MFIRA: Multimodal Fusion Intent Recognition Algorithm for AR Chemistry Experiments
Abstract
1. Introduction
- For the limitations of the traditional virtual experiment system with a single mode of interaction and a high memory load:
- To address the limitations of traditional multimodal fusion algorithms:
2. Related Work
2.1. Virtual Experiment
2.2. A Multimodal Fusion Approach to Intent Understanding
2.3. Development of Multimodal Fusion Technology in Virtual Experiments
3. Construction of an AR Chemistry Experiment System Based on Hololens 2
3.1. Hardware
- Hand tracking component: contains KinectV3 camera, located above the display of Hololens 2.
- Microphone assembly: contains a 5-channel microphone array and a speaker with built-in spatial sound effects.
- Eye-tracking component: contains 2 infrared (IR) cameras located inside the Hololens 2 display.
3.2. Scene Building
4. Intent-Understanding Algorithm for Multimodal Fusion to Teach AR Chemistry Experiments
4.1. General Framework
4.2. Multimodal Fusion for Intent Understanding Algorithms
4.2.1. SGORA: Operation Action Acquisition
Unimodal (Gesture)
Multimodal (Gesture + Speech)

| Algorithm 1. SGORA: Speech and Gesture-based Operation Recognition Algorithm |
| Input: speech, gesture Output: user’s action probability sequence OP = [OP1,OP2,…OPN] 1: While the system acquires information (speech or gesture) ! = NULL: 2: T0 = current system time T1 = T0 + T 3: Within the time period: [T0, T1], the number of channels is determined for the |
| acquired modalities: 4: IF only single modal information is available, Gesture ! = NULL: Gesture -> LSTM -> Classification; Obtain gesture classification similarity, compare gesture library: OP = [OP1,OP2,…OPN] after normalization of recognition results 5: Otherwise (Speech ! = Null and Gesture ! = Null): (Gesture + Speech) -> fusion model () -> MLP -> Softmax -> Classification;Based on the classification result of the fusion model, the recognition result is normalized to OP = [OP1,OP2,…OPN]Return OP End |
4.2.2. SGVTRA: Target Object Acquisition
Unimodal (Gesture)
- The hand will be close to the target when the user selects the target object;
- The movement speed of the wrist when the user selects the target object will be less than a threshold value δ, and the whole process consists of deceleration.
Unimodal (Speech)
Unimodal (Visual Attention)
Multimodal (Gesture + Speech + Visual Attention)
| Algorithm 2. SGVTRA: Speech, Gesture, and Visual Attention-based Target object Recognition Algorithm |
| Input: Speech, Gesture, Visual attention Output: user’s action probability sequence OBJ = [OBJ1,OBJ2,…OBJN] 1: While system obtains information (Gesture, Speech or Visual) ! = NULL: 2: T0 = current system time T1 = T0 + 5s 3: During the time period: [T0, T1], fuse the acquired modalities with the information: 4: IF Gesture ! = Null: Determine whether the Formula (5) is satisfied or not. According to Formulas (6)–(8), (, ) -> -> OBJ_A = normalization [] 5: IF Speech ! = Null: According to the result of speech recognition, Use Equation 9 to perform cosine similarity calculations for word |
| segmentation results with the item library. Speech -> API -> LTP -> -> OBJ_B = normalization [] 6: IF Visual attention ! = Null: Determine whether the Formula (10) is satisfied or not. Update according to Equations (11) and (12) OBJ_C = [] 7: Using the coefficient of variation method: Weight OBJ_A, OBJ_B, OBJ_C, update the weights to OBJ = Return OBJ End |
4.2.3. MFIRA: Multimodal Fusion Intent Recognition Algorithm
| Algorithm 3. MFIRA: Multimodal Fusion Intent Recognition Algorithm |
| Input: SGORA, SGVTRA Output: Intent Int 1: while SGORA (G, S) ! = NULL and SGVTRA (G,S,V) ! = NULL: 2: obtain OP, OBJ 3: 4: Reorder the INT sequence from largest to smallest: 5: IF : System Clear Voice prompt: Intent conflict between modalities, please redo the operation Break; 6: else: Int = MAX(INT) Return Int End |
5. Experiment
5.1. Experimental Setup
5.2. Experimental Results
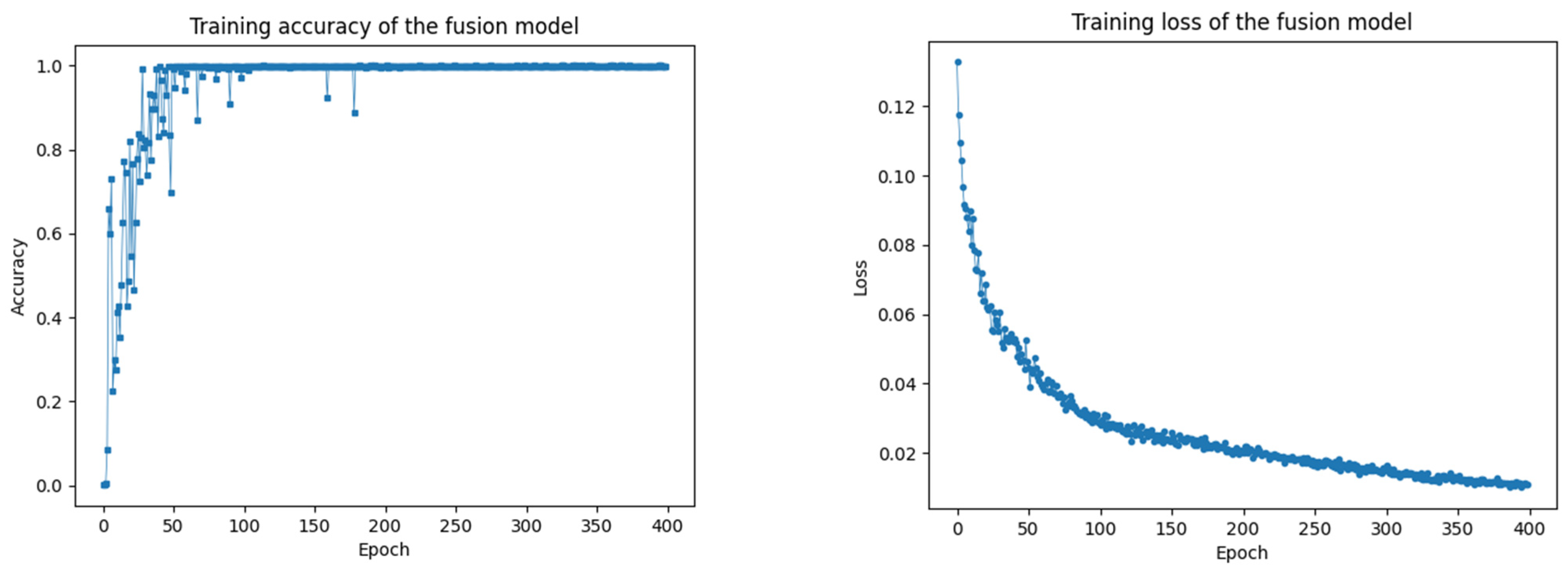
5.2.1. Recognition Rate of Fusion Model
5.2.2. MFIRA Algorithm Analysis
5.2.3. Teaching Guidance Method Setting Based on MFIRA Algorithm
5.2.4. Comparison Experiments
5.2.5. Cognitive Load and User Evaluation
6. Summary and Outlook
Author Contributions
Funding
Institutional Review Board Statement
Informed Consent Statement
Data Availability Statement
Conflicts of Interest
References
- Li, N.; Xiong, Z.; Mo, Z. Research on the Assessment of Cognitive Ability in High School Chemistry Experiments in Northwest China. Chem. Educ. Teach. 2020, 4, 7–13. [Google Scholar]
- NOBOOK Virtual Lab. Available online: https://school.nobook.com.cn/site (accessed on 28 May 2023).
- Zeng, B.; Feng, Z.; Xu, T.; Xiao, M.; Han, R. Research on intelligent experimental equipment and key algorithms based on multimodal fusion perception. IEEE Access 2020, 8, 142507–142520. [Google Scholar] [CrossRef]
- Aljuhani, K.; Sonbul, M.; Althabiti, M.; Meccawy, M. Creating a Virtual Science Lab (VSL): The adoption of virtual labs in Saudi schools. Smart Learn. Environ. 2018, 5, 16. [Google Scholar] [CrossRef]
- Morozov, M.; Tanakov, A.; Gerasimov, A.; Bystrov, D.; Cvirco, E. Virtual chemistry laboratory for school education. In Proceedings of the IEEE International Conference on Advanced Learning Technologies, 2004. Proceedings, Joensuu, Finland, 30 August–1 September 2004; IEEE: Piscataway, NJ, USA, 2004; pp. 605–608. [Google Scholar]
- Tingfu, M.; Ming, G.; Lily, Q.; Gang, Z.; Yong, P. Three-dimensional virtual chemical laboratory based on virtual reality modeling language. In Proceedings of the 2008 IEEE International Symposium on IT in Medicine and Education, Xiamen, China, 12–14 December 2008; IEEE: Piscataway, NJ, USA, 2008; pp. 491–496. [Google Scholar]
- Bogusevschi, D.; Muntean, C.; Muntean, G.M. Teaching and learning physics using 3D virtual learning environment: A case study of combined virtual reality and virtual laboratory in secondary school. J. Comput. Math. Sci. Teach. 2020, 39, 5–18. [Google Scholar]
- Salinas, P.; Pulido, R. Visualization of conics through augmented reality. Procedia Comput. Sci. 2015, 75, 147–150. [Google Scholar] [CrossRef]
- De Castro Rodrigues, D.; de Siqueira, V.S.; da Costa, R.M.; Barbosa, R.M. Artificial Intelligence applied to smart interfaces for children’s educational games. Displays 2022, 74, 102217. [Google Scholar] [CrossRef]
- Lenz, L.; Janssen, D.; Stehling, V. Mixed reality voice training for lecturers. In Proceedings of the 2017 4th Experiment@ International Conference (Exp. at’17), Faro, Portugal, 6–8 June 2017; IEEE: Piscataway, NJ, USA, 2017; pp. 107–108. [Google Scholar]
- Wörner, S.; Kuhn, J.; Scheiter, K. The best of two worlds: A systematic review on combining real and virtual experiments in science education. Rev. Educ. Res. 2022, 92, 911–952. [Google Scholar] [CrossRef]
- Chhabria, S.A.; Dharaskar, R.V.; Thakare, V.M. Survey of fusion techniques for design of efficient multimodal systems. In Proceedings of the 2013 International Conference on Machine Intelligence and Research Advancement, Katra, India, 21–23 December 2013; IEEE: Piscataway, NJ, USA, 2013; pp. 486–492. [Google Scholar]
- Holzapfel, H.; Nickel, K.; Stiefelhagen, R. Implementation and evaluation of a constraint-based multimodal fusion system for speech and 3D pointing gestures. In Proceedings of the 6th International Conference on Multimodal Interfaces, State College, PA, USA, 13–15 October 2004; pp. 175–182. [Google Scholar]
- Corradini, A.; Mehta, M.; Bernsen, N.O.; Martin, J.; Abrilian, S. Multimodal input fusion in human-computer interaction. In NATO Science Series Sub Series III Computer and Systems Sciences; IOS Press: Yerevan, Armenia, 2005; Volume 198, p. 223. [Google Scholar]
- Mollaret, C.; Mekonnen, A.A.; Ferrané, I.; Pinquier, J.; Lerasle, F. Perceiving user’s intention-for-interaction: A probabilistic multimodal data fusion scheme. In Proceedings of the 2015 IEEE International Conference on Multimedia and Expo (ICME), Turin, Italy, 29 June–3 July 2015; IEEE: Piscataway, NJ, USA, 2015; pp. 1–6. [Google Scholar]
- Ge, W.; Cheng, C.; Zhang, T.; Zhang, J.; Zhu, H. User intent for virtual environments. In Recent Developments in Intelligent Systems and Interactive Applications: Proceedings of the International Conference on Intelligent and Interactive Systems and Applications (IISA2016); Springer International Publishing: Berlin/Heidelberg, Germany, 2017; pp. 296–302. [Google Scholar]
- Mounir, S.; Cheng, C. Complex event processing for intent understanding in virtual environments. Int. J. Comput. Theory Eng. 2017, 9, 185–191. [Google Scholar] [CrossRef]
- Yang, M.; Tao, J. Intelligence methods of multi-modal information fusion in human-computer interaction. Sci. Sin. Informationis 2018, 48, 433–448. [Google Scholar] [CrossRef]
- Jiang, R.M.; Sadka, A.H.; Crookes, D. Multimodal biometric human recognition for perceptual human–computer interaction. IEEE Trans. Syst. Man Cybern. Part C (Appl. Rev.) 2010, 40, 676–681. [Google Scholar] [CrossRef]
- Hui, P.Y.; Meng, H. Latent semantic analysis for multimodal user input with speech and gestures. IEEE/ACM Trans. Audio Speech Lang. Process. 2013, 22, 417–429. [Google Scholar] [CrossRef]
- Alameda-Pineda, X.; Yan, Y.; Ricci, E.; Lanz, O.; Sebe, N. Analyzing free-standing conversational groups: A multimodal approach. In Proceedings of the 23rd ACM International Conference on Multimedia, Brisbane, Australia, 26–30 October 2015; pp. 5–14. [Google Scholar]
- Liu, H.; Fang, T.; Zhou, T.; Wang, L. Towards robust human-robot collaborative manufacturing: Multimodal fusion. IEEE Access 2018, 6, 74762–74771. [Google Scholar] [CrossRef]
- Vu, H.A.; Yamazaki, Y.; Dong, F.; Hirota, K. Emotion recognition based on human gesture and speech information using RT middleware. In Proceedings of the 2011 IEEE International Conference on Fuzzy Systems (FUZZ-IEEE 2011), Taipei, Taiwan, 27–30 June 2011; IEEE: Piscataway, NJ, USA, 2011; pp. 787–791. [Google Scholar]
- Wang, Z.; Fang, Y. Multimodal fusion of spatial-temporal features for emotion recognition in the wild. In Proceedings of the Advances in Multimedia Information Processing–PCM 2017: 18th Pacific-Rim Conference on Multimedia, Harbin, China, 28–29 September 2017; Revised Selected Papers, Part I 18; Springer International Publishing: Berlin/Heidelberg, Germany, 2018; pp. 205–214. [Google Scholar]
- Zhao, R.; Wang, K.; Divekar, R.; Rouhani, R.; Su, H.; Ji, Q. An immersive system with multi-modal human-computer interaction. In Proceedings of the 2018 13th IEEE International Conference on Automatic Face & Gesture Recognition (FG 2018), Xi’an, China, 15–19 May 2018; IEEE: Piscataway, NJ, USA, 2018; pp. 517–524. [Google Scholar]
- Pan, Z.; Luo, T.; Zhang, M.; Cai, N.; Li, Y.; Miao, J.; Li, Z.; Shen, Y.; Lu, J. MagicChem: A MR system based on needs theory for chemical experiments. Virtual Real. 2022, 26, 279–294. [Google Scholar] [CrossRef] [PubMed]
- Wang, H.; Feng, Z.; Tian, J.; Fan, X. MFA: A Smart Glove with Multimodal Intent Sensing Capability. Comput. Intell. Neurosci. 2022, 2022, 3545850. [Google Scholar] [CrossRef] [PubMed]
- Pérez-Marín, D.; Paredes-Velasco, M.; Pizarro, C. Multi-mode Digital Teaching and Learning of Human-Computer Interaction (HCI) using the VARK Model during COVID-19. Educ. Technol. Soc. 2022, 25, 78–91. [Google Scholar]
- Oramas, S.; Nieto, O.; Barbieri, F.; Serra, X. Multi-label music genre classification from audio, text, and images using deep features. arXiv 2017, arXiv:1707.04916. [Google Scholar]
- Che, W.; Feng, Y.; Qin, L.; Liu, T. N-LTP: An open-source neural language technology platform for Chinese. arXiv 2020, arXiv:2009.11616. [Google Scholar]
- Ludwig, C.J.; Gilchrist, I.D. Stimulus-driven and goal-driven control over visual selection. J. Exp. Psychol. Hum. Percept. Perform. 2002, 28, 902. [Google Scholar] [CrossRef] [PubMed]
- Gezeck, S.; Fischer, B.; Timmer, J. Saccadic reaction times: A statistical analysis of multimodal distributions. Vis. Res. 1997, 37, 2119–2131. [Google Scholar] [CrossRef] [PubMed]
- Xiao, M.; Feng, Z.; Yang, X.; Xu, T.; Guo, Q. Multimodal interaction design and application in augmented reality for chemical experiment. Virtual Real. Intell. Hardw. 2020, 2, 291–304. [Google Scholar] [CrossRef]
- Hart, S.G.; Staveland, L.E. Development of NASA-TLX (Task Load Index): Results of empirical and theoretical research. In Advances in Psychology; North-Holland: Amsterdam, The Netherlands, 1988; Volume 52, pp. 139–183. [Google Scholar]


















| Experimental Steps | Target Object | Operation Action |
|---|---|---|
| 1. Pick up the beaker | Beaker | Pick up |
| 2. Put down the beaker | Beaker | Put down |
| 3. Pick up the narrow-mouthed bottle containing water | Narrow-mouthed bottle | Pick up |
| 4. Pour water into the beaker | Beaker | Pour\Rotating |
| 5. Put the narrow-mouthed bottle containing water on the table | Narrow-mouthed bottle | Put down |
| 6. Pick up the phenolphthalein reagent bottle | Phenolphthalein reagent bottle | Pick up |
| 7. Put down the phenolphthalein reagent bottle | Phenolphthalein reagent bottle | Put down |
| 8. Pick up the dropper with a rubber head | Rubber-headed dropper | Pick up |
| 9. Drop phenolphthalein into the beaker | Beaker | Pour\Rotating |
| 10. Put the dropper with rubber head back into the phenolphthalein reagent bottle | Rubber-headed dropper | Put down |
| 11. Pick up the metallic sodium reagent bottle | Metallic sodium reagent bottle | Pick up |
| 12. Put down the metallic sodium reagent bottle | Metallic sodium reagent bottle | Put down |
| 13. Pick up the forceps | Forceps | Pick up |
| 14. Take metallic sodium from the metallic sodium reagent bottle with forceps | Metallic sodium reagent bottle | Pour\Rotating |
| 15. Put metallic sodium into the beaker | Beaker | Pour\Rotating |
| 16. Put the forceps back on the table | Metallic sodium reagent bottle | Put down |
| Pick Up | Put Down | Pour\Rotating | |
|---|---|---|---|
| G | 98.77 | 99.16 | 98.23 |
| G + S | 97.92 | 98.01 | 97.43 |
Disclaimer/Publisher’s Note: The statements, opinions and data contained in all publications are solely those of the individual author(s) and contributor(s) and not of MDPI and/or the editor(s). MDPI and/or the editor(s) disclaim responsibility for any injury to people or property resulting from any ideas, methods, instructions or products referred to in the content. |
© 2023 by the authors. Licensee MDPI, Basel, Switzerland. This article is an open access article distributed under the terms and conditions of the Creative Commons Attribution (CC BY) license (https://creativecommons.org/licenses/by/4.0/).
Share and Cite
Xia, Z.; Feng, Z.; Yang, X.; Kong, D.; Cui, H. MFIRA: Multimodal Fusion Intent Recognition Algorithm for AR Chemistry Experiments. Appl. Sci. 2023, 13, 8200. https://doi.org/10.3390/app13148200
Xia Z, Feng Z, Yang X, Kong D, Cui H. MFIRA: Multimodal Fusion Intent Recognition Algorithm for AR Chemistry Experiments. Applied Sciences. 2023; 13(14):8200. https://doi.org/10.3390/app13148200
Chicago/Turabian StyleXia, Zishuo, Zhiquan Feng, Xiaohui Yang, Dehui Kong, and Hong Cui. 2023. "MFIRA: Multimodal Fusion Intent Recognition Algorithm for AR Chemistry Experiments" Applied Sciences 13, no. 14: 8200. https://doi.org/10.3390/app13148200
APA StyleXia, Z., Feng, Z., Yang, X., Kong, D., & Cui, H. (2023). MFIRA: Multimodal Fusion Intent Recognition Algorithm for AR Chemistry Experiments. Applied Sciences, 13(14), 8200. https://doi.org/10.3390/app13148200
