Optimal Design and Analysis of Nonlinear Tuned Mass Damper System
Abstract
:Featured Application
Abstract
1. Introduction
2. Models of Systems, Equations of Motion and Their Dimensionless Forms
3. Frequency Design Formula and Approximate Analytical Solution for NTMD
3.1. Nonlinear Design Formula of NTMD
3.2. Validation of the Complex Variable Averaging Method
3.3. Damping-Based Design of NTMD Parameters
4. Analysis of Nonlinear Tuned Mass Damper Systems Based on Different Conditions
4.1. Analysis of NTMD Control Performance Based on Damping Conditions
4.2. NTMD Control Performance Analysis Based on 1:1 Resonance Conditions
4.3. Analysis of NTMD Control Performance Based on Softening Stiffness Conditions
5. Conclusions
- The frequency design formula for the NTMD was derived using the approximate analytical solution obtained through the complex variable averaging method. The results obtained from the approximate analytical solution and the nonlinear design equation were compared with those obtained from the conventional numerical method. The comparison results demonstrate good agreement between the results obtained from the modulation–demodulation equation derived through the complex variable averaging method and the numerical method. Furthermore, the error in the optimal NTMD design frequency obtained from the nonlinear design formula is small compared to the results obtained from the numerical method, indicating that the accuracy meets the analysis requirements.
- The control performance of the NTMD was investigated based on the damping condition, and the undamped frequency design formula for the NTMD was derived. The results demonstrate that the amplitudes of both the transient and steady-state phases in the NTMD system designed using the undamped frequency design formula are effectively controlled. The damping of the NTMD can be tailored to different excitation frequency conditions, leading to improved control. These findings hold significant reference value for the analysis and design of similar systems.
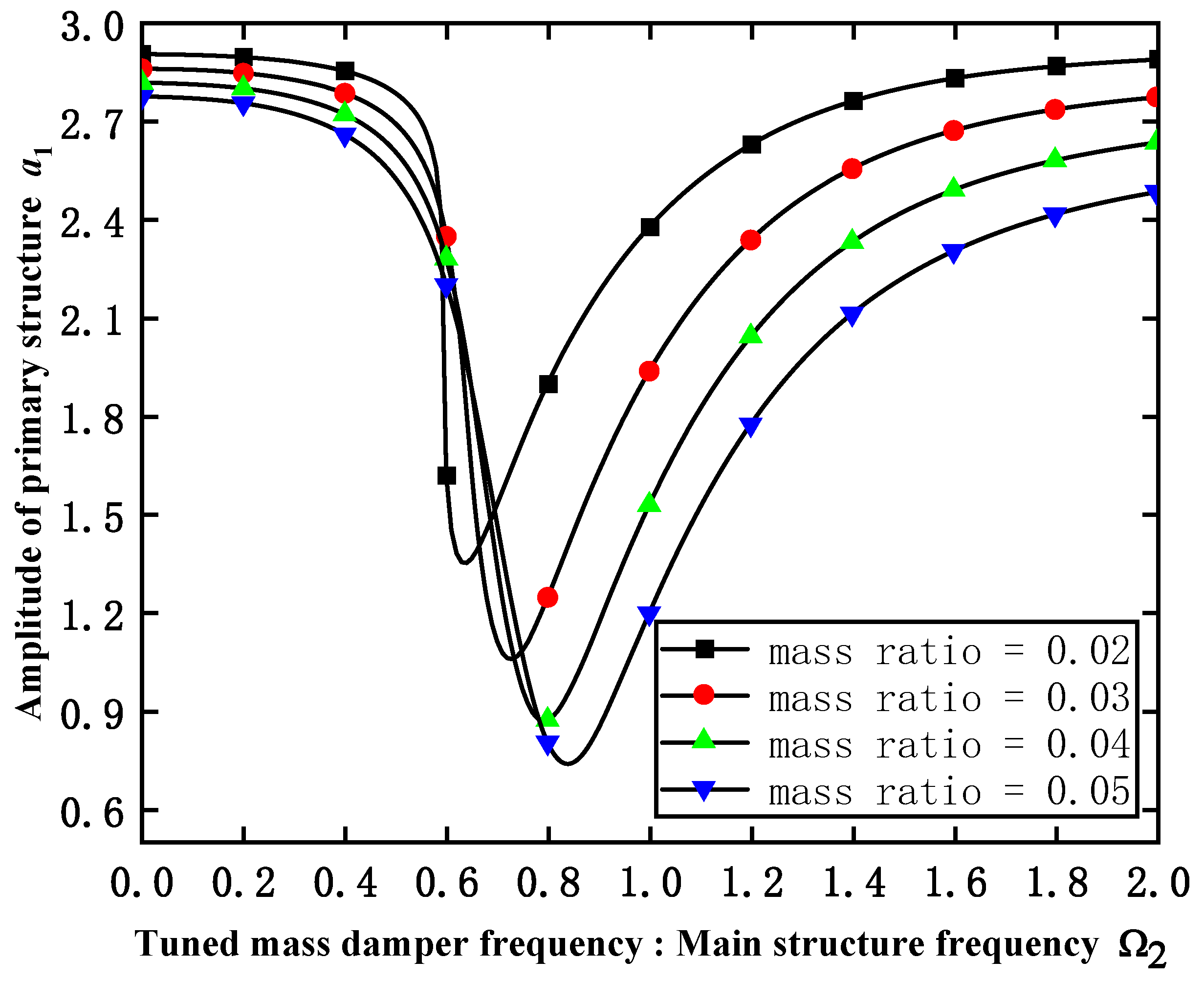
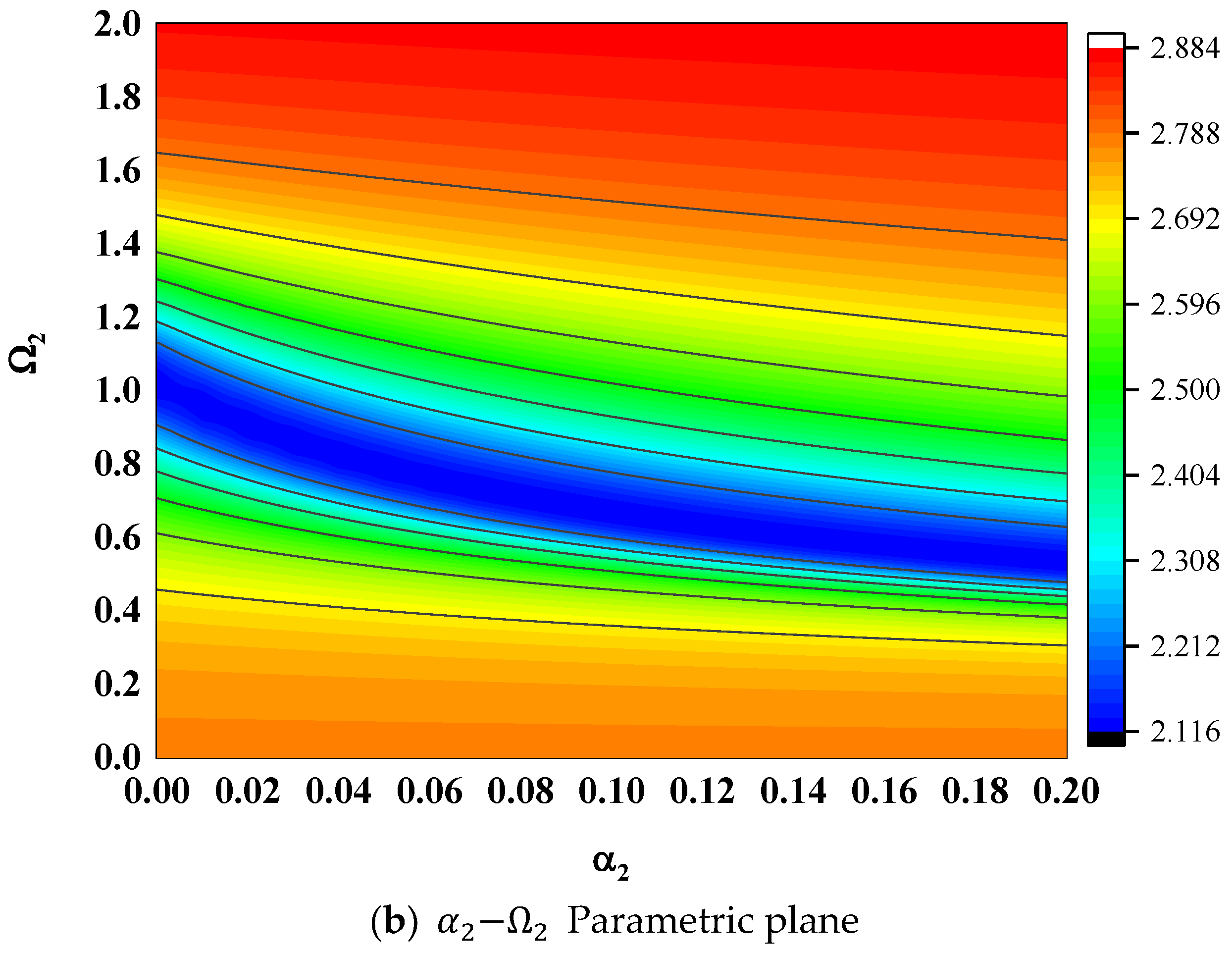
- The control performance of the NTMD was investigated under the 1:1 resonance condition. The analysis results show that increasing the mass ratio within a certain range can enhance the control bandwidth and improve the control performance of the NTMD. The control performance of the nonlinear-design-based NTMD is generally superior to that of the linear-design-based NTMD, and the nonlinear coefficients can be employed as design parameters to adjust the optimal frequency ratio of the structure while keeping the remaining conditions constant. These findings have valuable reference for further studies on the control performance of the NTMD under 1:1 resonance conditions.
- An investigation was conducted on the NTMD that possesses softening stiffness nonlinearity. The results indicate that, for the NTMD exhibiting softening stiffness nonlinearity, an offset-based nonlinear design formulation is suitable for achieving improved control performance. In scenarios approaching 1:1 resonance with unknown excitation frequency, the improved design method based on the offset can achieve optimal control effectiveness. These findings hold reference significance for future studies on the softening stiffness nonlinearity of the NTMD.
Shortcomings of the Study and Prospects for Future Work
Author Contributions
Funding
Institutional Review Board Statement
Informed Consent Statement
Data Availability Statement
Conflicts of Interest
References
- Jia, H.X.; Lin, J.Q.; Liu, J.L. A review of research on seismic vulnerability analysis of building structures. Seism. Def. Technol. 2019, 14, 42–51. [Google Scholar]
- Chen, Z.W.; Yu, H.J. Status and progress of vibration control technology. Vib. Shock. 2009, 28, 73–77. [Google Scholar]
- Arash, R.; Gholamreza, N. Seismic collapse probability and life cycle cost assessment of isolated structures subjected to pounding with smart hybrid isolation system using a modified fuzzy based controller. Structures 2022, 44, 30–41. [Google Scholar]
- Arash, R.; Gholamreza, N. Application of Smart Dampers for Prevention of Seismic Pounding in Isolated Structures Subjected to Near-fault Earthquakes. J. Earthq. Eng. 2022, 26, 4069–4084. [Google Scholar]
- Zhang, R. Research on Impact Force Model of Viscoelastic Material-Steel and the Reduction of Vibration Performance with PTMD. Master’s Thesis, Hunan University of Science and Technology, Xiangtan, China, 2017. [Google Scholar]
- Blomshield, F. Lessons Learned In Solid Rocket Combustion Instability. In Proceedings of the 43rd AIAA/ASME/SAE/ASEE Joint Propulsion Conference & Exhibit, Cincinnati, OH, USA, 8–11 July 2007. [Google Scholar]
- Song, G.B.; Zhang, P.; Li, L.Y.; Singla, M.; Patil, D.; Li, H.N.; Mo, Y.L. Vibration Control of a Pipeline Structure Using Pounding Tuned Mass Damper. J. Eng. Mech. 2016, 142, 4016031. [Google Scholar] [CrossRef]
- Elias, S.; Matsagar, V. Research developments in vibration control of structures using passive tuned mass dampers. Annu. Rev. Control. 2017, 44, 129–156. [Google Scholar] [CrossRef]
- Frahm, H. Device for Damping Vibrations of Bodies. U.S. Patent 989958, 18 April 1911. [Google Scholar]
- Ormondroyd, J.; Den Hartog, J.P. The theory of the dynamic vibration absorber. Trans. Am. Soc. Mech. Eng. 1928, 50, 9–22. [Google Scholar]
- Den Hartog, J.P. Mechanical Vibrations, 4th ed.; McGraw-Hill Publishers: New York, NY, USA, 1956. [Google Scholar]
- Setareh, M.; Hanson, R.D. Tuned mass dampers to control floor vibration from humans. J. Struct. Eng. 1992, 118, 741–762. [Google Scholar] [CrossRef]
- Li, C.; Huang, T.; Li, T.; Zou, W.; Fang, C.; Lin, Z. TMD control optimization design and shaking table test study. J. Civ. Eng. 2006, 39, 19–25. [Google Scholar]
- Qin, L.; Li, Y.X.; Xu, F.W. Study on the effect of TMD on structural seismic response control. World Earthq. Eng. 2010, 26, 202–206. [Google Scholar]
- Clark, A.J. Multiple Passive Tuned Mass Damper for Reducing Earth-quake Induced Building Motion. In Proceedings of the 9th World Conference on Earth-Quake Energy, Tokyo, Japan, 2–9 August 1998; pp. 283–290. [Google Scholar]
- Almazan, J.L.; De la Llera, J.C.; Inaudi, J.A.; Lopez-Garcia, D.; Izquierdo, L.E. A bidirectional and homogeneous tuned mass damper: A new device for passive control of vibrations. Eng. Struct. 2007, 29, 1548–1560. [Google Scholar] [CrossRef]
- Hu, J.Z. Study on Placement and Parametric Optimization of Distributed TMDs for Seismic Control of Cable-stayed Bridge. Master’s Thesis, Beijing Jiaotong University, Beijing, China, 2014. [Google Scholar]
- Wirsching, P.H.; Campbell, G.W. Minimal structural response under random excitation using the vibration absorber. Earthq. Eng. Struct. Dyn. 1973, 2, 303–312. [Google Scholar] [CrossRef]
- Sladek, J.R.; Klingner, R.E. Effect of tuned-mass dampers on seismic response. J. Struct. Div. 1983, 109, 2004–2009. [Google Scholar] [CrossRef]
- Villaverde, R. Reduction in seismic response with heavily-damped vibration absorbers. Earthq. Eng. Struct. Dyn. 1985, 13, 33–42. [Google Scholar] [CrossRef]
- Roberson, R. Synthesis of a nonlinear dynamic vibration absorber. J. Frankl. Inst. 1952, 254, 205–220. [Google Scholar] [CrossRef]
- Natsiavas, S. Steady state oscillations and stability of non-linear dynamic vibration absorbers. J. Sound Vib. 1992, 156, 227–245. [Google Scholar] [CrossRef]
- Jiang, X.A.; McFarland, D.M.; Bergman, L.A.; Vakakis, A.F. Steady state passive nonlinear energy pumping in coupled oscillators: Theoretical and experimental results. Nonlinear Dyn. 2003, 33, 87–102. [Google Scholar] [CrossRef]
- Manevitch, L.I.; Gourdon, E.; Lamarque, C.H. Parameters optimization for energy pumping in strongly nonhomogeneous 2 DOF system. Chaos Solitons Fractals 2007, 31, 900–911. [Google Scholar] [CrossRef]
- Gatti, G.; Kovacic, I.; Brennan, M.J. On the response of a harmonically excited two degree-of-freedom system consisting of a linear and a nonlinear quasi-zero stiffness oscillator. J. Sound Vib. 2010, 329, 1823–1835. [Google Scholar] [CrossRef]
- Gendelman, O.V.; Sapsis, T.; Vakakis, A.F.; Bergman, L.A. Enhanced passive targeted energy transfer in strongly nonlinear mechanical oscillators. J. Sound Vib. 2011, 330, 1–8. [Google Scholar] [CrossRef]
- Quinn, D.D.; Hubbard, S.; Wierschem, N.; Al-Shudeifat, M.A.; Ott, R.J.; Luo, J.; Spencer, B.F.; McFarland, D.M.; Vakakis, A.F.; Bergman, L.A. Equivalent modal damping, stiffening and energy exchanges in multi-degree-of-freedom systems with strongly nonlinear attachments. Proc. Inst. Mech. Eng. Part K J. Multi-Body Dyn. 2012, 226, 122–146. [Google Scholar] [CrossRef]
- Djemal, F.; Chaari, F.; Dion, J.-L.; Renaud, F.; Tawfiq, I.; Haddar, M. Performance of a NonLinear Dynamic Vibration Absorbers. J. Mech. 2015, 31, 345–353. [Google Scholar] [CrossRef]
- Alexander, N.A.; Schilder, F. Exploring the performance of a nonlinear tuned mass damper. J. Sound Vib. 2009, 319, 445–462. [Google Scholar] [CrossRef]
- Li, L.Y.; Zhang, T.J. Analytical analysis for the design of nonlinear tuned mass damper. J. Vib. Control. 2020, 26, 646–658. [Google Scholar] [CrossRef]
- Zhang, T.J.; Li, L.Y. Analytical analysis for optimizing mass ratio of nonlinear tuned mass dampers. Nonlinear Dyn. 2021, 106, 1955–1974. [Google Scholar] [CrossRef]
- Li, L.Y.; Du, Y.J. Design of Nonlinear Tuned Mass Damper by Using the Harmonic Balance Method. J. Eng. Mech. 2020, 146, 04020056. [Google Scholar] [CrossRef]
- Hu, Y.J.; Yao, J.; Liu, J.F.; Zhang, Q. Analysis and Design of Nonlinear Tuned Mass Damper Based on Complex Variable Averaging Method. Appl. Sci. 2023, 13, 6287. [Google Scholar] [CrossRef]
- Wang, L.K.; Nagarajaiah, S.; Shi, W.X.; Zhou, Y. Study on adaptive-passive eddy current pendulum tuned mass damper for wind-induced vibration control. Struct. Des. Tall Spec. Build. 2020, 29, e1793. [Google Scholar] [CrossRef]
- Wang, L.K.; Shi, W.X.; Zhou, Y. Adaptive-passive tuned mass damper for structural aseismic protection including soil–structure interaction. Soil Dyn. Earthq. Eng. 2022, 158, 107298. [Google Scholar] [CrossRef]
- Wang, L.K.; Shi, W.X.; Zhou, Y.; Zhang, Q.W. Semi-active eddy current pendulum tuned mass damper with variable frequency and damping. Smart Struct. Syst. 2020, 25, 65–80. [Google Scholar]
- Wang, L.K.; Nagarajaiah, S.; Shi, W.X.; Zhou, Y. Semi-active control of walking-induced vibrations in bridges using adaptive tuned mass damper considering human-structure-interaction. Eng. Struct. 2021, 244, 112743. [Google Scholar] [CrossRef]
- Li, L.Y.; Cui, P. Novel design approach of a nonlinear tuned mass damper with duffing stiffness. J. Eng. Mech. 2017, 143, 04017004. [Google Scholar] [CrossRef]
















| Numerical Method | Approximate Analysis Method | ||
|---|---|---|---|
| 1 | 0.01 | 0.817 | 0.816 |
| 1 | 0.02 | 0.707 | 0.706 |
| 2 | 0.01 | 0.916 | 0.910 |
| 2 | 0.02 | 0.846 | 0.840 |
| 3 | 0.01 | 0.958 | 0.948 |
| 3 | 0.02 | 0.914 | 0.903 |
| 4 | 0.01 | 0.978 | 0.966 |
| 4 | 0.02 | 0.947 | 0.936 |
| 5 | 0.01 | 0.987 | 0.977 |
| 5 | 0.02 | 0.965 | 0.955 |
| Nonlinear Coefficient | Optimal Frequency (Numerical Method) | |||||
|---|---|---|---|---|---|---|
| 1.086 | 1.135 | 1.156 | 1.115 | 1.071 | 1.084 | |
| 1.067 | 1.104 | 1.119 | 1.089 | 1.055 | 1.062 | |
| 1.049 | 1.075 | 1.085 | 1.065 | 1.041 | 1.036 | |
| 1.032 | 1.048 | 1.054 | 1.042 | 1.027 | 1.013 | |
| 1.016 | 1.023 | 1.026 | 1.020 | 1.013 | 0.991 | |
| 1 | 1 | 1 | 1 | 1 | 0.969 |
Disclaimer/Publisher’s Note: The statements, opinions and data contained in all publications are solely those of the individual author(s) and contributor(s) and not of MDPI and/or the editor(s). MDPI and/or the editor(s) disclaim responsibility for any injury to people or property resulting from any ideas, methods, instructions or products referred to in the content. |
© 2023 by the authors. Licensee MDPI, Basel, Switzerland. This article is an open access article distributed under the terms and conditions of the Creative Commons Attribution (CC BY) license (https://creativecommons.org/licenses/by/4.0/).
Share and Cite
Yao, J.; Liu, J.; Hu, Y.; Zhang, Q. Optimal Design and Analysis of Nonlinear Tuned Mass Damper System. Appl. Sci. 2023, 13, 8046. https://doi.org/10.3390/app13148046
Yao J, Liu J, Hu Y, Zhang Q. Optimal Design and Analysis of Nonlinear Tuned Mass Damper System. Applied Sciences. 2023; 13(14):8046. https://doi.org/10.3390/app13148046
Chicago/Turabian StyleYao, Ji, Junfeng Liu, Yujun Hu, and Qing Zhang. 2023. "Optimal Design and Analysis of Nonlinear Tuned Mass Damper System" Applied Sciences 13, no. 14: 8046. https://doi.org/10.3390/app13148046
APA StyleYao, J., Liu, J., Hu, Y., & Zhang, Q. (2023). Optimal Design and Analysis of Nonlinear Tuned Mass Damper System. Applied Sciences, 13(14), 8046. https://doi.org/10.3390/app13148046
