automated cartography. Commun. ACM 1981, 24, 381–395. [Google Scholar] [CrossRef]
- Vidal, R.; Ma, Y.; Sastry, S. Generalized principal component analysis (GPCA). IEEE Trans. Pattern Anal. Mach. Intell. 2005, 27, 1945–1959. [Google Scholar] [CrossRef] [PubMed]
- Lu, C.; Feng, J.; Lin, Z.; Mei, T.; Yan, S. Subspace clustering by block diagonal representation. IEEE Trans. Pattern Anal. Mach. Intell. 2018, 41, 487–501. [Google Scholar] [CrossRef] [PubMed]
- Xiao, S.; Tan, M.; Xu, D.; Dong, Z.Y. Robust kernel low-rank representation. IEEE Trans. Neural Netw. Learn. Syst. 2015, 27, 2268–2281. [Google Scholar] [CrossRef] [PubMed]
- Sekmen, A.; Koku, B.; Parlaktuna, M.; Abdul-Malek, A.; Vanamala, N. Unsupervised deep learning for subspace clustering, in: Big Data (Big Data). In Proceedings of the 2017 IEEE International Conference on IEEE, Boston, MA, USA, 11–14 December 2017; pp. 2089–2094. [Google Scholar]
- Ng, A.Y.; Jordan, M.I.; Weiss, Y. On spectral clustering: Analysis and an algorithm. In Proceedings of the Advances in Neural Information Processing Systems, Vancouver, BC, Canada, 9–14 December 2002; pp. 849–856. [Google Scholar]
- Liu, G.; Lin, Z.; Yan, S.; Sun, J.; Yu, Y.; Ma, Y. Robust recovery of subspace structures by low-rank representation. IEEE Trans. Pattern Anal. Mach. Intell. 2012, 35, 171–184. [Google Scholar] [CrossRef]
- Lu, C.-Y.; Min, H.; Zhao, Z.-Q.; Zhu, L.; Huang, D.-S.; Yan, S. Robust and efficient subspace segmentation via least squares regression. In Proceedings of the European Conference on Computer Vision, Florence, Italy, 7–13 October 2012; Springer: Berlin/Heidelberg, Germany. [Google Scholar]
- Luo, D.; Nie, F.; Ding, C.; Huang, H. Multi-subspace representation and discovery. In Proceedings of the Joint European Conference Machine Learning and Knowledge Discovery in Databases, Athens, Greece, 5–9 September 2011; pp. 405–420. [Google Scholar]
- Lu, C.; Feng, J.; Lin, Z.; Yan, S. Correlation adaptive subspace segmentation by trace lasso. In Proceedings of the IEEE International Conference on Computer Vision, Sydney, NSW, Australia, 1–8 December 2013; pp. 1345–1352. [Google Scholar]
- Feng, J.; Lin, Z.; Xu, H.; Yan, S. Robust subspace segmentation with block diagonal prior. In Proceedings of the IEEE Conference on Computer Vision and Pattern Recognition, Columbus, OH, USA, 23–28 June 2014; pp. 3818–3825. [Google Scholar]
- Chen, S.B.; Ding, C.H.; Luo, B. Similarity learning of manifold data. IEEE Trans. Cybern. 2015, 45, 1744–1756. [Google Scholar] [CrossRef]
- Seung, H.S.; Lee, D.D. The manifold ways of perception. Science 2000, 290, 2268–2269. [Google Scholar] [CrossRef]
- Kang, Z.; Peng, C.; Cheng, Q. Kernel-driven similarity learning. Neurocomputing 2017, 267, 210–219. [Google Scholar] [CrossRef]
- Ji, P.; Reid, I.; Garg, R.; Li, H. Adaptive low-rank kernel subspace clustering. arXiv 2017, arXiv:1707.04974. [Google Scholar]
- Liu, M.; Wang, Y.; Sun, J.; Ji, Z. Adaptive low-rank kernel block diagonal representation subspace clustering. Appl. Intell. 2022, 52, 2301–2316. [Google Scholar] [CrossRef]
- Wang, J.; Saligrama, V.; Castañón, D.A. Structural similarity and distance in learning. In Proceedings of the 2011 49th Annual Allerton Conference on Communication, Control, and Computing (Allerton), Monticello, IL, USA, 28–30 September 2011; pp. 744–751. [Google Scholar]
- Patel, V.M.; Van Nguyen, H.; Vidal, R. Latent space sparse subspace clustering. In Proceedings of the IEEE International Conference on Computer Vision, Sydney, NSW, Australia, 1–8 December 2013; pp. 225–232. [Google Scholar]
- Patel, V.M.; Vidal, R. Kernel sparse subspace clustering. In Proceedings of the 2014 IEEE International Conference on Image Processing (ICIP), Paris, France, 27–30 October 2014; pp. 2849–2853. [Google Scholar]
- Nguyen, H.; Yang, W.; Shen, F.; Sun, C. Kernel low rank representation for face recognition. Neurocomputing 2015, 155, 32–42. [Google Scholar] [CrossRef]
- Haeffele, B.; Young, E.; Vidal, R. Structured low-rank matrix factorization: Optimality, algorithm, and applications to image processing. In Proceedings of the International Conference on Machine Learning, Beijing, China, 21–26 June 2014; pp. 2007–2015. [Google Scholar]
- Kang, Z.; Lu, Y.; Su, Y.; Li, C.; Xu, Z. Similarity Learning via Kernel Preserving Embedding. AAAI 2019, 33, 4057–4064. [Google Scholar] [CrossRef]
- Roweis, S.T.; Saul, L. Nonlinear dimensionality reduction by locally linear embedding. Science 2000, 290, 2323–2326. [Google Scholar] [CrossRef] [PubMed]
- Kang, Z.; Xu, H.; Wang, B.; Zhu, H.; Xu, Z. Clustering with similarity preserving. Neurocomputing 2019, 365, 211–218. [Google Scholar] [CrossRef]
- Peng, X.; Feng, J.; Zhou, J.T.; Lei, Y.; Yan, S. Deep Subspace Clustering. IEEE Trans. Neural Netw. Learn. Syst. 2020, 31, 5509–5521. [Google Scholar] [CrossRef] [PubMed]
- Kang, Z.; Lu, X.; Lu, Y.; Peng, C.; Chen, W.; Xu, Z. Structure Learning with Similarity Preserving. Neural Netw. 2020, 129, 138–148. [Google Scholar] [CrossRef] [PubMed]
- Yang, C.; Ren, Z.; Sun, Q.; Wu, M.; Yin, M.; Sun, Y. Joint correntropy metric weighting and block diagonal regularizer for robust multiple kernel subspace clustering. Inf. Sci. 2019, 500, 48–66. [Google Scholar] [CrossRef]
- Zhang, X.; Xue, X.; Sun, H.; Liu, Z.; Guo, L.; Guo, X. Robust multiple kernel subspace clustering with block diagonal representation and low-rank consensus kernel. Knowl.-Based Syst. 2021, 227, 107243. [Google Scholar] [CrossRef]
- Zhang, Z.; Xu, Y.; Shao, L.; Yang, J. Discriminative block diagonal representation learning for image recognition. IEEE Trans. Neural Netw. Learn. Syst. 2018, 29, 3111–3125. [Google Scholar] [CrossRef]
- Xie, X.; Guo, X.; Liu, G.; Wang, J. Implicit block diagonal low-rank representation. IEEE Trans. Image Process. 2018, 27, 477–489. [Google Scholar] [CrossRef]
- Wang, L.; Huang, J.; Yin, M.; Cai, R.; Hao, Z. Block diagonal representation learning for robust subspace clustering. Inf. Sci. 2020, 526, 54–67. [Google Scholar] [CrossRef]
- Fan, K. On a theorem of Wey1 concerning eigenvalues of linear transformations I. Proc. Natl. Acad. Sci. USA 1949, 35, 652–655. [Google Scholar] [CrossRef] [PubMed]







| Dataset | Type | Instances | Features | Classes |
|---|---|---|---|---|
| YALE | Face | 165 | 1024 | 15 |
| JAFFE | Face | 213 | 676 | 10 |
| ORL | Face | 400 | 1024 | 40 |
| AR | Face | 840 | 768 | 120 |
| COIL20 | Object | 1440 | 1024 | 20 |
| BA | Handwritten digits | 1404 | 320 | 36 |
| TR11 | Text | 414 | 6429 | 9 |
| TR41 | Text | 878 | 7454 | 10 |
| TR45 | Text | 690 | 8261 | 10 |
| Method | Parameter Settings |
|---|---|
| SC | - |
| KSSC | |
| KLRR | |
| SLKEs | |
| SLKEr | |
| SLSPs | |
| SLSPr | |
| IBDLR | |
| KBDSP |
Disclaimer/Publisher’s Note: The statements, opinions and data contained in all publications are solely those of the individual author(s) and contributor(s) and not of MDPI and/or the editor(s). MDPI and/or the editor(s) disclaim responsibility for any injury to people or property resulting from any ideas, methods, instructions or products referred to in the content. |
© 2023 by the authors. Licensee MDPI, Basel, Switzerland. This article is an open access article distributed under the terms and conditions of the Creative Commons Attribution (CC BY) license (https://creativecommons.org/licenses/by/4.0/).
Share and Cite
Yang, Y.; Li, F. Kernel Block Diagonal Representation Subspace Clustering with Similarity Preservation. Appl. Sci. 2023, 13, 9345. https://doi.org/10.3390/app13169345
Yang Y, Li F. Kernel Block Diagonal Representation Subspace Clustering with Similarity Preservation. Applied Sciences. 2023; 13(16):9345. https://doi.org/10.3390/app13169345
Chicago/Turabian StyleYang, Yifang, and Fei Li. 2023. "Kernel Block Diagonal Representation Subspace Clustering with Similarity Preservation" Applied Sciences 13, no. 16: 9345. https://doi.org/10.3390/app13169345
APA StyleYang, Y., & Li, F. (2023). Kernel Block Diagonal Representation Subspace Clustering with Similarity Preservation. Applied Sciences, 13(16), 9345. https://doi.org/10.3390/app13169345

