Abstract
Waste cement, a common by-product of urban construction, is often wasted in huge quantities and is worthless. However, some studies have confirmed that waste cement can be used as an alternative heavy metal immobilizing agent. Waste cements, derived from hydrated cement mortar products, were evaluated for soil Cd bioavailability by DTPA extraction and for their efficacy in ameliorating the toxicity of cadmium to soil enzymes and plant antioxidant enzymes. Soil incubation and pot experiments were conducted on three types of waste cement (OPC (ordinary Portland cement), FAC (fly ash cement) and ZEC (zeolite cement)) with an application rate of 1%, 2%, and 3%. The addition of OPC, FAC, and ZEC significantly increased the pH and cation exchange capacity of the soil (p < 0.05). The concentration of DTPA-extractable Cd significantly reduced with a consequential decrease in Cd uptake and transport in lettuce. OPC, FAC, and ZEC application significantly (p < 0.05) enhanced FDA hydrolysis and soil urease activity, except for catalase activity. OPC, FAC, and ZEC, when applied to soil, enhanced the total dry biomass (shoots and roots). Furthermore, the activities of guaiacol peroxidase (POD), catalase (CAT) and superoxide dismutase (SOD) declined in lettuce treated with OPC, FAC, and ZEC. With the addition OPC, FAC, and ZEC, the content of MDA in lettuce leaves displayed a remarkable decrease. In conclusion, the waste cements effectively reduced Cd bioavailability and enhanced the antioxidant system of lettuce.
1. Introduction
Mercury (Ag), lead (Pb), cadmium (Cd), arsenic (As), and chromium (Cr) are the five most toxic chemical elements. Cd is highly mobile, resistant to corrosion, and causes irreversible damage to the soil, making reparation of the contaminated soil difficult. Therefore, the management of cadmium toxicity is a crucial field of soil environment research [1,2,3]. According to the Bulletin of the National Soil Pollution Survey in 2014, the current total excess rate of soil heavy metal pollution in China is 19.4%; among the causes, Cd is a primary pollutant with a rate exceeding 7.0% [1,4,5]. Being a global environmental problem with high and persistent toxicity, the American Agency for Toxic Substances and Disease Registry (ATSDR) and the European Union classify cadmium as a highly toxic, dangerous, and carcinogenic substance [5]. Cadmium is taken up by plant roots and enters the food chain mainly due to its high mobility and bioavailability, causing harmful effects on the human body and animal health [6,7,8]. Cd can easily bind to albumin (high-molecular-weight proteins) in the human body through non-protein sulfhydryl groups (R–SH) [9] leading to pulmonary adenocarcinomas, bone diseases (osteomalacia and osteoporosis), prostate cancer, kidney dysfunction, and hypertension [10,11,12,13]. There is an urgent need for the effective remediation of cadmium-contaminated soils.
In situ heavy metal immobilization is a standard method, among various technologies, for the remediation of contaminated soil. In in situ immobilization technology, inorganic remediated materials, such as cement, zeolite, and fly ash, are often used on Cd-contaminated soils to reduce Cd toxicity, bioavailability, and mobility [14,15,16,17]. Highly alkaline ordinary Portland cement has efficiently decreased the bioavailability of multiple heavy metals by increasing the soil pH [18]. However, excessive use of highly alkaline materials has been reported to increase soil alkalinity risk and ultimately affect plant growth [19]. Waste cement is the heaviest and most voluminous waste stream generated from the construction, renovation, and demolition of buildings, roads, and other infrastructure [20,21]. It is a hydrated cement, which is far less alkaline than ordinary cement and does not cause soil compaction. In particular, recent studies have revealed the mechanisms of cement waste in immobilizing Cd via its application as an aqueous solution to the contaminated soil [22,23]. Furthermore, waste cement can reduce Cd bioavailability, increase soil pH and trigger the precipitation of Cd carbonates, oxides, or hydroxides. It can potentially decrease Cd solubility, as shown by incubation experiments and leaching tests [23].
Soil enzyme activity is a critical soil microbial growth and activity indicator. It plays an essential role in maintaining soil health, ecology, physical and chemical properties, and energy flow, and controlling organic matter decomposition. Heavy metals can directly affect soil enzymes and change their activity and diversity. A large number of studies have confirmed that heavy metals are harmful to soil enzyme activities [2,24,25,26]. Soil enzymatic activities represent the degree to which the terrestrial ecosystems are affected by heavy metals [27,28,29]. Soil enzyme activities such as fluorescein diacetate hydrolysis, catalase, and urease are susceptible to even small heavy metals concentrations in the soil system and have been used as biomarker indicators [28,29,30,31,32]. Enzyme activity is influenced by soil physicochemical properties [33], and the availability of heavy metals are also correlated with soil enzyme activity [34].
Heavy metals can affect plant growth and even lead to plant death when their concentration exceeds a certain threshold. Heavy metals can induce ROS formation in plants, such as superoxide radicals (O), hydrogen peroxide (H2O2), and hydroxyl (HO−), which damage oxidative pigments, proteins, membrane lipids, and amino acids, ultimately leading to plant cell death [35,36]. Plants respond to ROS by producing antioxidant enzymes, such as catalase (CAT), superoxide dismutase (SOD), and peroxidase (POD) and their metabolites [37]. Antioxidant enzymes can scavenge oxygen free radicals (O2●−, 1O2, H2O2, HO2●, HO−) and their products, and repair damaged cells [38,39,40]. The effect of heavy metals on antioxidant enzymes in remediation experiments has been reported by numerous studies [39,41]. Therefore, the activities of soil enzymes and plant antioxidant enzymes can be used as indicators to evaluate the remediation effect of soil amendments.
With the rapid development of urbanization, a large amount of construction waste is inevitably generated [42]. Most of the construction waste includes waste concrete, waste cement, steel bars, gravel, and wood [43]. At present, most of the construction waste is directly transported to the suburbs for open-air stacking or landfill without treatment, and a small amount of construction waste is used as roadbed material [44]. With the rapid development of utilization technology for mineral admixtures, a large quantity of natural zeolite and fly ash is used as auxiliary cementitious material to partly replace cement in the preparation of mortar and concrete. Therefore, most of the fine powder in construction waste contains zeolite, fly ash, and cement. The pore size distribution, specific surface area, and active groups formed by elements such as Al, Si, and Fe contained in fly ash make it an excellent heavy metal adsorbent through physical and chemical adsorption [45]. At the same time, the physical and chemical properties of fly ash can improve the physical properties, chemical properties and biological activities of the soil. Addition of FA to soils has been reported to increase pH and reduce the availability of heavy metals [46,47]. As a clay mineral, zeolite has the characteristics of large specific surface area, strong adsorption, and environmental friendliness. The results show that zeolite was effective in the remediation of heavy metal-contaminated soil [48]. Zeolites are important low-cost soil amendments that improve soil stability, health, and productivity, thereby mitigating the toxicity of heavy metals. Therefore, waste cement containing fly ash and zeolite can be recycled as a new type of heavy metal immobilizing agent. Ding et al. have confirmed that waste cement can remove cadmium from wastewater and reduce the mobility of cadmium in the soil [23]. Damrongsiri [22] found that the high pH and ANC of demolition waste (cement paste and lightweight concrete) can improve the heavy metal adsorption capacity of soil and soil ANC. The results of Poorahong’s [49] study showed that concrete particles (0.5–1 mm) (cement slurry) could increase the pH value of wastewater and had a high removal efficiency of Cr, Cu, Ni, Pb, and Zn through adsorption and precipitation.
However, there are no reports on the effect on soil enzyme activities and plant antioxidant enzyme activities in the contaminated soils that have been amended with waste cement. Therefore, in this study, we used three types of waste cement based on ordinary Portland cement and carried out a soil incubation and pot experiment. The soil Cd bioavailability was evaluated through DTPA extraction to estimate its immobilization by waste cement. An enzyme activity assay was used to estimate the toxicity of Cd in simulated contaminated soil before and after remediation. Pot experiments were carried out to evaluate Cd effects in lettuce plants, lettuce biomass, the MDA content in lettuce, and plant antioxidant enzyme activities before and after remediation.
2. Materials and Methods
2.1. Soil Sampling and Spiking Treatment
Soil samples from a naturally contaminated site located in Dongfang city, Hainan province, China (18°43′–19°18′ N, 108°36′–109°07′ E) were collected from 0–20 cm soil depth. Before further use, the collected samples were cleaned of stones, plant debris, and earthworms. The soil samples were then air-dried, crushed, and sieved to a particle size of <2 mm. The samples were stored, analyzed, and used in the experiments. The soil’s main properties are listed in Table 1. The soil concentrations of Cd in China range from 0.88 to 21.9 mg∙kg−1, according to a study on Cd-contaminated soil [21]. We prepared simulated Cd-contaminated soil specimens by adding Cd(NO3)2·4H2O to the air-dried soil samples (3.16 mg∙kg−1) to achieve a Cd concentration of 6 mg∙kg−1. All soil samples were stored in polyethylene plastic bags for 1 month, maintaining 70% (w∙v−1) moisture at 25 °C to reach an equilibrium condition between Cd(NO3)2·4H2O and the soil.
Table 1.
Selected physicochemical properties of the contaminated soils.
2.2. Cement Waste Production
Three waste cement types based on Portland cement were prepared and tested in this study. For better result clarity, fresh cement was chosen instead of waste cement, as it did not contain aggregates and excluded chloride penetration interference. Concrete neutralization is the main reaction of coagulation aging in natural conditions, with carbonization being the most common and important form. In this experiment, a concrete carbonation box was used to simulate the aging of the natural concrete to obtain the waste mortar. The reference cement consisted of ordinary Portland cement with class 42.5 as an amendment. Three waste types of cement were used:
OPC (Ordinary Portland cement paste): 100% ordinary Portland cement;
FAC (fly ash cement paste): 80% ordinary Portland cement + 20% fly ash;
ZEC (zeolite cement paste): 80% ordinary Portland cement + 20% zeolite.
The water/cementitious material ratio was kept constant for all the prepared mixes (w∙c−1 = 0.5). The chemical compositions of the materials used are shown in Table 2. Fresh cement was cast in cubes. One day after casting, the specimens were demolded and cured in water for 28 days, followed by a carbonization test according to GB/T 50082–2009 [50]. Then, solid cement pastes were ground and passed through 0.075 mm sieves. The amendment crystalline structures were examined by X-ray diffraction (XRD, D8–Advance; Bruker, Germany) using Cu Kα radiation at 2θ ranging from 5° to 80°. The sample morphology was examined with a scanning electron microscope (SEM, S–3000N; Hitachi, Japan). The XRD and SEM results of the amendments are shown in Figure 1 and Figure 2.
Table 2.
Chemical compositions of used cement, fly ash and zeolite.
Figure 1.
X-ray diffraction patterns of cement paste (OPC), fly ash cement paste (FAC) and zeolite cement paste (ZEC).
Figure 2.
SEM images of cement paste (OPC), fly ash cement paste (FAC) and zeolite cement paste (ZEC): (a) OPC, (b) FAC and (c) ZEC.
2.3. Soil Incubation and Pot Experiments
Incubation experiments were performed in plastic polyethylene cups, each containing 100 g of air-dried soil. The spiking soil was then homogenously amended with OPC, FAC, and ZEC at 1%, 2%, and 3% (dry soil w∙w−1 basis) application rates, respectively. No amendment was used in the control soil (CK). Each treatment was repeated three times. The soil was thoroughly mixed to make a homogeneous mixture. After adding all amendments, deionized water was added to all groups to reach a water-holding capacity of 70% (w∙v−1) and incubated at 25 °C for 1 month. During the incubation, pots were weighed weekly to monitor and maintain moisture.
Pot experiments used a factorial, completely randomized design with three replicates. Similar to the incubation experiment, the pot experiment included 10 treatments. The plastic pots were filled with 1 kg of air-dried soil. Seeds of lettuce were diligently disinfected with NaClO (1%, v∙v−1) for 30 min, immersed in tap water, and rinsed 3–4 times with distilled water. Ten healthy seeds were sown in each pot. After 10 days, plants were thinned to five plants in each pot. Throughout the pot experiment, The soil moisture of the potted plants was kept at about 70% of the field water capacity and weighed every week. After 45 days of growth, the plants were harvested to analyze the heavy metal content, the dry biomass, and plant enzymatic activities in each. The soil samples were stored at 4 °C for further analysis.
2.4. Soil Cd Concentration Analysis
Cd bioavailability in the soil was measured by DTPA extraction, following Lindsay and Norvell [51], as modified by ISO [52]. The DTPA extraction solution was prepared by mixing 0.005 mol∙L−1 DTPA, 0.01 mol∙L−1 CaCl2, and 0.1 mol∙L−1 triethanolamine (TEA), and the pH was kept at 7.3 using a 1 mol∙L−1 HCl solution. Subsequently, 10 g of each sample (0.15 mm sieved) was added into a 20 mL volumetric flask with the extraction solution and shaken for 2 h at room temperature. The suspensions were centrifuged at 4000 rpm for 10 min. and then filtered through a 0.45 µm membrane. The filtered supernatant was evaluated for Cd content by flame atomic absorption spectrometry (AAS, TAS–990 Super AFG, Chain).
2.5. Soil Enzyme Activity Analysis
After the incubation experiment, fluorescein diacetate hydrolysis, catalase, and urease activities were measured in triplicate. FDA hydrolysis in soil was assayed using the THAM buffer [tris (hydroxymethyl) aminomethane; NH2C(CH2OH)3] (0.1 M, pH 7.6) and FDA lipase substrate solution (C24H16O7) (4.9 mM) according to Prosser et al., [53]. Soil catalase was measured using ultraviolet spectrophotometry. It is a simple, reliable, and easy-to-apply method, and better than the potassium permanganate volumetric method [54]. Soil urease activity was assessed using the phenol sodium colorimetric method [53]. The NH4+–N amount released by the action of urease was measured at 578 nm using spectrophotometry.
2.6. Lettuce Plant Experiment Analysis
After 45 d, lettuce roots and shoots were harvested, separated, thoroughly washed under running tap water, and rinsed with deionized water to remove soil particles. The plant samples were dried up to constant weight at 105 °C in an electric oven. The total root and shoot biomass weight was recorded after the drying process. The dried root and shoot biomass was crushed into a fine powder and kept in plastic bags for analysis. Then, 0.50 g of each shoot and root sample was digested with HNO3–HClO4 (3:1 v∙v−1), and the total concentration of Cd was determined by AAS according to Chen et al. [55].
2.7. Analytical Methods for Plant Enzymatic Activities
The lettuce plants’ antioxidant activities were determined. The guaiacol peroxidase (POD), catalase (CAT), and superoxide dismutase (SOD) activities were assayed following standard protocols [35,56,57]. Freshly harvested leaf samples (1.0 g) were ground in a mortar and a 9 mL solution was added containing 10 mM phosphate buffer (pH 7.4). The homogenate was centrifuged at 2500 rpm for 15 min at 4 °C. Total protein (TP) content was measured at 595 nm using Coomassie brilliant blue colorimetry [58]. POD activity was measured by its catalytic action at 470 nm. One unit of POD was defined as the quantity of POD that catalyzed 1 μg H2O2 substrate in 1.0 g of fresh leaf tissue at 37 °C. CAT activity was measured at 405 nm by H2O2 degradation based on a hydrolysis reaction terminated by molybdenum acid (MA) that produces an MA–H2O2 complex. One unit of CAT activity was defined as 1.0 g of fresh tissue catalyzing 1 mmol H2O2 per second at 37 °C. SOD activity was determined by the hydroxylamine method. One unit of SOD activity (U) was defined as the amount of SOD required to produce 50% reduction inhibition by measuring absorbance change at 550 nm.
To assess membrane damage, malondialdehyde (MDA) concentration, which corresponds to membrane lipid peroxidation, was assayed using the thiobarbituric acid test [59]. Lettuce leaf homogenate samples (0.2 mL) were mixed with 4 mL of extraction medium containing 0.5% (w∙v−1) thiobarbituric acid and 5% (w∙v−1) trichloroacetic acid. The extract was placed in a 95 ℃ hot water bath for 40 min, and the reaction was terminated by water cooling. The samples were centrifuged at 4000 rpm for 10 min and the MDA content was measured in a 532 nm spectrophotometer.
3. Results
3.1. Changes in Soil and Waste Cement Characteristics
The physical and chemical characteristics of the soil used in the test are listed in Table 1. Before the experiment, the pH was 5.5, and the soil Cd concentration was 3.16 mg∙kg−1, which was significantly higher than the maximum permissible limit (0.6 mg∙kg−1). Its organic matter content and ion exchange capacity (CEC) were 9.965 g∙kg−1 and 5.79 cmol∙kg−1, respectively.
The soil pH, CEC, and SOM changes after incubation with three rates of OPC, FAC, and ZEC are presented in Figure 3. Application of 1.0%, 2.0%, and 3.0% of OPC, FAC, and ZEC significantly (p < 0.05) increased soil pH. Compared with control soil, the pH of OPC increased by 1.7, 2.3, and 2.5 units at 1.0%, 2.0%, and 3.0% application rates, respectively. After FAC application at 1.0%, 2.0%, and 3.0%, the soil pH increased by 1.4, 2.5, and 2.7 units, respectively. Additionally, applying ZEC at 1.0%, 2.0%, and 3.0% resulted in a significant increase in the soil pH by 1.0, 1.9, and 2.3 units, respectively, compared to the control. Adding OPC, FAC, and ZEC prominently increased soil CEC under all application rates. A shift in soil CEC from 5.79 cmol∙kg−1 (control) to a maximum of 8.9 cmol∙kg−1 was observed in 3% OPC treatment, followed by 8.82 cmol∙kg−1 and 8.36 cmol∙kg−1 in 3% FAC and ZEC treatments, respectively. On the contrary, all treatments had no significant impact on the SOM content, compared to control, (p > 0.05).
Figure 3.
Effect of amendment application on soil pH, CEC, and SOM: (a) pH, (b) CEC and (c) SOM. Treatments: control (CK), cement paste (OPC), fly ash cement paste (FAC) and zeolite cement paste (ZEC).
The XRD patterns of OPC, FAC, and ZEC are illustrated in Figure 1. The main mineral phases of OPC, FAC, and ZEC were calcium carbonate and silicon compounds (silica and dicalcium silicate). The presence of CaCO3 (2θ of 23°, 29°, 35°, 39°, 43°, 47°, and 48°) was observed in all samples. Either SiO2 or Ca2SiO4 were present in OPC, FAC, and ZEC.
SEM images revealed the morphological and structural characteristics of the samples (Figure 2). OPC, FAC, and ZEC exhibited a rough surface with obvious pore structure, thus having a higher potential to promote the adsorption of heavy metals.
3.2. Effect of Waste Cement on Soil Cd Availability
As shown in Figure 4, after adding OPC, FAC, and ZEC, the Cd concentration in DTPA−extracted samples was significantly (p < 0.05) decreased by 52–73% in soils with increased OPC application compared to the control group. Application of 1.0–3.0% FAC was also more effective in reducing DTPA−Cd with the leaching rate decreasing from 48% to 65% in the soils compared to the control. Addition of ZEC at application rates of 1–3% reduced DTPA–Cd by 46–67% compared to controls.
Figure 4.
Effect of amendment application on DTPA−extractable Cd concentrations in soils. Treatments: control (CK), cement paste (OPC), fly ash cement paste (FAC) and zeolite cement paste (ZEC).
3.3. Effect of Waste Cement on Soil Enzyme Activities
Some enzymes in the soil are very sensitive to soil heavy metal pollution and soil enzyme activity indicators can qualitatively characterize the degree of soil pollution [60,61]. After adding OPC, FAC, and ZEC, soil pH and soil organic matter content were directly affected, thereby affecting the activity of soil enzyme. The results of adding OPC, FAC, and ZEC on soil fluorescein diacetate (FDA) hydrolysis, catalase, and urease activities are shown in Figure 5a–c.

Figure 5.
Effect of amendment application on the soil enzymatic activity: (a) fluorescein diacetate (FDA) hydrolysis, (b) catalase activity, and (c) urease activity. Treatments: control (CK), cement paste (OPC), fly ash cement paste (FAC) and zeolite cement paste (ZEC).
FDA hydrolysis (Figure 5a) increased by 67.5–87.8% after the application of OPC at 1–3% as compared to control. Likewise, an increase in FDA hydrolysis by 75.9–103.5% and 99.3–114.6% was observed with the application of FAC and ZEC from 1.0% to 3.0%, compared to control, respectively. Notably, the FDA hydrolysis increased the most by 87.8%, 103.5%, and 114.6%, after 2.0% application of OPC, FAC, and ZEC, respectively. Soil catalase activity can decompose the hydrogen peroxide into oxygen and hydrogen, thus playing a role in detoxification and stress resistance [34]. None of the waste treatments resulted in a significant increase in enzyme activity compared to the control group. Soil urease plays a vital role in the process of soil nitrogen conversion, and the activity of soil urease is closely related to the pH and properties of soil [62]. Compared with the control, OPC, FAC, and ZEC treatments significantly increased soil urease activity. The application rates of OPC, FAC and ZEC at 1.0% to 3.0% increased by 118.4% to 157.9%, 100% to 142.1%, and 126.3% to 155.3%, respectively. The maximum increase in soil urease activity occurred at 2.0% application.
3.4. Effect of Waste Cement on Cd Concentrations in the Plant
The Cd concentrations in the shoots and roots of lettuce grown on the soil in the waste cement treatments were significantly decreased compared to those in the control (Figure 6). The application of 1.0–3.0% OPC reduced the concentration of Cd by 12.7%, 28.2%, and 45.0% in lettuce shoots, respectively. When FAC was applied at the rate of 1.0–3.0%, Cd concentration decreased by 10.3%, 24.5%, and 39.9%, respectively. Furthermore, application with 1–3% ZEC reduced Cd in plant shoots by 9.9%, 26.0%, and 38.4%, respectively. A reduction in the concentration of Cd by 20.2%, 50.8%, and 53.2% was observed in roots of lettuce cultivated in soil treated with 1–3% OPC, respectively. Similarly, a reduction in the concentration of Cd by 2.8%, 35.3%, and 49.4% was monitored after 1.0–3.0% FAC application. Finally, 1.0–3.0% rates of ZEC addition resulted in decreased concentration of Cd in lettuce roots by 2.1%, 34.6%, and 48.7%, respectively.
Figure 6.
Effect of amendment application on Cd concentration in plant roots and shoots. Treatments: control (CK), cement paste (OPC), fly ash cement paste (FAC) and zeolite cement paste (ZEC).
3.5. Effect of Waste Cement on Plant Growth
Figure 7a,b show the effects of waste cement on plant height and root length in Cd−contaminated soil. The plant height and root length of lettuce in all treatments increased by 3.8–69% and 14.5–98.3%, respectively (Figure 7a). The plant height and root length of lettuce reached the maximum when the addition amount of the three waste cement materials was 2.0%. However, when the addition amount exceeded 2.0%, the plant height and root length tended to decrease. Therefore, the optimal amount of waste cement used in this experiment was 2.0%.
Figure 7.
Effect of amendment application on plant growth and total dry biomass: (a) plant growth, and (b) total dry biomass. Treatments: control (CK), cement paste (OPC), fly ash cement paste (FAC) and zeolite cement paste (ZEC).
The total plant dry biomass (shoots and roots) of lettuce is presented in Figure 7b. Consistent with the growth law of plant height and root length, when the amount of OPC, FAC, and ZEC waste cement added was 2.0%, the increase in total plant dry biomass reached the maximum, which was 68.5%, 62.2% and 64.7%, respectively. Notably, the total dry biomass of plants in all treatment groups was higher than that in the control group.
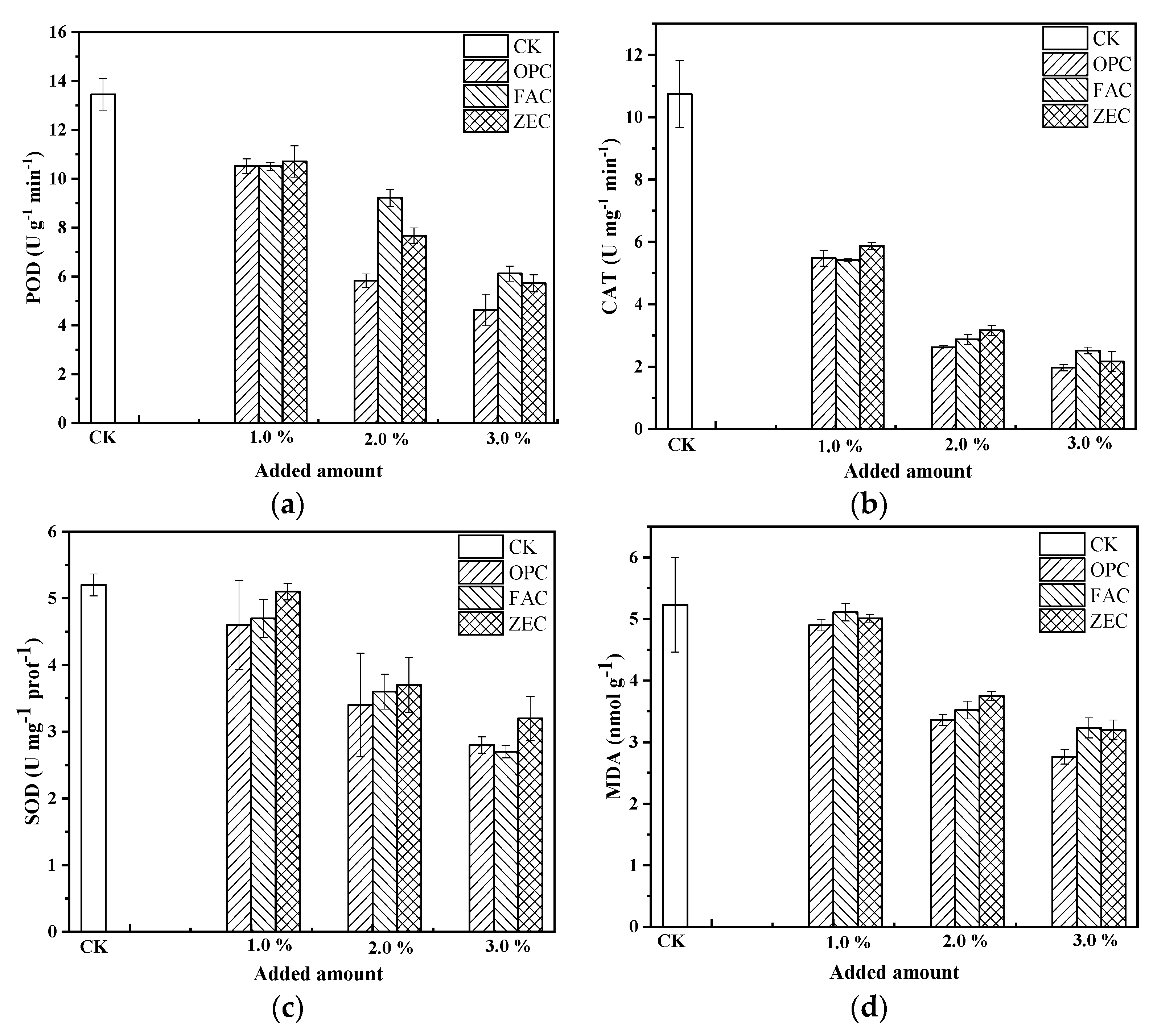
3.6. Effect of Waste Cement on Plant Antioxidant Enzyme Activities
The activities of guaiacol peroxidase (POD), catalase (CAT), superoxide dismutase (SOD), and malondialdehyde (MDA) in lettuce are presented in Figure 8a–d. As can be seen from the figure, the effects of the three materials on POD, CAT, SOD, and MDA are consistent, and the percentage reduction in enzyme activity is positively correlated with the amount of the three materials used. After applying 1.0–3.0% OPC, FAC, and ZEC, the POD activity of lettuce decreased by 21.8–65.6%, 21.8–65.6%, and 21.8–65.6%, respectively (Figure 8a), the CAT activity decreased by 49.0–81.7%, 49.5–76.5%, and 45.3–79.8%, respectively (Figure 8b), and the SOD activity decreased by 11.5–46.2%, 1.1–38.5%, and 9.6–48.1%, respectively (Figure 8c). After OPC, FAC, and ZEC treatment, the MDA content decreased by 12.7% to 45.0%, 10.3% to 40.0%, and 9.9% to 38.4%, respectively. After treatment with three types of waste cement with different application amounts, the oxidative damage of lettuce by heavy metal ions was reduced and scavenged.
Figure 8.
Effect of amendments on the plant antioxidant enzymatic activities: (a) peroxidase (POD) activities, (b) catalase (CAT) activities, (c) superoxide dismutase (SOD) activities and (d) malondialdehyde (MDA). Treatments: control (CK), cement paste (OPC), fly ash cement paste (FAC) and zeolite cement paste (ZEC).
4. Discussion
The pH (Figure 3a) increased due to the alkaline nature and liming effects of OPC, FAC, and ZEC. The influence of such amendments is more evident in mining activities, as mentioned by Seelawut Damrongsiri [22]. Generally, OPC, FAC, and ZEC contain significant amounts of alkaline metals (Ca2+ and Mg2+). These alkaline metal ions are then converted and dissolved into metal oxides, metal hydroxides, and carbonates during the hydrolysis process, thereby increasing the soil pH [63]. These results agree with several previous reports [22,64,65].
A similar trend was observed in the soil CEC (Figure 3b), which increased with an increase in the OPC, FAC, and ZEC application rates. Soil CEC reflects the sum of negative charges on the material surface which can be balanced by exchangeable cations [62]. Higher soil CEC values indicate the development of a more negative charge in the treated soils. OPC, FAC, and ZEC contain appreciable amounts of inorganic constituents (Ca2+, Mg2+, and Si) released into the soil solution, promoting soil CEC increase and providing available nutrients for plant growth [66].
However, OPC, FAC, and ZEC applications did not increase the SOM (Figure 3c) compared to control, which may be attributed to the fact that the main component of waste cement is inorganic calcium carbonate. Nevertheless, applying OPC, FAC, and ZEC can additionally loosen the soil structure, enhance soil aeration, provide space for soil microorganism activities, and accelerate the decomposition and mineralization of organic matter [67]. The increased values of pH and CEC suggest that a boost in the immobilization of heavy metals could be expected.
OPC, FAC, and ZEC could all effectively reduce the concentration of Cd extracted by DTPA (Figure 4), and the degree of reduction had a direct relationship with the amount added. The occurrence of this phenomenon was mainly due to the fact that the waste cement materials are alkaline and can hydrolyze hydroxyl ions, Ca2+ and CO32+ to precipitate Cd ions in the soils. At the same time, the three kinds of waste cement also have a relatively high content of Si, which can also effectively fix Cd ions in the soils. The three waste cements increased the pH of soils and shifted the soil particle charge towards being more negative, thus increasing the fixation or sorption of Cd on soil particles.
FDA is diffused through cell membranes and then hydrolyzed by proteases, lipase and esterases to release fluorescent proteins [68]. FDA hydrolysis can reflect the transformation of organic matter in the soil and be used to measure the soil’s total microbial activity. Therefore, FDA hydrolysis is also an important indicator for monitoring soil health. Increased FDA hydrolysis (Figure 5a) could have resulted from the decreased Cd availability, mainly due to its remediation by the addition of waste cement on Cd-contaminated soil. It benefited the growth of soil microorganisms, improving microbial activity, which directly or indirectly improved the FDA hydrolysis.
Soil catalase activity indicates soil oxidation−reduction capacity [69] and is related to soil microenvironment and soil organic matter. Compared to control, the catalase activity (Figure 5b) did not exhibit a substantial increase. The limited change in catalase activity was consistent with the non−significant changes observed in soil organic matter. The catalase activity was partly due to the effect of waste cement on soil organic matter, which had no beneficial effects on soil biology. In the present study, waste cement did not affect soil catalase activity and soil organic matter.
Soil urease is the only enzyme that acts on urea fertilizers and can be used as an indicator of metal pollution by measuring its activity through soil nitrogen transformation [70]. The soil urease activity (Figure 5c) in all treatments was significantly (p < 0.05) increased compared to the control.
The addition of waste cement reduced Cd availability, thereby reducing the toxicity of heavy metals to soil microorganisms, promoting the growth of soil microorganisms, and increasing the activity of urease, which is consistent with Wang et al.’s research [71]. Soil pH is an important factor for microbial growth [72], and some studies had shown that highly alkaline environments increase the activity of urease [62]. The addition of waste cement increased the pH and CEC of the soil, thereby improving the growth and metabolism of soil microorganisms, significantly increasing the activity of urease in the soil.
It was found that the uptake of cadmium by plant tissues was significantly reduced (Figure 6) after the application of calcium hydroxide (CH) alkaline amendment, which effectively reduced the uptake of Cd by Chinese cabbage [73]. The bioavailability of Cd in soil and lettuce was decreased. The solubility and leachability of cadmium were directly related to the absorption of Cd by plant roots and shoots [30,74,75,76]. Application of Si and Ca−containing amendments in Cd-contaminated soil increased Cd immobilization and decreased Cd concentration in rice grains, as demonstrated in a study by Wang et al. [77]. The addition of waste cement increased the pH of the soil and introduced carbonate and Si into the soil, which precipitated and adsorbed cadmium in the soil, thereby reducing the migration of cadmium to the above-ground parts of the plants.
The application of waste cement had positive effects on plants in cadmium-contaminated soils, with higher or lower additions increasing plant height, root length, and total plant dry biomass (Figure 7). With the increase in the amount of waste cement added, the promotional effect on plants showed a trend of first increasing and then decreasing. In this experiment, the adding of 2.0% waste cement had the best effect. This trend was mainly due to the initial low-dose addition, which reduced the bioavailability of Cd and neutralized the acidity of the soil caused by heavy metal pollution, thereby reducing the toxicity of Cd to plants and improving the soil microenvironment to make it more suitable for plant growth. However, as the amount of waste cement added was increased, the precipitation and adsorption of heavy metals in the soil reached the maximum. At this time, heavy metals were no longer the primary threat to plant growth and the microecology had become the dominant factor. With the increase in waste cement application rate, the alkalinity of the soil increased, exceeding the optimum pH for plant growth; high alkalinity will also inhibit the growth of plants [78], so with the increase in waste cement application rate, the growth of the plants showed a tendency to first increase and then decrease. In general, the addition of waste cement could promote the restoration of soil and the growth of plants.
When plants were subjected to biotic and abiotic stress, the body was stimulated to produce excessive reactive oxygen species (ROS: O2•−, H2O2, and OH•), which can lead to damage or loss of cell function, or even cell death [79]. POD activity is sensitive to stress, and it is used as a biomarker to assess heavy metal toxicity stress [80]. The CAT enzyme directly decomposes H2O2 into H2O and O2 in plant cells, and CAT activity can indirectly reflect the damage of plant cells under environmental stress [80,81]. SOD can directly reduce the toxic effect of O2•− in plants, enhance plant tolerance to biotic and abiotic stress, and is the first line of defense in the antioxidant system [35,82,83]. POD, CAT, and SOD can directly or indirectly mediate the scavenging of reactive oxygen species, synergistically reducing or eliminating potential damage to plants [57,84]. Therefore, these three enzyme activities in plants can be used to evaluate the damage to plant cells by heavy metals and the degree of degradation of adsorption materials to heavy metal toxicity. Compared with the control, the POD concentration of OPC, FAC, and ZEC was significantly reduced after adding repair materials (Figure 8a). The waste cement reduced the absorption of the heavy metal Cd by plants by reducing the bioavailability of Cd in the soil, thereby reducing the damage to plants by heavy metals. These results are consistent with Shaheen and Rinklebe [76]. They found that after adding inorganic mineral repair materials, Cd absorption in plant tissue was significantly reduced compared with the control group, and POD in plant tissue was also significantly reduced. In this experiment, the activity of CAT also decreased after applying different amounts of OPC, FAC, and ZEC (Figure 8b). Oxidative stress was higher in control plants due to the effect of Cd [85]. After adding OPC, FAC, and ZEC, the waste cement adsorbed and precipitated the free heavy metals in the soil, reducing the concentration of bioavailable heavy metals, thereby improving the microenvironment of the soil and promoting the growth of plants. The absorption and utilization of heavy metals by plants was reduced, thereby reducing the stress effect of heavy metals on plants, resulting in a decrease in the amount of CAT produced by plants and a decrease in CAT activity, which reduced the oxidative stress response of plants to heavy metals. An increase in ROS leads to an increase in SOD activity, a protective measure against oxidative damage. After adding OPC, FAC, and ZEC, the activity of SOD was lower than that of the control group (Figure 8c), indicating that the content of ROS in the experimental group was low, and the oxidative damage to plants by heavy metals was also very low. Waste cement had a positive effect on reducing the stress of Cd on plants. This study showed that OPC, FAC, and ZEC can reduce the activity of antioxidant enzymes, reduce the bioavailability of Cd in soil, reduce the uptake of Cd by plants, reduce the transport of Cd in plant tissues, alleviate the stress of Cd on plants, and reduce the damage to plants in heavy metal−contaminated soils.
MDA is one of the final decomposition products of membrane lipid peroxidation in plants under heavy metal stress [14]. The accumulation of MDA in plants can cause serious damage to the cell membrane. An increase in Cd concentration in soil is directly related to an increase in the MDA level [86], and the concentration of MDA is reflected in the degree of environmental stress of plants [39]. Compared with the control, the application of OPC, FAC, and ZEC reduced the MDA in lettuce (Figure 8c). and alleviated the damage to plants by heavy metals, thus effectively improving the resistance of plants to membrane damage.
5. Conclusions
Our results provide a new idea for the use of waste cement as an immobilizing agent in the remediation of heavy metal-contaminated soils. We conclude that:
- (1)
- Our incubation experiment clearly showed that soil pH and CEC increased significantly (p < 0.05) with the addition of waste cement. Waste cement was effective in decreasing DTPA-extracted Cd in soil, which was significantly correlated with soil pH and available CEC.
- (2)
- In addition, FDA and urease in the contaminated soil significantly increased, but soil catalase did not change significantly.
- (3)
- Waste cement application significantly reduced the Cd content in the roots and shoots of lettuce (p < 0.05). At the same time, waste cement applied to soil enhanced the shoot and root dry weight of lettuce. In particular, with the addition of 2% waste cement, the biomass of lettuce reached the maximum, and the addition of high-concentration waste cement damaged the growth of plants and reduced the plant mass of lettuce.
- (4)
- The application of waste cement markedly decreased O2•− and H2O2 and antioxidant activities (POD, CAT, and SOD) and the content of MDA in the lettuce, thereby alleviating the damage to plants by heavy metals.
Future research will focus on applying waste cement to actual polluted soil and studying the impact of waste cement on the soil ecological environment through long-term remediation experiments.
Author Contributions
Conceptualization, X.D. and J.W.; Data curation, Y.W.; Formal analysis, Y.W.; Funding acquisition, J.W.; Investigation, X.D., J.W. and Y.W.; Methodology, X.D. and Y.W.; Project administration, J.W.; Resources, X.D.; Validation, X.D.; Writing—original draft, X.D.; Writing—review and editing, X.D. All authors have read and agreed to the published version of the manuscript.
Funding
This work was financially supported by the Guangdong Provincial Key Laboratory of Durability for Marine Civil Engineering (SZU) (Grant No. 2020B1212060074).
Institutional Review Board Statement
Not applicable.
Informed Consent Statement
Not applicable.
Data Availability Statement
Not applicable.
Acknowledgments
The authors are grateful to Muhammad Amjad Khan of Peshawar University, who commented on and modified our manuscript.
Conflicts of Interest
The authors declare no conflict of interest.
References
- Tang, X.; Ni, Y. Review of remediation technologies for cadmium in soil. E3S Web Conf. 2021, 233, 01037. [Google Scholar] [CrossRef]
- Li, Z.; Liang, Y.; Hu, H.; Shaheen, S.M.; Zhong, H.; Tack, F.M.G.; Wu, M.; Li, Y.F.; Gao, Y.; Rinklebe, J.; et al. Speciation, transportation, and pathways of cadmium in soil–rice systems: A review on the environmental implications and remediation approaches for food safety. Environ. Int. 2021, 156, 106749. [Google Scholar] [CrossRef] [PubMed]
- Ahmad, M.; Sang, S.L.; Lim, J.E.; Lee, S.E.; Ju, S.C.; Moon, D.H.; Hashimoto, Y.; Ok, Y.S. Speciation and phytoavailability of lead and antimony in a small arms range soil amended with mussel shell, cow bone and biochar: EXAFS spectroscopy and chemical extractions. Chemosphere 2014, 95, 433–441. [Google Scholar] [CrossRef] [PubMed]
- Ministry of Environmental Protection; Ministry of Land and Resources. National Soil Pollution Survey Bulletin; Ministry of Environmental Protection, Ministry of Land and Resources: Beijing, China, 2014. [Google Scholar]
- Zhang, W.; Pan, X.; Zhao, Q.; Zhao, T. Plant growth, antioxidative enzyme, and cadmium tolerance responses to cadmium stress in Canna orchioides. Hortic Plant J. 2021, 7, 11. [Google Scholar] [CrossRef]
- Qin, S.Y.; Liu, H.E.; Nie, Z.J.; Rengel, Z.; Gao, W.; Li, C.; Zhao, P. Toxicity of cadmium and its competition with mineral nutrients for uptake by plants: A review. Pedosphere 2020, 30, 168–180. [Google Scholar] [CrossRef]
- Hussain, B.; Lin, Q.; Hamid, Y.; Sanaullah, M.; Di, L.; Rehman Hashmi, M.L.; Khan, M.B.; He, Z.; Yang, X. Foliage application of selenium and silicon nanoparticles alleviates Cd and Pb toxicity in rice (Oryza sativa L.). Sci. Total Environ. 2020, 712, 136497. [Google Scholar] [CrossRef]
- Shi, X.; Zhou, G.; Liao, S.; Shan, S.; Wang, G.; Guo, Z. Immobilization of cadmium by immobilized Alishewanella sp. WH16–1 with alginate–lotus seed pods in pot experiments of Cd–contaminated paddy soil. J. Hazard. Mater. 2018, 357, 431–439. [Google Scholar] [CrossRef]
- Lin, Y.; Wang, X.; Wang, B.; Mohamad, O.; Wei, G. Bioaccumulation characterization of zinc and cadmium by Streptomyces zinciresistens, a novel actinomycete. Ecotox. Environ. Safe. 2012, 77, 7–17. [Google Scholar] [CrossRef]
- Li, Z.; Ma, Z.; Van der Kuijp, T.J.; Yuan, Z.; Huang, L. A review of soil heavy metal pollution from mines in China: Pollution and health risk assessment. Sci. Total Environ. 2014, 468–469, 843–853. [Google Scholar] [CrossRef]
- Sharma, R.K.; Archana, G. Cadmium minimization in food crops by cadmium resistant plant growth promoting rhizobacteria. Appl. Soil Ecol. 2016, 107, 66–78. [Google Scholar] [CrossRef]
- Feki-Tounsi, M.; Hamza-Chaffai, A. Cadmium as a possible cause of bladder cancer: A review of accumulated evidence. Environ. Environ. Sci. Pollut. R. 2014, 21, 10561–10573. [Google Scholar] [CrossRef]
- Zhang, W.L.; Du, Y.; Zhai, M.M.; Shang, Q. Cadmium exposure and its health effects: A 19–year follow–up study of a polluted area in China. Sci. Total Environ. 2014, 470–471, 224–228. [Google Scholar] [CrossRef] [PubMed]
- Tauqeer, H.M.; Ali, S.; Rizwan, M.; Ali, Q.; Saeed, R.; Iftikhar, U.; Ahmad, R.; Farid, M.; Abbasi, G.H. Phytoremediation of heavy metals by Alternanthera bettzickiana: Growth and physiological response. Ecotox. Environ. Safe. 2016, 126, 138–146. [Google Scholar] [CrossRef] [PubMed]
- Hale, B.; Evans, L.; Lamnert, R. Effects of cement or lime on Cd, Co, Cu, Ni, Pb, Sb and Zn mobility in field–contaminated and aged soils. J. Hazard Mater. 2012, 199–200, 119–127. [Google Scholar] [CrossRef]
- Goodarzi, A.R.; Zandi, M.H. Assessing geo–mechanical and leaching behavior of cement–silica–fume–stabilized heavy metal–contaminated clayey soil. Environ. Earth. Sci. 2016, 75, 911. [Google Scholar] [CrossRef]
- Bashir, S.; Zhu, J.; Fu, Q.; Hu, H. Cadmium mobility, uptake and anti–oxidative response of water spinach (Ipomoea aquatic) under rice straw biochar, zeolite and rock phosphate as amendments. Chemosphere 2018, 194, 579–587. [Google Scholar] [CrossRef]
- Scanferla, P.; Ferrari, G.; Pellay, R.; Volpi Ghirardini, A.; Zanetto, G.; Libralato, G. An innovative stabilization/solidification treatment for contaminated soil remediation: Demonstration project results. J. Soil Sediment. 2009, 9, 229–236. [Google Scholar] [CrossRef]
- Yang, Y.; Chen, J.; Huang, Q.; Tang, S.; Wang, J.; Hu, P.; Shao, G. Can liming reduce cadmium (Cd) accumulation in rice (Oryza sativa) in slightly acidic soils? A contradictory dynamic equilibrium between Cd uptake capacity of roots and Cd immobilisation in soils. Chemosphere 2018, 193, 547–556. [Google Scholar] [CrossRef]
- De Melo, A.B.; Gonçalves, A.F.; Martins, I.M. Construction and demolition waste generation and management in Lisbon (Portugal). Resour. Conserv. Recy. 2011, 55, 1252–1264. [Google Scholar] [CrossRef]
- Hu, K.; Chen, Y.; Naz, F.; Zeng, C.; Cao, S. Separation studies of concrete and brick from construction and demolition waste. Waste Manage. 2019, 85, 396–404. [Google Scholar] [CrossRef]
- Damrongsiri, S. Feasibility of using demolition waste as an alternative heavy metal immobilising agent. J. Environ. Manage. 2017, 192, 197–202. [Google Scholar] [CrossRef]
- Ding, X.; Wang, J.; Huang, Q.; Hu, S.; Wu, Y.; Wang, L. The Effects of Waste Cement on the Bioavailability, Mobility and Leaching of Cadmium in Soil. Int. J. Environ. Res. Public Health 2021, 18, 8885. [Google Scholar] [CrossRef]
- Ogunkunle, C.O.; Falade, F.O.; Oyedeji, B.J.; Akande, F.O.; Vishwakarma, V.; Alagarsamy, K.; Ramachandran, D.; Fatoba, P.O. Short–Term Aging of Pod–Derived Biochar Reduced Soil Cadmium Mobility and Ameliorated Cadmium Toxicity to Soil Enzymes and Tomato. Environ. Toxicol. Chem. 2020, 40, 3306–3316. [Google Scholar] [CrossRef] [PubMed]
- Ma, S.C.; Zhang, H.B.; Ma, S.T.; Wang, R.; Wang, G.X.; Shao, Y.; Li, C.X. Effects of mine wastewater irrigation on activities of soil enzymes and physiological properties, heavy metal uptake and grain yield in winter wheat. Ecotox. Environ. Safe 2015, 113, 483–790. [Google Scholar] [CrossRef]
- Patel, A.; Patra, D.D. Influence of heavy metal rich tannery sludge on soil enzymes vis–à–vis growth of Tagetes minuta, an essential oil bearing crop. Chemosphere 2014, 112, 323–332. [Google Scholar] [CrossRef] [PubMed]
- Tang, J.; Zhang, J.; Ren, L.; Zhou, Y.; Gao, J.; Luo, L.; Yang, Y.; Peng, Q.; Huang, H.; Chen, A. Diagnosis of soil contamination using microbiological indices: A review on heavy metal pollution. J. Environ. Manage. 2019, 242, 121–130. [Google Scholar] [CrossRef] [PubMed]
- Tang, J.; Zhang, L.; Zhang, J.; Ren, L.; Zhou, Y.; Zheng, Y.; Luo, L.; Yang, Y.; Huang, H.; Chen, A. Physicochemical features, metal availability and enzyme activity in heavy metal–polluted soil remediated by biochar and compost. Sci. Total Environ. 2020, 702, 134751. [Google Scholar] [CrossRef]
- Khan, S.; Cao, Q.; Abd El–Latif, H.; Xia, Y.; He, J.Z. Soil enzymatic activities and microbial community structure with different application rates of Cd and Pb. J. Environ. Sci. 2007, 19, 834–840. [Google Scholar] [CrossRef]
- Ning, C.C.; Gao, P.D.; Wang, B.Q.; Lin, W.P.; Jiang, N.H.; Cai, K.Z. Impacts of chemical fertilizer reduction and organic amendments supplementation on soil nutrient, enzyme activity and heavy metal content. J. Integr. Agr. 2017, 16, 1819–1831. [Google Scholar] [CrossRef]
- Jia, W.; Wang, B.; Wang, C.; Sun, H. Tourmaline and biochar for the remediation of acid soil polluted with heavy metals. J. Environ. Chem. Eng. 2017, 5, 2107–2114. [Google Scholar] [CrossRef]
- Fang, L.; Liu, Y.; Tian, H.; Chen, H.; Wang, Y.; Huang, M. Proper land use for heavy metal–polluted soil based on enzyme activity analysis around a Pb–Zn mine in Feng County, China. Environ. Sci. Pollut. Res. 2017, 24, 28152–28164. [Google Scholar] [CrossRef]
- Lehmann, J.; Rillig, M.C.; Thies, J.; Masiello, C.A.; Hockaday, W.C.; Crowley, D. Biochar effects on soil biota—A review. Soil Biol. Biochem. 2011, 43, 1812–1836. [Google Scholar] [CrossRef]
- Cui, H.; Zhou, J.; Zhao, Q.; Si, Y.; Mao, J.; Fang, G.; Liang, J. Fractions of Cu, Cd, and enzyme activities in a contaminated soil as affected by applications of micro- and nano hydroxyapatite. J. Soil. Sediment. 2013, 13, 742–752. [Google Scholar] [CrossRef]
- Cheng, J.; Qiu, H.; Chang, Z.; Jiang, Z.; Yin, W. The effect of cadmium on the growth and antioxidant response for freshwater algae Chlorella vulgaris. Springer Plus 2016, 5, 1290. [Google Scholar] [CrossRef]
- Goswami, S.; Das, S. Copper phytoremediation potential of Calandula officinalis L. and the role of antioxidant enzymes in metal tolerance. Ecotox. Environ. Safe. 2016, 126, 211–218. [Google Scholar] [CrossRef]
- Patel, A.; Pandey, V.; Patra, D.D. Influence of tannery sludge on oil yield, metal uptake and antioxidant activities of Ocimum basilicum L. grown in two different soils. Ecol. Eng. 2015, 83, 422–430. [Google Scholar] [CrossRef]
- Zouari, M.; Elloumi, N.; Ahmed, C.B.; Delmail, D.; Rouina, B.B.; Abdallah, F.B.; Labrousse, P. Exogenous proline enhances growth, mineral uptake, antioxidant defense, and reduces cadmium–induced oxidative damage in young date palm (Phoenix dactylifera L.). Ecol. Eng. 2016, 86, 202–209. [Google Scholar] [CrossRef]
- Li, D.; Wang, L.; Wang, Y.; Li, H.; Chen, G. Soil properties and cultivars determine heavy metal accumulation in rice grain and cultivars respond differently to Cd stress. Environ. Sci. Pollut. Res. 2019, 26, 14638–14648. [Google Scholar] [CrossRef]
- Liu, H.J.; Zhang, C.X.; Wang, J.M.; Zhou, C.J.; Feng, H.; Mahajan, M.D.; Han, X.R. Influence and interaction of iron and cadmium on photosynthesis and antioxidative enzymes in two rice cultivars. Chemosphere 2017, 171, 240–247. [Google Scholar] [CrossRef] [PubMed]
- Ali, A.; Guo, D.; Mahar, A.; Wang, P.; Ma, F.; Shen, F.; Li, R.; Zhang, Z. Phytoextraction of toxic trace elements by Sorghum bicolor inoculated with Streptomyces pactum (Act12) in contaminated soils. Ecotox. Environ. Safe. 2017, 139, 202–209. [Google Scholar] [CrossRef]
- Uyasatian, U.; Ussawarujikulchai, A.; Leelawat, T. Estimation of buildingrelated C&D waste generation and composition in Bangkok. Environ. Nat. Resour. J. 2007, 5, 133–140. [Google Scholar]
- Rodriguez, G.; Alegre, F.J.; Martinez, G. The contribution of environmental management systems to the management of construction and demolition waste: The case of the Autonomous Community of Madrid (Spain). Resour. Conserv. Recycl. 2007, 50, 334–349. [Google Scholar] [CrossRef]
- Delongui, L.; Matuella, M.; Nunez, W.P.; Fedrigo, W.; da Silva, L.C.P.; Ceratti, J.A.P. Construction and demolition waste parameters for rational pavement design. Constr. Build. Mater. 2018, 168, 105–112. [Google Scholar] [CrossRef]
- Huang, X.R.; Zhao, H.H.; Hu, X.F.; Liu, F.H.; Wang, L.; Zhao, X.; Gao, P.C.; Ji, P.H. Optimization of preparation technology for modified coal fly ash and its adsorption properties for Cd2+. J. Hazard. Mater. 2020, 392, 122461. [Google Scholar] [CrossRef]
- Rautaray, S.K.; Ghosh, B.C.; Mittra, B.N. Effect of fly ash, organic wastes and chemical fertilizers on yield, nutrient uptake, heavy metal content and residual fertility in a rice-mustard cropping sequence under acid lateritic soils. Bioresour. Technol. 2003, 90, 275–283. [Google Scholar] [CrossRef] [PubMed]
- Singh, A.; Sharma, R.K.; Agrawal, S.B. Effects of fly ash incorporation on heavy metal accumulation, growth and yield responses of Beta vulgaris plants. Bioresour. Technol. 2008, 99, 7200–7207. [Google Scholar] [CrossRef]
- Amirahmadi, E.; Ghorbani, M.; Moudry, J. Effects of Zeolite on Aggregation, Nutrient Availability, and Growth Characteristics of Corn (Zea mays L.) in Cadmium-Contaminated Soils. Water Air Soil Poll. 2022, 11, 436. [Google Scholar] [CrossRef]
- Poorahong, T. Efficiency of Some Heavy Metal Removal from Printed Circuit Board Industrial Wastewater by Concrete Rubbish Media. Master’s Thesis, Chulalongkorn University, Bangkok, Thailand, 2002. [Google Scholar]
- GB/T 50082–2009; Standard for test methods of long-term performance and du-rability of ordinary concrete. China Organization for Standardization: Beijing, China, 2009.
- Lindsay, W.L.; Norvell, W.A. Development of a DTPA soil test for zinc, iron, manganese, and copper. Soil Sci. Soc. Am. J. 1978, 42, 421–428. [Google Scholar] [CrossRef]
- ISO/DIS 14870; Soil Quality: Extraction of Trace Elements by Buffered DTPA Solution. International Organization for Standardization: Geneve, Switzerland, 1996.
- Prosser, J.; Speir, T.; Stott, D. Soil Oxidoreductases and FDA Hydrolysis. In Methods of Soil Enzymology Soil; Dick, R.P., Ed.; Science Society of America Inc.: Madison, WI, USA, 2011; pp. 103–124. [Google Scholar]
- Yang, X.; Liu, J.; Mcgrouther, K.; Huang, H.; Lu, K.; Guo, X.; He, L.; Lin, X.; Che, L.; Ye, Z. Effect of biochar on the extractability of heavy metals (Cd, Cu, Pb, and Zn) and enzyme activity in soil. Environ. Sci. Pollut. Res. 2016, 23, 974–984. [Google Scholar] [CrossRef]
- Chen, Y.X.; Huang, X.D.; Han, Z.Y.; Huang, X.; Hu, B.; Shi, D.Z.; Wu, W.X. Effects of bamboo charcoal and bamboo vinegar on nitrogen conservation and heavy metals immobility during pig manure composting. Chemosphere 2010, 78, 1177–1181. [Google Scholar] [CrossRef]
- Kazemi, N.; Khavari–Nejad, R.A.; Fahimi, H.; Saadatmand, S.; Nejad–Sattari, T. Effects of exogenous salicylic acid and nitric oxide on lipid peroxidation and antioxidant enzyme activities in leaves of Brassica napus L. under nickel stress. Sci. Hortic. 2010, 126, 402–407. [Google Scholar] [CrossRef]
- Wang, Y.; Pan, F.; Wang, G.; Zhang, G.; Wang, Y.; Chen, X.; Mao, Z. Effects of biochar on photosynthesis and antioxidative system of Malus hupehensis Rehd. seedlings under replant conditions. Sci. Hortic. 2014, 175, 9–15. [Google Scholar] [CrossRef]
- Bradford, M. A rapid and sensitive method for the quantitation of microgram quantities of protein utilizing the principle of protein–dye binding. Anal. Biochem. 1976, 72, 248–254. [Google Scholar] [CrossRef] [PubMed]
- Khan, A.H.A.; Nawaz, I.; Yousaf, S.; Cheema, A.S.; Iqbal, M. Soil amendments enhanced the growth of Nicotiana alata L. and Petunia hydrida L. by stabilizing heavy metals from wastewater. J. Environ. Manage. 2019, 242, 46–55. [Google Scholar] [CrossRef]
- Huang, L.; Gao, X.; Liu, M.; Du, G.; Guo, J.S.; Ntakirutimana, T. Correlation among soil microorganisms, soil enzyme activities, and removal rates of pollutants in three constructed wetlands purifying micro–polluted river water. Ecol. Eng. 2012, 46, 98–106. [Google Scholar] [CrossRef]
- Niemeyer, J.C.; Lolata, G.B.; Carvalho, G.M.d.; Da Silva, E.M.; Sousa, J.P.; Nogueira, M.A. Microbial indicators of soil health as tools for ecological risk assessment of a metal contaminated site in Brazil. Appl. Soil Ecol. 2012, 59, 96–105. [Google Scholar] [CrossRef]
- Makoi, J.H.J.R.; Ndakidemi, P.A. Selected soil enzymes: Examples of their potential roles in the ecosystem. Afr. J. Biotechnol. 2008, 7, 181–191. [Google Scholar]
- Jiang, J.; Xu, R.; Jiang, T.; Li, Z. Immobilization of Cu (II), Pb (II) and Cd (II) by the addition of rice straw derived biochar to a simulated polluted Ultisol. J. Hazard Mater. 2012, 229, 145–150. [Google Scholar] [CrossRef]
- Dai, Z.; Wang, Y.; Muhammad, N.; Yu, X.; Xiao, K.; Meng, J.; Liu, X.; Xu, J.; Brookes, P.C. The Effects and Mechanisms of Soil Acidity Changes, following Incorporation of Biochars in Three Soils Differing in Initial pH. Soil Sci. Soc. Am. J. 2014, 78, 1606–1614. [Google Scholar] [CrossRef]
- Yuan, J.H.; Xu, R.K.; Zhang, H. The forms of alkalis in the biochar produced from crop residues at different temperatures. Bioresource Technol. 2011, 102, 3488–3497. [Google Scholar] [CrossRef]
- Houben, D.; Evrard, L.; Sonnet, P. Beneficial effects of biochar application to contaminated soils on the bioavailability of Cd, Pb and Zn and the biomass production of rapeseed (Brassica napus L.). Biomass Bioenerg. 2013, 5, 196–204. [Google Scholar] [CrossRef]
- Oste, A.; Temminghoff, E.J.M.; Van Riemsdijk, W.H. Solid–solution Partitioning of Organic Matter in Soils as Influenced by an Increase in pH or Ca Concentration. Environ. Sci. Technol. 2002, 36, 208–214. [Google Scholar] [CrossRef]
- Rotman, B.; Papermas, B.W. Membrane properties of living mammalian cells as studied by enzymatic hydrolysis of fluorogenic esters. Proc. Natl. Acad. Sci. USA 1966, 55, 134–141. [Google Scholar] [CrossRef] [PubMed]
- Cui, L.; Cheng, K.; Li, L.; Yan, J.; Zhang, A.; Bian, R.; Chang, A. The reduction of wheat Cd uptake in contaminated soil via biochar amendment: A two–year field experiment. Bioresources 2012, 7, 5666–5676. [Google Scholar] [CrossRef]
- Huang, D.; Liu, L.; Zeng, G.; Xu, P.; Huang, C.; Deng, L.; Wang, R.; Wan, J. The effects of rice straw biochar on indigenous microbial community and enzymes activity in heavy metal–contaminated sediment. Chemosphere 2017, 174, 545–553. [Google Scholar] [CrossRef] [PubMed]
- Wang, Y.; Shi, J.; Lin, Q.; Chen, X.; Chen, Y. Heavy metal availability and impact on activity of soil microorganisms along a Cu/Zn contamination gradient. J. Environ. Sci. 2007, 19, 848–853. [Google Scholar] [CrossRef] [PubMed]
- Marstorp, H.; Bååth, E.; Witter, E.; Gong, P. A study of the structure and metal tolerance of the soil microbial community six years after cessation of sewage sludge applications. Environ. Toxicol. Chem. 2000, 19, 1983–1991. [Google Scholar]
- Lahori, A.H.; Zhang, Z.; Guo, Z.; Li, R.; Mahar, A.; Awasthi, M.K.; Wang, P.; Shen, F.; Kumbhar, F.; Sial, T.A.; et al. Beneficial effects of tobacco biochar combined with mineral additives on (im)mobilization and (bio)availability of Pb, Cd, Cu and Zn from Pb/Zn smelter contaminated soils. Ecotox. Environ. Safe. 2017, 145, 528–538. [Google Scholar] [CrossRef]
- Toshimitsu, H.; Hirotomo, O.; Ayako, K.K.; Tomoyuki, M.; Ken, N.; Hidetaka, K. Optimal Soil Eh, pH, and Water Management for Simultaneously Minimizing Arsenic and Cadmium Concentrations in Rice Grains. Environ. Sci. Technol. 2016, 50, 4178–4185. [Google Scholar]
- Zhu, H.; Chen, C.; Xu, C.; Zhu, Q.; Huang, D. Effects of soil acidification and liming on the phytoavailability of cadmium in paddy soils of central subtropical China. Environ. Pollut. 2016, 219, 99–106. [Google Scholar] [CrossRef]
- Shaheen, S.M.; Rinklebe, J. Impact of emerging and low cost alternative amendments on the (im)mobilization and phytoavailability of Cd and Pb in a contaminated floodplain soil. Ecol. Eng. 2015, 74, 319–326. [Google Scholar] [CrossRef]
- Wang, Y.; Ying, Y.; Lu, S. Si–Ca–K–Mg amendment reduces the phytoavailability and transfer of Cd from acidic soil to rice grain. Environ. Sci. Pollut. Res. 2020, 27, 33248–33258. [Google Scholar] [CrossRef]
- Zhao, B.; Xu, R.; Ma, F.; Li, Y.; Wang, L. Effects of biochars derived from chicken manure and rape straw on speciation and phytoavailability of Cd to maize in artificially contaminated loess soil. J. Environ. Manage. 2016, 184, 569–574. [Google Scholar] [CrossRef]
- Ding, J.; Sun, Y.; Xiao, C.L.; Shi, K.; Zhou, Y.H.; Yu, J.Q. Physiological basis of different allelopathic reactions of cucumber and figleaf gourd plants to cinnamic acid. J. Exp. Bot. 2007, 58, 3765–3773. [Google Scholar] [CrossRef] [PubMed]
- Farhangi–Abriz, S.; Torabian, S. Antioxidant enzyme and osmotic adjustment changes in bean seedlings as affected by biochar under salt stress. Ecotox. Environ. Safe. 2017, 137, 64–70. [Google Scholar] [CrossRef] [PubMed]
- Singh, P.; Prasad, S.M. Antioxidant enzyme responses to the oxidative stress due to chlorpyrifos, dimethoate and dieldrin stress in palak (Spinacia oleracea L.) and their toxicity alleviation by soil amendments in tropical cropland. Sci. Total Environ. 2017, 35, 985–999. [Google Scholar] [CrossRef] [PubMed]
- Liu, T.; Wang, X.; Chen, D.; Li, Y.; Wang, F. Growth, reproduction and biochemical toxicity of chlorantraniliprole in soil on earthworms (Eisenia fetida). Ecotox. Environ. Safe. 2018, 150, 18–25. [Google Scholar] [CrossRef]
- Wang, J.; Wang, J.; Xu, C.; Liu, R.; Chen, Y. Molecular mechanism of catalase activity change under sodium dodecyl sulfate–induced oxidative stress in the mouse primary hepatocytes. J. Hazard. Mater. 2016, 307, 173–183. [Google Scholar] [CrossRef]
- Li, Y.; Zhang, S.; Jiang, W.; Liu, D. Cadmium accumulation, activities of antioxidant enzymes, and malondialdehyde (MDA) content in Pistia stratiotes L. Environ. Sci. Pollut. Res. 2013, 20, 1117–1123. [Google Scholar] [CrossRef]
- Soudek, P.; Petrová, Š.; Vaňková, R.; Song, J.; Vaněk, T. Accumulation of heavy metals using Sorghum sp. Chemosphere 2014, 104, 15–24. [Google Scholar] [CrossRef]
- Liu, X.; Zhang, S.; Shan, X.; Christie, P. Combined toxicity of cadmium and arsenate to wheat seedlings and plant uptake and antioxidative enzyme responses to cadmium and arsenate co–contamination. Ecotox. Environ. Safe. 2007, 68, 305–313. [Google Scholar] [CrossRef] [PubMed]
Disclaimer/Publisher’s Note: The statements, opinions and data contained in all publications are solely those of the individual author(s) and contributor(s) and not of MDPI and/or the editor(s). MDPI and/or the editor(s) disclaim responsibility for any injury to people or property resulting from any ideas, methods, instructions or products referred to in the content. |
© 2023 by the authors. Licensee MDPI, Basel, Switzerland. This article is an open access article distributed under the terms and conditions of the Creative Commons Attribution (CC BY) license (https://creativecommons.org/licenses/by/4.0/).








