Abstract
In order to enhance the performance of model-free adaptive control (MFAC) in solving the control problem caused by interference and improve the tracking speed, this paper focuses on the analysis and research of the system affected by interference using the MFAC method. This method is based on dynamic linearization technology, with system data which are represented by a full format dynamic linearization (FFDL) model that is very similar to actual industrial processes. In this work, a control law is derived by incorporating and assigning weights to both the output error and the output error rate (OER) as the performance index. Rigorous proofs are provided to establish convergence and stability. Considering the inherent complexity of actual systems, this paper also presents the MFAC-OER scheme for multiple-input–multiple-output (MIMO) systems. Furthermore, the effectiveness and practicality of the improved control strategy are evaluated through numerical arithmetic examples and control processes involving water level regulation in a circulating fluidized bed (CFB). Comparisons with conventional MFAC and PID control methods show that the enhanced control method is capable of quickly and accurately tracking the desired signal. Additionally, it exhibits superior anti-interference characteristics and is able to respond in a timely manner to changes in the operating conditions of the circulating fluidized bed system. As a result, it ensures the normal operation of the coal saver and water supply pipe without damage.
1. Introduction
For many practical industrial production processes, especially complex ones, there exists an increasing amount of data as well as significant nonlinearities and coupling relationships. It becomes difficult to find an accurate mathematical model (with the order and parameters being hard to obtain). This results in model-based control methods that are cumbersome to design and do not easily achieve the desired control performance. Model-free control is an effective way to settle such problems. Typical model-free methods include PID [1] and PID combined with other algorithms [2]. There are some other model-free control methods. A model-free RBF neural network control was proposed in reference [3]. In [4], a model-free control method was proposed for the security control problem of systems with unknown dynamic model physical information under DoS attack. Reference [5] studied the data-driven repetitive learning controller. In addition, there is a classical virtual reference feedback rectification method [6]. Through the research and promotion of many experts and scholars, the above methods achieved different degrees of development and were successfully applied to many practical systems.
Although the commonly used PID control method does not require the creation of a model, it is optimal for linear systems rather than nonlinear, time-varying, and strongly coupled systems. As a result, its response speed is slow and control performance is unsatisfactory [7,8]. To address these issues, two alternative control methods are proposed in [9,10]. The first method is a supervised control approach based on the deep belief network (DBN) algorithm, which is specifically designed for systems with nonlinear disturbances. This method enhances the control performance by learning and adapting to changes in the system structure. Furthermore, [9] describes an extended state observer (ESO). The observer ensures fast convergence with sufficient speculative accuracy, thus guaranteeing stability in the presence of nonlinear air gaps within the train system. In [10], the control method integrates a radial basis function (RBF) network to tackle uncertainty problems. By incorporating the RBF network into the control scheme, the system can quickly recover from disturbances and maintain high-quality control. Another effective solution is the MFAC method. This method has the advantages of being both parameter-adaptive and structure-adaptive, as described in [11,12]. This nonlinear adaptive control method offers flexibility and adaptability in various scenarios.
MFAC was proposed by professor Hou [13]. The general idea is to build an equivalent model in the working point of the discrete system. After years of development, many effective algorithms have been proposed [14,15,16]. And, they have been applied to practical industrial production [17,18,19].
For complex industrial processes with strong nonlinearity and strong coupling, research into MFAC is very important. However, the tracking speed and robustness of MFAC need to be further improved. To address the slow tracking speed of MFAC, Ref. [20] proposes an adaptive control law for the output error rate based on the CFDL data model. The effectiveness of the improved control strategy is verified and satisfactory results are obtained through the dynamic model of the absorption refrigerator. However, the CFDL data model is not suitable for multi-order systems. In [21], a model-free adaptive denoising control method with an improved tracking differentiator is proposed. The simulation results show that the method can quickly track the given signal. However, if the given signal is time-varying, the tracking effect will be affected. When there is external disturbance in the system, the output error of the system will converge to a constant [22]. Therefore, the existence of disturbance will significantly affect the robustness of the MFAC scheme. Aiming at the problem of poor robustness of MFAC, Refs. [23,24] introduced dead-zone links and a decay factor into the MFAC control law, which makes the control algorithm stop updating to realize disturbance suppression under certain conditions. By introducing a low-pass filter, Ref. [25] first filters out the high-frequency measurement noise, and then inputs the filtered data into the MFAC controller. However, the most common types of white noise in the industry are complex, and it is difficult to obtain accurate noise information.
Based on the viewpoints discussed above, this paper presents an improved MFAC method with OER based on the dynamic linearization approach. Firstly, the nonlinear model is converted into an FFDL data model, which relates the output to both input and output variables. This conversion helps to enhance the tracking speed of MFAC. Additionally, the OER is introduced into the new performance index function to further improve the tracking performance by considering the output error. Secondly, in order to mitigate the impact of the output error, the two components are combined and weighted appropriately. By effectively fusing these components, the control scheme can better handle deviations caused by the output error. Moreover, recognizing the practicality of MIMO systems, this paper extends the proposed scheme to accommodate such systems. Towards the end of the paper, the validity of the proposed method is demonstrated through numerical simulations involving several typical objects. Furthermore, the method is successfully applied to drum water level control in a CFB boiler. The simulation results establish that the MFAC-OER method exhibits superior control performance compared to both MFAC and PID methods under different operational conditions.
The main contributions of this work are highlighted as follows:
- (1)
- Model-free adaptive control: At each sampling point, the equivalent dynamic linearization data model of the nonlinear system is established, and the time-varying parameter vector is estimated online through the I/O data of the control system. The FFDL method used in this paper takes into account the relationship between the output variation at the next moment and the input and output during a certain period. Although the dimension of the data model has increased, the design and selection of parameter estimation algorithms are more flexible. It is more adaptable to the time-varying structure and parameters of the system.
- (2)
- Model-free adaptive control with output error rate: In this work, a new control law based on the MFAC method is proposed. In order to improve the tracking and convergence speed, the output error rate is introduced into the control input performance index function. Thus, the improved FFDL-MFAC-OER control scheme is obtained and validated by the circulating fluidized bed boiler drum water level control system.
- (3)
- Extension of MIMO scheme: Considering that most of the practical systems are MIMO systems and in order to improve the applicability of the method in this paper, the MFAC-OER control scheme is further extended to MIMO systems. And, it is verified by numerical simulation.
The rest of the structure of this paper is as follows. Section 2 introduces the basic theory of FFDL-MFAC. Section 3 presents the improved MFAC-OER based on the output error rate, including the complete convergence and stability analysis and the promotion of the MIMO scheme. In Section 4, the effectiveness and superiority of the proposed method are verified by numerical analysis and field experiments of the CFB boiler drum water level system.
2. Traditional Model-Free Adaptive Controller
This chapter introduces the derivation process of the traditional MFAC method, which lays a theoretical foundation for the subsequent improved MFAC-OER algorithm.
2.1. Dynamic Linearization
For many practical systems, its order is generally multi-order, which leads to its output depending on the input and output at a certain moment. Based on the above considerations, the FFDL method is used in this paper to linearize the data. The FFDL method adds the influence of the input and output within a fixed length on the system. Theoretically, the method can both capture the complex dynamics in the original system and effectively reduce the complexity of the system [5,18].
Consider the following SISO discrete-time nonlinear system
where , denote the input and output of the system at time t; , are the output and output orders, respectively; is a nonlinear and time-varying function.
is defined as a matrix of all control inputs and all system outputs at a fixed time, as follows:
where are the length constants of the system output and control input linearization, respectively, also known as the pseudo-order.
For the nonlinear system (1), the two following assumptions are given.
Assumption 1 ([18,19]).
The nonlinear time-varying function has partial derivatives for all variables of the system.
Assumption 2 ([18,19]).
System (1) satisfies the following generalized Lipschitz condition, for any and :
where b is a constant greater than 0. Denoting .
Theorem 1 can be obtained from Assumption 1 and Assumption 2.
Theorem 1 ([19]).
Consider that the discrete-time nonlinear system (5) satisfies Assumptions 1 and 2, for any , and . Then, there must be a time-varying parameter vector , which is called a pseudo gradient (PG), so that system can be transformed into the following FFDL data model:
At any time t, the parameter matrix is bounded.
Remark 1.
Theorem 1 has been rigorously proven by [19]. Different FFDL data models can be obtained by selecting different linearization length constants. However, the increase in linearization length will inevitably cause difficulties in the design of the control system. The dimension of the PPJM will double with the increase in the system dimension and linearization length. On the other hand, the increase in linearization length does not necessarily improve the performance of the system because each system has a suitable linearized data model. Therefore, a reasonable choice of time-varying parameter vectors and length constants can improve the accuracy of the data model in system description.
2.2. Traditional Model-Free Adaptive Control Scheme
Traditional MFAC considered the following performance index function:
where is the reference output; is a weight factor, which limits the change of control input.
By solving the first-order partial differential of in Equation (5) and making it 0, the following control law expression can be obtained:
where the step factor is added to make the algorithm FFDL-MFAC design process more flexible.
Next, we need to estimate the time-varying parameter vector in real time, and introduce the parameter estimation criterion function
where the weight factor constrains the rate of change of adjacent parameters. On the other hand, the choice of parameter affects the accuracy of the estimated value of the time-varying parameter matrix. We continuously adjust the size of the parameter until the system control performance is optimal (there is no specific parameter value for the estimation of the time-varying parameter matrix; however, the estimation results are for control purposes, so we judge the parameter selection problem by observing the control performance).
Minimizing the parameter estimation criterion function (7), the following parameter estimation algorithms can be obtained
where is the estimated value of ; and is the step factor.
In order to enhance the robustness of the system, the parameter reset algorithm is given.
Therefore, the FFDL-MFAC control scheme can be organized as follows:
Remark 2.
When the sampling period and are small, the interaction between the time-varying parameter vector and can be ignored [26].
Remark 3.
Algorithms (8) and (10) are independent of the mathematical model of the controlled system. The update of the pseudo partial derivative estimate is only related to the online I/O data of the control system. For the convenience of description, let , and other cases are similar.
Remark 4.
It is worth noting that, according to the work of [27], parameter can be more quickly estimated by a low-pass filter containing iterative time integration.
3. Model-Free Adaptive Control Design with Output Error Rate (MFAC-OER)
In order to improve the problem of slow tracking speed and the poor denoising ability of the FFDL-MFAC method, this chapter considers adding the output error rate to the objective function, derives a new control law, and extends it to the MIMO system. Finally, strict convergence and stability analysis are carried out.
3.1. Improved Control Strategy
To reduce the tracking time, we refer to the idea of [22] and propose the following calculation criteria based on Formula (5):
where is the output error; is a weight factor, which balances the weight between the output error and the output error rate.
Equation (11) limits the influence of a large error on control input by introducing , and the control law can be optimized by being adjusted. Moreover, the addition of the output error rate enables the system to reach steady state faster [22].
By solving the first-order partial differential of in Formula (11) and making it 0, the following control law expression can be obtained:
To sum up, the control scheme of this paper is organized as follows:
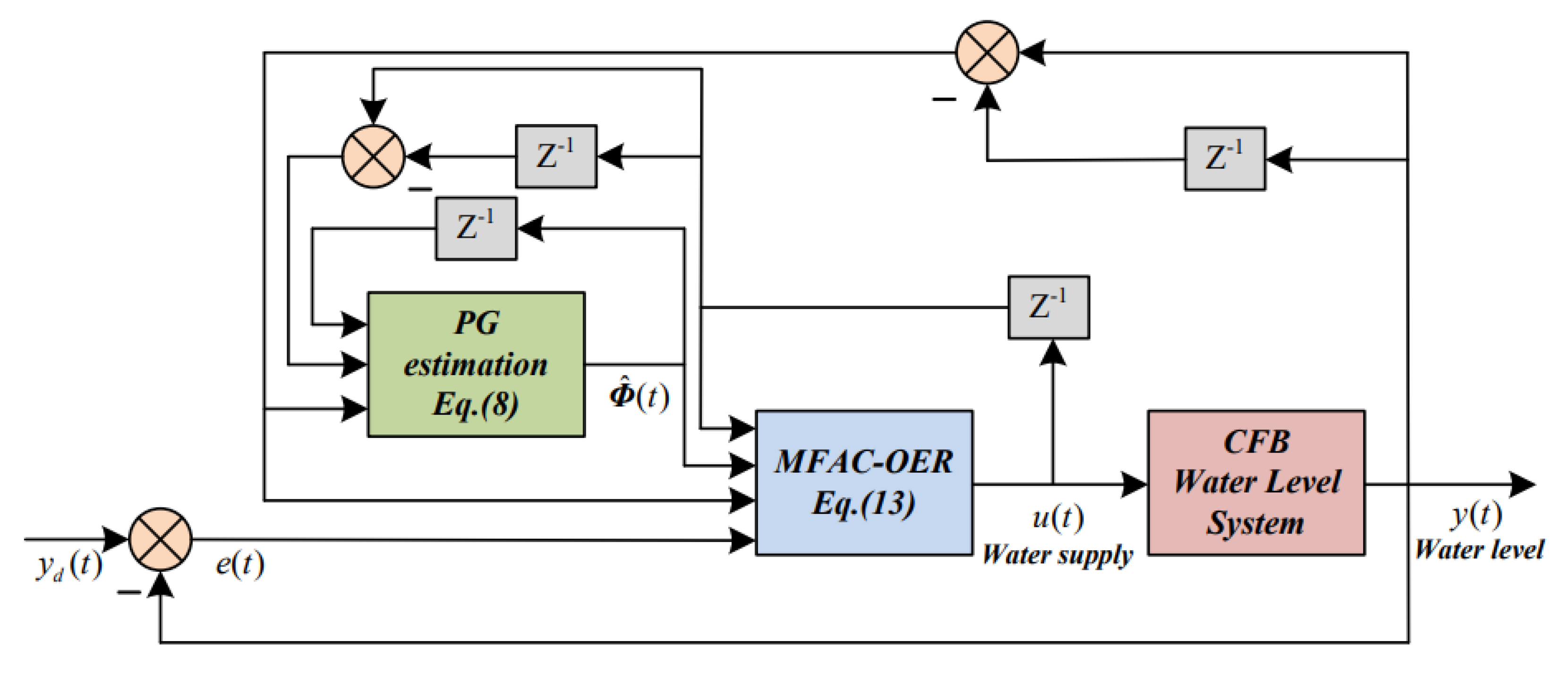
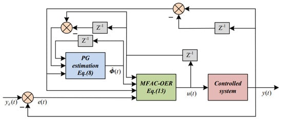
The control block diagram is shown in Figure 1. It can be seen that the estimated value of PG is one of the components of the control law, thus obtaining the control . Then, the control signal is fed back to the controlled system to complete the control of the whole system.
Figure 1.
The improved control system block diagram.
3.2. MIMO-MFAC-OER
Considering that most of the practical systems are MIMO systems, in order to improve the applicability of the method in this paper, the MFAC-OER control scheme is further extended to MIMO systems.
Consider the following MIMO discrete-time nonlinear systems
where are the input and output of the system at time t, respectively; , are the orders of input and output, respectively; and is an unknown nonlinear time-varying function.
Define as a matrix consisting of control inputs within the sliding time window and outputs within the sliding time window , as follows:
where are the length constants of the linearization of the system output and control input, respectively, also called pseudo-orders.
According to the SISO scheme (13), the FFDL-MFAC-OER scheme of MIMO is derived
where, at any time t, the time-varying parameter matrix is bounded, and is the corresponding submatrix, ; is the estimated value of .
3.3. Stability Analysis
The following only shows the proof process of the SISO scheme, and the process of the MIMO scheme is similar. The stability proof of this paper is divided into three parts, namely pseudo partial derivative estimate boundedness, algorithm convergence, and output sequence and input sequence boundedness proof. In order to make the proof more rigorous, the following assumptions are given.
Assumption 3 ([20]).
For any time t, when , the sign of PPD remains unchanged and satisfies the conditions , where ε is a very small positive real number.
Assumption 3 is similar to the assumption that the control direction is known in model-based control theory. This assumption indicates that, as the control input becomes larger, the system output does not decrease, and vice versa. Many actual controlled objects meet this limitation.
Assumption 4 ([5]).
System (1) will not be affected by severe external factors during operation. In other words, when Assumption 3 is satisfied and the sampling time is small enough, the output variation tends to be infinitesimal when the system tends to be stable.
Theorem 2.
For a nonlinear system (1) satisfying Assumptions 1–3, using the control algorithm proposed in this paper, the system satisfies:
- (1)
- The pseudo-partial derivative estimate is bounded;
- (2)
- ;
- (3)
- The output sequence and the input sequence are bounded.
Proof 1.
The pseudo-partial derivative estimate is bounded.
Let . Subtracting on both sides of formula (17)
Substituting the dynamic linearized data model (4) into formula (18), we can obtain
Since the time-varying parameter vector is bounded, let its upper bound be . The formula (19) takes the norm on both sides and can be derived.
Squaring and expanding the first term on the right side of Equation (20)
Due to the step factor , and , it is not difficult to obtain
From Equation (23), we can deduce that there must be a number such that the following inequality holds
From Equation (25), it can be concluded that the parameter estimation error is bounded, and because is bounded, the estimated value is bounded. The conclusion (1) of this Theorem 2 is proven. □
Proof 2.
. For the convenience of proof, let , .
Substituting the data model Equation (4) into the error expression can obtain:
Furthermore, substituting the control law (10) in Equation (26) to obtain:
Since the time-varying parameter vector is bounded, enabling the upper bound of its elements to be , we know that:
let . Using the inequality , Equation (28) can be further expressed as:
Since are all bounded constants, and the system satisfies Assumption 3 and , it can be obtained
Equation (30) can be explained in that ; as such, conclusion (2) of Theorem 2 is proven. □
Proof 3.
The output sequence and input sequence are bounded.
Since the error and expectation are bounded, it is easy to know that the output sequence is bounded—it must simply be proven that the input sequence is bounded. According to Equations (10) and (27), and Assumption 3, the following formula can be obtained:
Using inequalities and , we can obtain
Furthermore, from Equations (31) and (32), we can obtain
Since and M are bounded, it is not difficult to establish that the input sequence is bounded.
To sum up, the conclusion (1)–(3) of Theorem 2 are proven. □
4. Simulation Experiment and Analysis
4.1. Simulation Environment
The experiments in this paper are divided into two groups. In the first set of experiments, numerical simulation experiments are conducted using the proposed algorithm and traditional model-free adaptive control. In the second set of experiments, the disturbance signal is added and the proposed method is applied to the control of the CFB boiler turbine water level to verify the effectiveness of the proposed algorithm. The traditional model-free adaptive control and PID control are also added, and the regulation time, MSE, and MAE are compared and analyzed to verify the advantages of the method.
4.2. Experiment 1: Numerical Simulation
In order to verify the performance of the proposed algorithm in nonlinear tracking problems, the MIMO-FFDL-MFAC and MIMO-FFDL-MFAC-OER algorithms are compared and simulated under time-varying signals by selecting typical nonlinear controlled objects. The first set of simulation object is the following MIMO system:
where is a white noise signal with mean 0 and variance 1. It can be seen from the specific structure of the model that the system is a coupling system with three inputs and three outputs. The desired trajectory is set as follows:
where the function of the is to generate N point row vectors between , and the adjacent data span is the same; and N are the starting value, the ending value, and the number of elements, respectively.
The initial condition of the system is set to , . The MFAC and MFAC-OER controller parameters are set to , , , ,
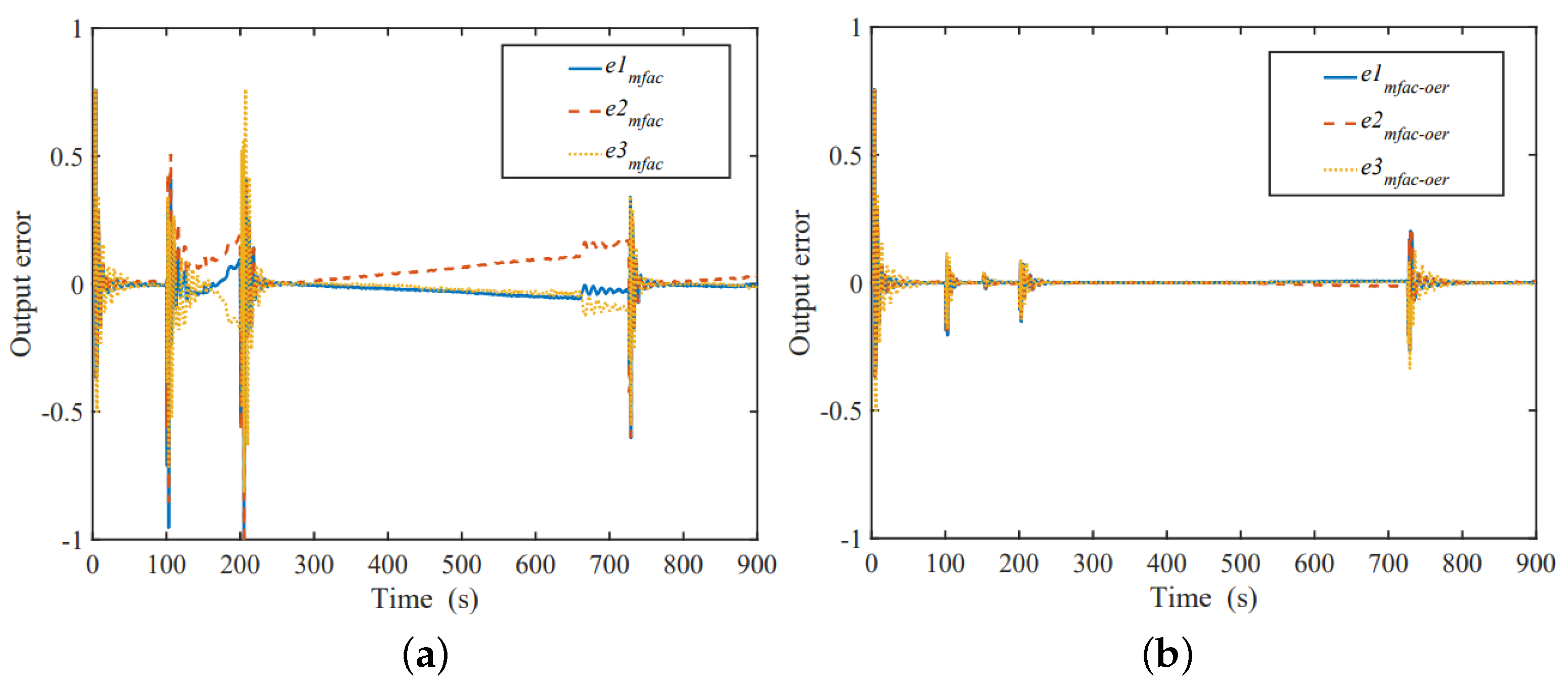
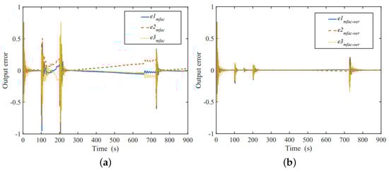
Figure 2 is the system output curve of the MFAC and MFAC-OER methods. Figure 3 is the corresponding output error diagram. From the local zoom of the output curves, it can be seen that, when the expected output changes, the MFAC-OER method can reach the steady state within 10 s, while MFAC takes more than 20 s. For the rise time, the MFAC-OER method is almost half of the MFAC. In addition, from the error change curve, it can be seen that the MFAC-OER not only has the fast tracking characteristic, but can also effectively suppress the influence of external interference, and the overall tracking effect is better than the traditional MFAC.
Figure 2.
Two control methods’ system output curves: (a) MFAC output curve; and (b) MFAC-OER output curve.
Figure 3.
Two control methods’ system output error curves: (a) MFAC output error curve; and (b) MFAC-OER output error curve.
From the error-related indexes in Figure 3 and Table 1, it can be seen that the proposed MFAC-OER method has better tracking performance than the traditional MFAC method regardless of whether the given signal is constant or changing. The MAE and MSE values of MFAC-OER are half to one-third of those of traditional MFAC. In summary, MFAC-OER not only has fast tracking characteristics but has stronger robustness.
Table 1.
Several performance indexes of each control method.
- (1)
- Mean absolute error performance (MAE)
- (2)
- Mean square error performance (MSE)
4.3. Experiment 2: Circulating Fluidized Bed Boiler Drum Water Level Control
In the second set of experiments, the method is applied to the drum water level control of the CFB boiler. The effectiveness of the algorithm is verified by the boiler equipment of the Quzhou special equipment inspection center. The traditional MFAC and PID controls are added, and the regulation time, MSE, and MAE are comparatively analyzed.
The operation of the CFB boiler can be divided into three processes: fuel combustion, flue gas heat transfer, and water vaporization.
- (1)
- Combustion process: The fuel is sent into the furnace by the coal hopper through the coal feeder, the coal feeding air, and the coal seeding air. When the coal reaches the combustion temperature, it burns and moves backward.
- (2)
- Heat transfer process: The combustion of fuel releases heat, and the flue gas has a strong radiation heat transfer with the water pipe in the furnace. Then, the flue gas enters the tail flue, exchanges heat with the economizer and preheater, and is finally discharged from the chimney.
- (3)
- Vaporization process: It is the process of steam generation, including water cycle and steam–water separation. The chemically treated water is deoxygenated by the deaerator and preheated by the economizer to enter the drum. The CFB boiler process flow is shown in Figure 4.
Figure 4. The block diagram of the CFB boiler water system.
The main control goal of the steam–water system of the CFB boiler is to track the steam load requirements according to the feed water flow of the boiler, control the steam temperature within a certain range, and ensure the safe, stable, and energy-saving operation of the boiler and turbine. According to the characteristics of the steam–water system, it can be controlled in two aspects, that is, the drum water level control and main steam temperature control. In the steam–water system of the CFB boiler (in the dotted box of Figure 4), water flows out from the water supply device, and the steam drum is removed after moderate heating by the economizer. In addition, the water supply device also supplies water to the desuperheater, so that the temperature change of the main steam is not too large. The main steam passes through the steam–water separation device and the superheater, and finally becomes the finished steam through the desuperheater [28,29]. Figure 5 is a simplified flow chart of the steam–water system in the dotted box in Figure 4 [21].
Figure 5.
The simplified block diagram of the CFB boiler water system.
In CFB boilers, the drum water level represents the balance between the boiler load and water supply. Therefore, in order to ensure the stability and efficiency of the boiler, it is very important to keep the water level within a reasonable working area.
The virtual line frame in Figure 5 is the drum water level part of the steam–water system. The purpose of the drum water level control is to:
- (1)
- Keep the drum water level within a reasonable operating area. If the water level is too high and exceeds the normal level, it will lead to a problem in the steam–water separation process. In addition, if the steam carries too much water, it will bring too much dirt to the superheater wall and turbine blades, and even the blades will be damaged by the impact of the water flow. If the water level is too low, it will lead to an abnormal water circulation process, which will destroy the normal operation of the whole system [30].
- (2)
- Maintain the amount of water supply within a reasonable working range, thus ensuring that the economizer and water supply pipe work normally without damage.
Because of the time-varying physical characteristics of convection tube bundles, the valve position changes according to the boiler drum capacity and requires a certain amount of time to reflect the water level changes, so a certain time delay exists in the system. Moreover, there are large disturbances in the system due to the influence of temperature, environment, and equipment losses [21,31]. To sum up, the drum water level system has no exact mathematical model, and it is accompanied by disturbance. Thus, the application of the MFAC method is a right choice.
Due to the impact on the efficiency, time consumption, and production of the unit, the on-site debugging of the drum water level control system is avoided. Instead, we choose to construct a model of the actual system. MATLAB software, along with its integrated Simulink toolbox, is utilized for simulation purposes. The fuzzy logic toolbox within MATLAB provides powerful capabilities, including fuzzy logic inference systems and graphical user interfaces. This facilitates the rapid design of fuzzy controllers and system generation, ensuring convenience, speed, and visualization.
The feedwater in the economizer is preheated by the flue gas before being introduced into the steam drum’s water space. At this point, the boiler water, located at the top of the boiler, flows downward through downcomer pipes outside the furnace due to its own weight. After entering the water-wall tubes through the lower header box, the boiler water undergoes heat absorption and vaporization. During this period, a large amount of steam–water mixture forms in the drum, while the simultaneous separation of the steam and water occurs. The aforementioned water-wall tubes are laid around the furnace and are commonly referred to as upcomers. Subsequently, the boiler water circulates and vaporizes continuously within the downcomer pipes, upcomers, and drum. The saturated steam accumulated in the upper part of the drum passes through the superheater, where it is continually heated, ultimately becoming superheated steam. Finally, the superheated steam enters the main steam pipeline and goes into the turbine. The specific operation process is shown in the following Figure 6.
Figure 6.
Circulating fluidized bed boiler water system experiment platform.
In this case, the simulation model for the drum water level three-equalizing control system is based on the DHX25-1.25-AII circulating fluidized bed boiler, which has a rated evaporation capacity of 25 t/h and a rated pressure of 1.25 Mpa. Through extensive experimental analysis and verification, the technical parameters of this boiler were used. Considering the previous description of the dynamic characteristics of the water level and referencing relevant literature, the transfer function expression for the drum water level under disturbances from the steam flow and feedwater flow can be calculated [21,31]:
where T is the pure lag time under the disturbance of water supply; is the water level reaction time; is the transfer function of the control system; s is a complex variable in the transfer function; and k is the proportional coefficient.
Remark 5.
The transfer function of the system can be transformed into a difference equation. The system parameters are identified using the least square method with the forgetting factor [32,33], and the mathematical model of the system is obtained.
In this experiment, with the parameters , , the model is only used to provide input and output data. Given the reference signal ; the MFAC and MFAC-OER controller parameters are set to , , , , , , , . The PID controller parameters are set to , , . The MFAC-OER drum water level simple control block diagram is shown in Figure 7.
Figure 7.
The control block diagram of the CFB boiler water system.
Figure 8 is the boiler bubble water level output diagram of MFAC-OER, MFAC, and PID. The change of the curve can reflect the respond time of the system. Figure 9 is the corresponding water level output error diagram, which can more intuitively reflect the response of the system. Table 2 is the corresponding performance index, which directly reflects the respond accuracy. From the water output diagram and the corresponding water output error diagram, the FFDL-MFAC-OER method has an effective respond accuracy. The water level error range is between ( m, m) (except for the change in working conditions), and has fast tracking characteristics. It is superior to FFDL-MFAC and PID methods, and can effectively suppress the influence of interference, thus maintaining the water level. The performance indicators of Table 2 are analyzed as follows: For the rise time, as shown in Table 2, the MFAC-OER is one-third of the PID; in terms of adjustment time, the MFAC-OER method is less than the MFAC method, and is much lower than the PID adjustment time. The value by the MFAC-OER is much smaller than that by the PID, indicating that it has higher accuracy and better stability.
Figure 8.
Three control methods’ system water level output curves: (a) PID water level output curve; (b) MFAC water level output curve; and (c) MFAC-OER water level output curve.
Figure 9.
Three control methods’ system water level output error curves: (a) PID water level output error curve; (b) MFAC water level output error curve; and (c) MFAC-OER water level output error curve.
Table 2.
Comparison of several performance indexes of each control method.
In addition, it can be seen from Figure 8 and Figure 9 that the MFAC-OER method can still respond to feedback faster under variable operating conditions. This results in the better tracking of the given boiler bubble water level, which further confirms the effectiveness of the proposed method.
Figure 10 shows the water supply input change curves of the MFAC-OER, MFAC, and PID methods, which reflects the input stability. Stable control input change can reduce the energy loss and daily maintenance cost. It is not difficult to see that the water supply maintained by the MFAC-OER method has been in a reasonable working range. The water supply is always stable at 5 m from 0 s to 500 s and 7 m from 500 s to 1000 s, with little change. When the working condition changes (500 s), it can also respond quickly; in MFAC and PID, the water supply of 6 m from 0 s to 500 s and the water supply of 9 m from 500 s to 1000 s has been in a large fluctuation process, which is greatly affected by interference and is prone to being large or even small. If it is too high, exceeding the normal water level will lead to problems in the steam–water separation process; an excessively low water level will lead to an abnormal water cycle. In addition, the frequent adjustment of the water supply will also lead to a greater loss of system components. After a long period of operation, it is proven that the MFAC-OER method of the CFB water level has the following advantages: stable drum water level, sensitive control, high safety and reliability, effectively avoiding the interference of internal and external disturbance factors, and meeting the control requirements.
Figure 10.
Three control methods’ system water supply input curves: (a) PID water supply input curve; (b) MFAC water supply input curve; and (c) MFAC-OER water supply input curve.
5. Conclusions
Based on the MFAC method, this study proposes a new nonlinear MFAC-OER method. The convergence and stability of the new control method are rigorously proven. The efficacy and advantages of the proposed method are demonstrated through a transfer function model of the circulating fluidized bed boiler drum level and on-site testing in the laboratory platform. Experimental results show that the proposed MFAC-OER method is significantly better than the MFAC and PID methods under different operating conditions, as follows:
- (1)
- Compared to the MFAC and PID methods, the tracking speed is improved by 2–3 times, enhancing the fast response characteristic of the MFAC strategy.
- (2)
- Compared to the MFAC and PID methods, the MAE and MSE are approximately half of that of the MFAC method and much smaller than the PID method. This indicates higher accuracy and better stability. Even under varying operating conditions, the MFAC-OER method can still respond more quickly to feedback and better track the desired boiler drum level.
- (3)
- The feedwater flow rate maintained by the MFAC-OER method remains within a reasonable working range without significant fluctuations. It can quickly respond to changes in the operating conditions.
The MFAC-OER method is proven to be effective in the actual SISO system through the boiler drum water level transfer function model. In future work, two main factors will be considered: the method is applied to the actual system of MISO or MIMO.
Author Contributions
Conceptualization, J.X. and F.X.; methodology, J.X. and Z.S.; software, Z.S.; validation, J.X. and F.X.; formal analysis, Z.S.; resources, J.X. and Y.W.; writing—original draft preparation, J.X. and F.X.; writing—review and editing, J.X. and F.X.; supervision, Z.S.; funding acquisition, Y.W. and Z.S.; experimental assistance: Y.W. All authors have read and agreed to the published version of the manuscript.
Funding
This research was funded by Zhejiang Province Basic Public Welfare Research Project (LGC22E050006).
Institutional Review Board Statement
Not applicable.
Informed Consent Statement
Not applicable.
Data Availability Statement
The (DATA TYPE) data used to support the findings of this study are included within the article.
Conflicts of Interest
The authors declared no conflict of interest.
References
- Wang, Z.H.; Zhang, J. Incremental PID controller-based learning rate scheduler for stochastic gradient descent. IEEE Trans. Neural Netw. Learn. Syst. 2022, 1–12. [Google Scholar] [CrossRef]
- Irshad, M.; Ali, A. IMC based robust PI/PID controllers for time-delayed inverse response processes. ISA Trans. 2023, 134, 278–289. [Google Scholar] [CrossRef]
- Fei, C.G.; Qin, J.J. Model-free RBF sliding mode control based on HOD designed for quadrotor. Control Decis. 2023, 38, 690–698. [Google Scholar] [CrossRef]
- Jin, D.; Wu, Q.; Chen, B.; Yu, L. Model-free H∞ control for cyber-physical systems under DoS attacks. Control. Decis. 2022, 37, 2565–2574. [Google Scholar] [CrossRef]
- Song, Q.; Meng, D.Y.; Liu, F. Consensus-based iterative learning of heterogeneous agents with application to distributed optimization. Automatica 2022, 137, 110096. [Google Scholar] [CrossRef]
- Jin, S.T.; Zhao, R.L.; Hou, Z.S.; Chi, R.H. Improved model free adaptive control approach with virtual reference feedback tuning. Control. Decis. 2015, 30, 2175–2180. [Google Scholar]
- Zhu, Z.F.; Liu, Y.J.; He, Y.L.; Wu, W.H.; Wang, H.Z.; Huang, C.; Ye, B.L. Fuzzy PID control of the three-degree-of-freedom parallel mechanism based on genetic algorithm. Appl. Sci. 2022, 12, 11128. [Google Scholar] [CrossRef]
- Wrat, G.; Bhola, M.; Ranjan, P.; Mishra, S.K.; Das, J. Energy saving and Fuzzy-PID position control of electro-hydraulic system by leakage compensation through proportional flow control valve. ISA Trans. 2020, 101, 269–280. [Google Scholar] [CrossRef] [PubMed]
- Sun, Y.; Xu, J.; Wu, H.; Lin, G.; Mumtaz, S. Deep learning based semi-supervised control for vertical security of maglev vehicle with guaranteed bounded airgap. IEEE Trans. Intell. Transp. Syst. 2021, 22, 4431–4442. [Google Scholar] [CrossRef]
- Sun, Y.G.; Xu, J.Q.; Lin, G.B.; Sun, N. Adaptive neural network control for maglev vehicle systems with time-varying mass and external disturbance. Neural Comput. Appl. Line 2023, 35, 12361–12372. [Google Scholar] [CrossRef]
- Ma, Y.S.; Che, W.W.; Deng, C. Distributed model-free adaptive control for learning nonlinear MASs under DoS attacks. IEEE Trans. Neural Netw. Learn. Syst. 2023, 34, 1146–1155. [Google Scholar] [CrossRef] [PubMed]
- Ma, Y.S.; Che, W.W.; Deng, C. Dynamic event-triggered model-free adaptive control for nonlinear CPSs under aperiodic DoS attacks. Inf. Sci. 2022, 589, 790–801. [Google Scholar] [CrossRef]
- Hou, Z.S. Nonlinear System Parameter Identification, Adaptive Control and Model Free Adaptive Learning Control. Ph.D. Dissertation, Northeastern University, Beijing, China, 1994. [Google Scholar]
- Wang, H.Z.; Fang, L.J.; Song, T.Z.; Xu, J.Q.; Shen, H.S. Model-free adaptive sliding mode control with adjustable funnel boundary for robot manipulators with uncertainties. Rev. Sci. Instrum. 2021, 92, 065101. [Google Scholar] [CrossRef]
- Liu, S.D.; Hou, Z.S.; Zhang, X.; Ji, H.H. Model-Free adaptive control method for a class of unknown MIMO systems with measurement noise and application to quadrotor aircraft. IET Control. Theory Appl. 2020, 14, 2084–2096. [Google Scholar] [CrossRef]
- Pan, X.L.; Xian, B. Model-free adaptive robust control design for a small unmanned helicopter. Control. Theory Appl. 2017, 34, 1171–1178. [Google Scholar]
- Shi, W.S. Research on automatic train operation based on model-free adaptive control. J. China Railw. Soc. 2016, 38, 72–77. [Google Scholar]
- Xiong, S.S.; Hou, Z.S. Model-free adaptive control for unknown MIMO nonaffine nonlinear discrete-time systems with experimental validation. IEEE Trans. Neural Netw. Learn. Syst. 2020, 33, 1727–1739. [Google Scholar] [CrossRef]
- Hou, Z.S.; Xiong, S.S. On model-free adaptive control and its stability analysis. IEEE Trans. Autom. Control. 2019, 64, 4555–4569. [Google Scholar] [CrossRef]
- Dong, N.; Lv, W.; Zhu, S.; Gao, Z.; Grebogi, C. Model-free adaptive nonlinear control of the absorption refrigeration system. Nonlinear Dyn. 2022, 107, 1623–1635. [Google Scholar] [CrossRef]
- Dong, N.; Zhu, S. Model-free Adaptive De-noising Control and Its Application. J. Hunan Univ. (Natural Sci.) 2020, 47, 74–81. [Google Scholar]
- Zhou, L.; Li, Z.Q.; Yang, H.; Fu, Y.T.; Yan, Y. Data-Driven Model-Free Adaptive Sliding Mode Control Based on FFDL for Electric Multiple Units. Appl. Sci. 2022, 12, 10983. [Google Scholar] [CrossRef]
- Bu, X.H.; Hou, Z.S.; Yu, F.; Wang, F. Robust model free adaptive control with measurement disturbance. IET Control Theory Appl. 2012, 6, 1288–1296. [Google Scholar] [CrossRef]
- Bu, X.H. On Robustness of Data-Driven Model Free Adaptive Control and Learning Control. Ph.D. Dissertation, Beijing Jiaotong University, Beijing, China, 2011. [Google Scholar]
- Bu, X.H.; Hou, Z.S.; Jin, S.T. The robustness of model-free adaptive control with disturbance suppression. Control Theory Appl. 2011, 28, 358–362. [Google Scholar]
- Wang, Y.S.; Hou, M.D. Model-free adaptive integral terminal sliding mode predictive control for a class of discrete-time nonlinear systems. ISA Trans. 2019, 93, 209–217. [Google Scholar] [CrossRef]
- Fliess, M.; Join, C. Model-free control. Int. J. Control 2013, 86, 2228–2252. [Google Scholar] [CrossRef]
- Nie, X.; Xie, H.Y.; Yang, D.; Liu, H.; Zhou, K. Safety analysis for boiler thermal-hydraulic circulation with severe peak load regulation of a CFB unit. J. Cent. South Univ. (Sci. Technol.) 2022, 53, 2766–2776. [Google Scholar]
- Ma, Y.F.; Niu, F.F.; Lv, J.F.; Jin, X.; Ma, H. Study of controlling thermal deviation in platen superheaters of a CFB boiler by utilizing header effect. J. Cent. South Univ. (Sci. Technol.) 2021, 52, 4454–4463. [Google Scholar]
- Huang, S.Z.; Li, X.S. Research and application on bed Material preparation system of CFB boiler. Int. J. Energy Power Eng. 2020, 9, 108–114. [Google Scholar]
- Ma, S.X.; Yang, X.Y. Study on dynamic behavior of the combustion system of a circulating fluidized bed boiler. Zhongguo Dianji Gongcheng Xuebao 2006, 26, 1–6. [Google Scholar]
- Zhao, Z.; Yan, G.; Ren, M.; Cheng, L.; Zhu, Z.; Pang, Y. Dynamic transfer partial least squares for domain adaptive regression. J. Process Control 2022, 118, 55–68. [Google Scholar] [CrossRef]
- Xing, Y.; Gravell, B.; He, X.; Johansson, K.H.; Summers, T.H. Identification of linear systems with multiplicative noise from multiple trajectory data. Automatica 2022, 144, 110486. [Google Scholar] [CrossRef]
Disclaimer/Publisher’s Note: The statements, opinions and data contained in all publications are solely those of the individual author(s) and contributor(s) and not of MDPI and/or the editor(s). MDPI and/or the editor(s) disclaim responsibility for any injury to people or property resulting from any ideas, methods, instructions or products referred to in the content. |
© 2023 by the authors. Licensee MDPI, Basel, Switzerland. This article is an open access article distributed under the terms and conditions of the Creative Commons Attribution (CC BY) license (https://creativecommons.org/licenses/by/4.0/).









