Study of Information Dissemination in Hypernetworks with Adjustable Clustering Coefficient
Abstract
1. Introduction
2. Theoretical Background
2.1. The Concept of Hypernetwork
2.2. The Evolution of Agglomeration-Phenomenon Hypernetwork
- (i)
- Initialization: a hyperedge in the hypernetwork contains nodes.
- (ii)
- At each time step t, new nodes form a new hyperedge with existing nodes, and m nonrepeating hyperedges are constructed at each time step.
- (iii)
- Hyperdegree preference attachment: The probability that the new nodes connect to the old node of the batch is proportional to a function of the hyperdegree , such that:The hyperdegree of the node in the batch at time t can be represented by , while the total number of hyperdegrees of all nodes at time t can be represented by . This process is repeated times to select old nodes.
- (iv)
- Clustering attachment with probability p: If two old nodes are selected in the previous preferential attachment step to form a new hyperedge with new nodes, the new nodes randomly select neighbors of u or v to form a new hyperedge. If all neighbors of u or v have been selected and no new nonrepeating hyperedge can be formed, then the preferential attachment step is executed.
2.3. SIS Model
3. Information Dissemination Model Based on RP Strategy
3.1. Model Description
- Initialization: at , a node is selected as the I-state node, while the remaining nodes are classified as S-state nodes.
- Propagation: at each subsequent time step, the I-state node transmits information to all neighbor nodes in the S-state. S-state nodes change to I-state nodes with a probability of . Conversely, I-state nodes may transition back to the S-state node with a probability of due to factors such as forgetfulness.
- Steady state: with the continuous spread of information, the density of nodes in the I-state gradually stabilizes and fluctuates slightly around this stable density, signifying that information propagation in the network has reached a steady state.
3.2. Theoretical Analysis
4. Simulation Results and Analysis
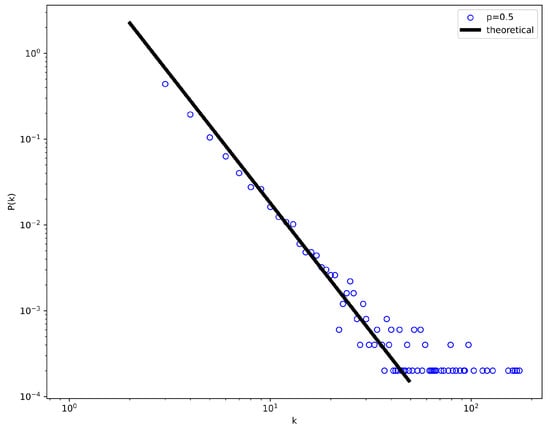
4.1. Hyperdegree Distribution Results
4.2. The Results of Information Communication Theory Analysis
4.2.1. The Simulation Result of the Density of I-State Nodes under Steady State
4.2.2. The Impact of Hypernetwork Scale
4.2.3. The Influence of the Spreading Seed
4.2.4. Effect of Clustering Coefficient
4.2.5. Impact of Spreading Rate and Recovering Rate
- (i)
- Effect of
- (ii)
- Effect of
4.2.6. The Influence of Structural Parameters , , and m
- (i)
- Effect of
- (ii)
- Effect of
- (iii)
- Effect of
- (iv)
- Effect of m
4.2.7. Compare with BA Hypernetwork
4.3. Summary of the Experimental Results
5. Conclusions and Prospect
- The hypernetwork structure is based on k-uniform hypergraphs. The number of individuals in a social hypernetwork is usually different, and it remains to be further investigated whether there are unique information dissemination characteristics on nonuniform hypergraphs based on aggregation phenomena.
- The information dissemination discussed in this paper is based on a static hypernetwork. However, the cooperative relationships between individuals change according to social activities. Thus, the next consideration is to extend the aggregation-phenomenon hypernetworks to dynamic hypernetworks.
- The validation of the current theory requires empirical data to support the proposed theoretical model.
- The information dissemination can be influenced by various intricate factors, including misunderstanding, loss, and addition of information, which will be a key research direction in the future.
Author Contributions
Funding
Institutional Review Board Statement
Informed Consent Statement
Data Availability Statement
Conflicts of Interest
References
- Wang, J.; Wang, Z.; Yu, P.; Wang, P. The seir dynamic evolutionary model with markov chains in hyper networks. Sustainability 2022, 14, 13036. [Google Scholar] [CrossRef]
- Lotf, J.J.; Azgomi, M.A.; Dishabi, M.R.E. An improved influence maximization method for social networks based on genetic algorithm. Phys. A Stat. Its Appl. 2022, 586, 126480. [Google Scholar] [CrossRef]
- Zhou, Z.; Xu, K.; Zhao, J. Homophily of music listening in online social networks of china. Soc. Netw. 2018, 55, 160–169. [Google Scholar] [CrossRef]
- Li, F.; Du, T.C. The effectiveness of word of mouth in offline and online social networks. Expert Syst. Appl. 2017, 88, 338–351. [Google Scholar] [CrossRef]
- Yu, P.; Wang, Z.; Wang, P.; Yin, H.; Wang, J. Dynamic evolution of shipping network based on hypergraph. Phys. A Stat. Mech. Its Appl. 2022, 598, 127247. [Google Scholar] [CrossRef]
- Liu, C.; Zhang, Z.-K. Information spreading on dynamic social networks. Commun. Nonlinear Sci. Numer. Simul. 2014, 19, 896–904. [Google Scholar] [CrossRef]
- Jiang, X.; Wang, Z.; Liu, W. Information dissemination in dynamic hypernetwork. Phys. A Stat. Mech. Its Appl. 2019, 532, 121578. [Google Scholar] [CrossRef]
- Pastor-Satorras, R.; Vespignani, A. Epidemic spreading in scale-free networks. Phys. Rev. Lett. 2001, 86, 3200. [Google Scholar] [CrossRef] [PubMed]
- Wang, K.; Gong, Y.; Hu, F. Sis epidemic propagation on scale-free hypernetwork. Appl. Sci. 2022, 12, 10934. [Google Scholar] [CrossRef]
- Wu, Q.; Zhang, H. Epidemic threshold of node-weighted susceptible-infected-susceptible models on networks. J. Phys. A Math. Theor. 2016, 49, 345601. [Google Scholar] [CrossRef]
- Wu, Q.; Zhang, F. Threshold conditions for sis epidemic models on edge-weighted networks. Phys. A Stat. Mech. Its Appl. 2016, 453, 77–83. [Google Scholar] [CrossRef]
- Shen, A.-Z.; Guo, J.-L.; Suo, Q. Study of the variable growth hypernetworks influence on the scaling law. Chaos Solitons Fractals 2017, 97, 84–89. [Google Scholar] [CrossRef]
- Gao, L.; Wang, W.; Pan, L.; Tang, M.; Zhang, H.-F. Effective information spreading based on local information in correlated networks. Sci. Rep. 2016, 6, 38220. [Google Scholar] [CrossRef] [PubMed]
- Kribs-Zaleta, C.M. Core recruitment effects in sis models with constant total populations. Math. Biosci. 1999, 160, 109–158. [Google Scholar] [CrossRef]
- Daley, D.J.; Gani, J. Epidemic Modelling: An Introduction, No. 15; Cambridge University Press: Cambridge, UK, 2001. [Google Scholar]
- Newman, M.E.J. Coauthorship networks and patterns of scientific collaboration. Proc. Natl. Acad. Sci. USA 2004, 101 (Suppl. 1), 5200–5205. [Google Scholar] [CrossRef] [PubMed]
- Zanette, D.H.; Bouzat, S. Potential-partnership networks and the dynamical structure of monogamous populations. Eur. Phys. J. 2010, 75, 373–379. [Google Scholar] [CrossRef]
- Watts, D.J.; Strogatz, S.H. Collective dynamics of ‘small-world’ networks. Nature 1998, 393, 440–442. [Google Scholar] [CrossRef]
- Suo, Q.; Guo, J.-L.; Shen, A.-Z. Information spreading dynamics in hypernetworks. Phys. A Stat. Mech. Its Appl. 2018, 495, 475–487. [Google Scholar] [CrossRef]
- Estrada, E.; Rodríguez-Velázquez, J.A. Subgraph centrality and clustering in complex hyper-networks. Phys. Stat. Mech. Its Appl. 2006, 364, 581–594. [Google Scholar] [CrossRef]
- Volpentesta, A.P. Hypernetworks in a directed hypergraph. Eur. J. Oper. Res. 2008, 188, 390–405. [Google Scholar] [CrossRef]
- Criado, R.; Romance, M.; Vela-Pérez, M. Hyperstructures, a new approach to complex systems. Int. J. Bifurc. Chaos 2010, 20, 877–883. [Google Scholar] [CrossRef]
- Xiao, Q. A method for measuring node importance in hypernetwork model. Res. Appl. Sci. Eng. Technol. 2013, 5, 568–573. [Google Scholar] [CrossRef]
- Ma, N.; Liu, Y. Superedgerank algorithm and its application in identifying opinion leader of online public opinion supernetwork. Expert Syst. Appl. 2014, 41, 1357–1368. [Google Scholar] [CrossRef]
- Guo, J.-L.; Zhu, X.-Y.; Suo, Q.; Forrest, J. Non-uniform evolving hypergraphs and weighted evolving hypergraphs. Sci. Rep. 2016, 6, 36648. [Google Scholar] [CrossRef]
- Wang, J.-W.; Rong, L.-L.; Deng, Q.-H.; Zhang, J.-Y. Evolving hypernetwork model. Eur. Phys. J. 2010, 77, 493–498. [Google Scholar] [CrossRef]
- Hu, F.; Zhao, H.; Ma, X. An evolving hypernetwork model and its properties. Sci. Sin. Phys. Mech. Astron. 2013, 43, 16. [Google Scholar] [CrossRef]
- Guo, J.-L.; Zhu, X.-Y. Emergence of scaling in hypernetworks. Acta Phys. 2014, 63, 090207. [Google Scholar] [CrossRef]
- Shen, A.-Z.; Guo, J.-L.; Wu, G.-L.; Jia, S.-W. The agglomeration phenomenon influence on the scaling law of the scientific collaboration system. Chaos Solitons Fractals 2018, 114, 461–467. [Google Scholar] [CrossRef]
- Berge, C. Graphs and Hypergraphs; Elsevier: New York, NY, USA, 1973. [Google Scholar] [CrossRef]
- Berge, C. Hypergraphs: Combinatorics of Finite Sets; Elsevier: Amsterdam, The Netherlands, 1984; Volume 45. [Google Scholar]















| Parameters | The Density of Informed Nodes () | |
|---|---|---|
| Non-Steady State | Steady State | |
| Nodes () | ||
| Spreading seed | ||
| Clustering coefficient () | ||
| Clustering coefficient () | ||
| Spreading rate () | ||
| Recovering rate () | ||
| New nodes () | ||
| Old nodes () | ||
| New hyperedges () | ||
Disclaimer/Publisher’s Note: The statements, opinions and data contained in all publications are solely those of the individual author(s) and contributor(s) and not of MDPI and/or the editor(s). MDPI and/or the editor(s) disclaim responsibility for any injury to people or property resulting from any ideas, methods, instructions or products referred to in the content. |
© 2023 by the authors. Licensee MDPI, Basel, Switzerland. This article is an open access article distributed under the terms and conditions of the Creative Commons Attribution (CC BY) license (https://creativecommons.org/licenses/by/4.0/).
Share and Cite
Li, P.; Wei, L.; Ding, H.; Li, F.; Hu, F. Study of Information Dissemination in Hypernetworks with Adjustable Clustering Coefficient. Appl. Sci. 2023, 13, 8212. https://doi.org/10.3390/app13148212
Li P, Wei L, Ding H, Li F, Hu F. Study of Information Dissemination in Hypernetworks with Adjustable Clustering Coefficient. Applied Sciences. 2023; 13(14):8212. https://doi.org/10.3390/app13148212
Chicago/Turabian StyleLi, Pengyue, Liang Wei, Haiping Ding, Faxu Li, and Feng Hu. 2023. "Study of Information Dissemination in Hypernetworks with Adjustable Clustering Coefficient" Applied Sciences 13, no. 14: 8212. https://doi.org/10.3390/app13148212
APA StyleLi, P., Wei, L., Ding, H., Li, F., & Hu, F. (2023). Study of Information Dissemination in Hypernetworks with Adjustable Clustering Coefficient. Applied Sciences, 13(14), 8212. https://doi.org/10.3390/app13148212

