Assessment of Rainwater Quality Regarding Its Use in the Roztocze National Park (Poland)—Case Study
Abstract
1. Introduction
2. Materials and Methods
2.1. Characteristics of the Study Area
2.2. Study Methods and Statistical Analysis
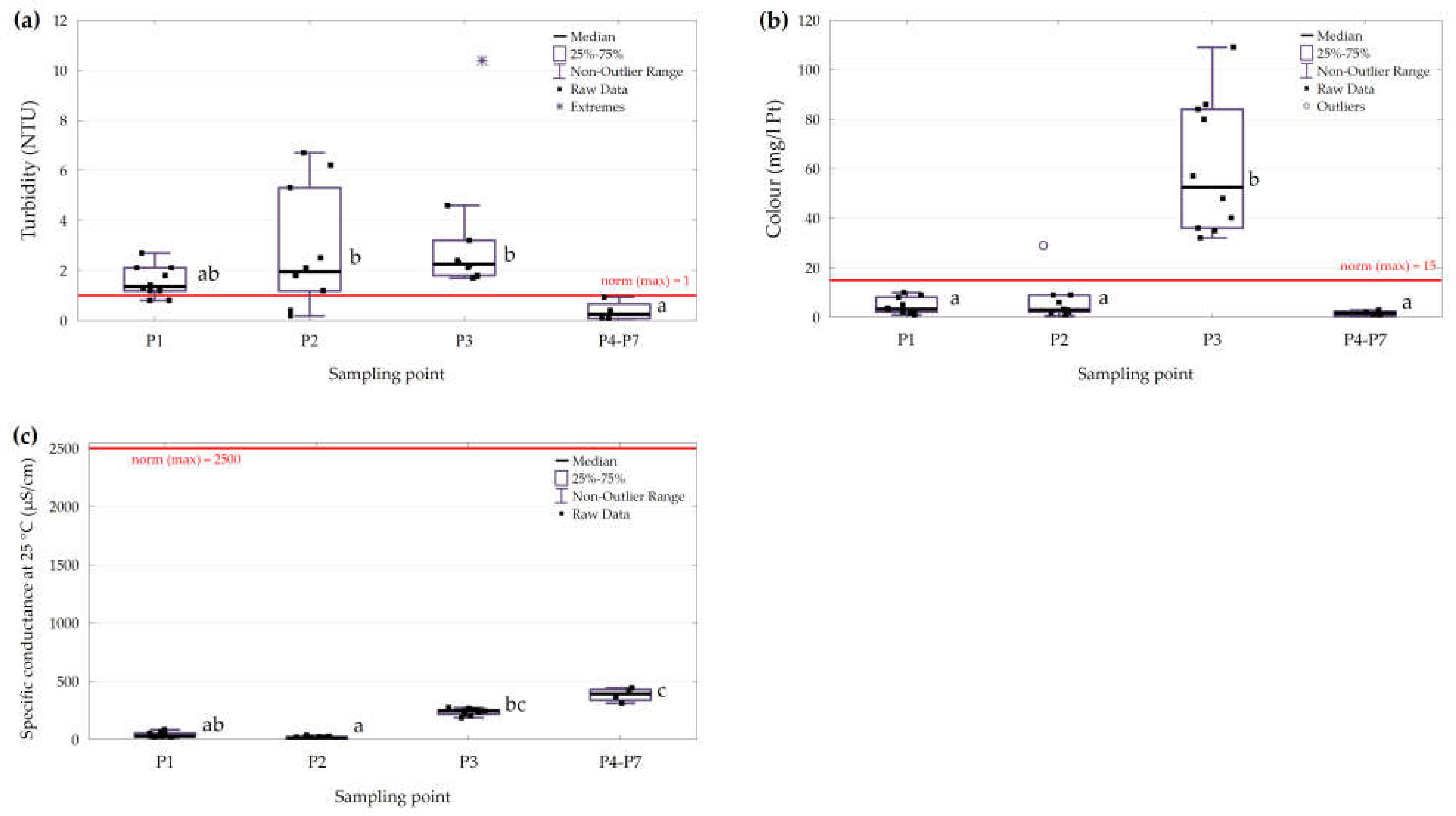
3. Results
3.1. Hydrometeorological Conditions in the Catchment of the River Świerszcz
3.1.1. Air Temperature
3.1.2. Precipitation
3.1.3. Water Flows in the River Świerszcz
3.1.4. Fluctuations in the Groundwater Table in the Catchment Area of the River Świerszcz
3.2. The Quality of Rainwater Compared with the Quality of Surface Water and Groundwater and the Possibility of their Use
3.2.1. Analysis of Selected Microbiological Indicators
3.2.2. Analysis of Selected Physical Indicators
3.2.3. Analysis of Selected Chemical Indicators
4. Discussion
5. Conclusions
Author Contributions
Funding
Institutional Review Board Statement
Informed Consent Statement
Data Availability Statement
Acknowledgments
Conflicts of Interest
References
- Palla, A.; Gnecco, I.; Lanza, L.; La Barbera, P. Performance analysis of domestic rainwater harvesting systems under various European climate zones. Resour. Conserv. Recycl. 2012, 62, 71–80. [Google Scholar] [CrossRef]
- Musayev, S.; Burgess, E.; Mellor, J. A global performance assessment of rainwater harvesting under climate change. Resour. Conserv. Recycl. 2018, 132, 62–70. [Google Scholar] [CrossRef]
- Semaan, M.; Day, S.D.; Garvin, M.; Ramakrishnan, N.; Pearce, A. Optimal sizing of rainwater harvesting systems for domestic water usages: A systematic literature review. Resour. Conserv. Recycl. 2020, 6, 100033. [Google Scholar] [CrossRef]
- Herrmann, T.; Schmida, U. Rainwater utilisation in Germany: Efficiency, dimensioning, hydraulic and environmental aspects. Urban Water 1999, 1, 307–316. [Google Scholar] [CrossRef]
- Sazakli, E.; Alexopoulos, A.; Leotsinidis, M. Rainwater harvesting, quality assessment and utilization in Kefalonia Island, Greece. Water Res. 2007, 41, 2039–2047. [Google Scholar] [CrossRef]
- Ghisi, E.; Bressan, D.L.; Martini, M. Rainwater tank capacity and potential for potable water savings by using rainwater in the residential sector of southeastern Brazil. Build. Environ. 2007, 42, 1654–1666. [Google Scholar] [CrossRef]
- Zhang, Y.; Chen, D.; Chen, L.; Ashbolt, S. Potential for rainwater use in high-rise buildings in Australian cities. J. Environ. Manag. 2009, 91, 222–226. [Google Scholar] [CrossRef]
- Abdulla, F.A.; Al-Shareef, A. Roof rainwater harvesting systems for household water supply in Jordan? Desalination 2009, 243, 195–207. [Google Scholar] [CrossRef]
- Farreny, R.; Morales-Pinzón, T.; Guisasola, A.; Tayà, C.; Rieradevall, J.; Gabarrell, X. Roof selection for rainwater harvesting: Quantity and quality assessments in Spain. Water Res. 2011, 45, 3245–3254. [Google Scholar] [CrossRef]
- Jóżwiakowski, K.; Listosz, A.; Gizińska-Górna, M.; Pytka, A.; Marzec, M.; Sosnowska, B.; Chołody, M.; Dyczko, A. Quality of rainwaters outflowing from roofs of garage buildings of park authority of roztocze national park. J. Ecol. Eng. 2016, 17, 208–215. [Google Scholar] [CrossRef]
- Zdeb, M.; Zamorska, J.; Papciak, D.; Słyś, D. The Quality of Rainwater Collected from Roofs and the Possibility of Its Economic Use. Resources 2020, 9, 12. [Google Scholar] [CrossRef]
- Forster, J. The influence of location and season on the concentrations of macroions and organic trace pollutants in roof runoff. Water Sci. Technol. 1998, 38, 83–90. [Google Scholar] [CrossRef]
- Evans, C.; Coombes, P.; Dunstan, R. Wind, rain and bacteria: The effect of weather on the microbial composition of roof-harvested rainwater. Water Res. 2006, 40, 37–44. [Google Scholar] [CrossRef] [PubMed]
- Wu, L.; Gao, J.; Zhao, W.; Xu, X.; Yin, Y.; Wu, L. Quality assessment of rainwater and harvested rainwater stored in different types of cisterns. Water Sci. Technol. Water Supply 2016, 17, 652–664. [Google Scholar] [CrossRef]
- Slyś, D. Potential of rainwater utilization in residential housing in Poland. Water Environ. J. 2009, 23, 318–325. [Google Scholar] [CrossRef]
- Struk-Sokołowska, J.; Gwoździej-Mazur, J.; Jadwiszczak, P.; Butarewicz, A.; Ofman, P.; Wdowikowski, M.; Kaźmierczak, B. The Quality of Stored Rainwater for Washing Purposes. Water 2020, 12, 252. [Google Scholar] [CrossRef]
- Evans, C.A.; Harrison, T.; Coombes, P.J.; Dunstan, H.R.; Dunstan, R.H. Identifying the major influences on the microbial composition of roof harvested rainwater and the implications for water quality. Water Sci. Technol. 2007, 55, 245–253. [Google Scholar] [CrossRef]
- Hoss, C.G.; Tavares, J.M.R.; Moreira, A.J.G.; Filho, P.B.; Matthiensen, A. Assessing the Potential for Rainwater Harvesting Use in a Concentrated Animal Feeding Operation Region in the South of Brazil. Sustainability 2022, 14, 12523. [Google Scholar] [CrossRef]
- Chubaka, C.E.; Ross, K.E.; Edwards, J.W. Rainwater for drinking water: A study of household attitudes. WIT Trans. Ecol. Environ. 2017, 216, 299–311. [Google Scholar] [CrossRef]
- Buraczyński, J. Roztocze Natural Environment Lublin; Wydawnictwo: Lublin, Poland, 2002; p. 341. (In Polish) [Google Scholar]
- Grabowski, T.; Harasimiuk, M.; Kaszewski, B.M.; Kravchuk, Y.; Lorens, B.; Michalczyk, Z.; Shabliy, O. Roztocze Nature and Man; Roztocze National Park: Zwierzyniec, Poland, 2015; p. 527. (In Polish) [Google Scholar]
- Protection Plan of the Roztocze National Park, Regulation of the Minister of the Environment of April 19, 2018, Journal of Law (Dz. U.) 2018, Item 1081 (In Polish). Available online: https://isap.sejm.gov.pl/isap.nsf/DocDetails.xsp?id=WDU20180001081 (accessed on 20 April 2023).
- The Nature Conservation Act of April 16, 2004, Journal of Laws (Dz. U.) 2004, No. 92, Item 880 (In Polish). Available online: https://isap.sejm.gov.pl/isap.nsf/DocDetails.xsp?id=WDU20040920880 (accessed on 20 April 2023).
- Stachyra, P.; Grabowski, T.; Kaszewski, B.M. Report on the Implementation of the Research and Measurement Program of the Integrated Monitoring of the Natural Environment at the Roztocze Base Station of the Roztocze National Park in 2012; ZMŚP Roztocze Base Station 2013; Roztocze National Park: Zwierzyniec, Poland, 2013. (In Polish) [Google Scholar]
- Buraczyński, J.; Grzechnik, L.; Meksuł, M. RNP on the background of phisico-geographical regions. In Roztocze National Park, Environment and Human Being; Kałamucki, K., Grabowski, T., Eds.; Cartographic Monograph; RPN: Zwierzyniec, Poland, 2013. (In Polish) [Google Scholar]
- Brzezińska-Wójcik, T.; Harasimiuk, M.; Krukowski, M. Geology Superficjal sediments. In Roztocze National Park, Environment and Human Being; Kałamucki, K., Grabowski, T., Eds.; Cartographic Monograph; RPN: Zwierzyniec, Poland, 2013. (In Polish) [Google Scholar]
- Romer, E. Climatic Regions of Poland; Prace Wrocławskiego Towarzystwa Naukowego: Wrocław, Poland, 1949; Seria B, No 16; p. 23. (In Polish) [Google Scholar]
- Kaszewski, B.M.; Siwek, K. Climate. In Roztocze National Park—Nature and Man; Reszel, R., Grądziel, T., Eds.; Roztocze National Park: Zwierzyniec, Poland, 2015; pp. 61–65. (In Polish) [Google Scholar]
- Bartoszewski, S.; Michalczyk, Z. Water relations. In Roztocze National Park—Nature and Man; Reszel, R., Grądziel, T., Eds.; Roztocze National Park: Zwierzyniec, Poland, 2015; pp. 53–60. (In Polish) [Google Scholar]
- Micek, A.; Jóźwiakowski, K.; Marzec, M.; Listosz, A. Technological Reliability and Efficiency of Wastewater Treatment in Two Hybrid Constructed Wetlands in the Roztocze National Park (Poland). Water 2020, 12, 3435. [Google Scholar] [CrossRef]
- Grabowski, T.; Jóźwiakowski, K.; Bochniak, A.; Micek, A. Changes in the Amount of Rainwater in the Roztocze National Park (Poland) in 2001–2020 and the Possibility of Using Rainwater in the Context of Ongoing Climate Variability. Water 2022, 14, 1334. [Google Scholar] [CrossRef]
- Regulation of the Minister of Maritime Economy and Inland Navigation of October 11, 2019. On the Criteria and Method of Assessing the Status of Groundwater Bodies, Journal of Law (Dz. U.) 2019, Item. 2148 (in Polish). Available online: https://isap.sejm.gov.pl/isap.nsf/DocDetails.xsp?id=WDU20190002148 (accessed on 20 April 2023).
- Mucha, J. (Department of Mine Geology, AGH Kraków, Krakow, Poland). Unpublished work. 1994. [Google Scholar]
- Kruskal, W.H.; Wallis, W.A. Use of ranks in one-criterion variance analysis. J. Amer. Stat. Assoc. 1952, 47, 583–621. [Google Scholar] [CrossRef]
- Siegel, S.; Castellan, N.J. Nonparametric Statistics for the Behavioral Sciences, 2nd ed.; McGraw-Hill: New York, NY, USA, 1988. [Google Scholar]
- Regulation of the Minister of Health of 7 December 2017 on the Quality of Water Intended for Human Consumption, Journal of Law (Dz. U.) 2017, Item 2297. Available online: https://isap.sejm.gov.pl/isap.nsf/DocDetails.xsp?id=WDU20170002297 (accessed on 20 April 2023).
- Regulation of the Minister of Infrastructure of June 25, 2021 on the Classification of Ecological Status, Ecological Potential and Chemical status and the Method of Classifying the Status of Surface Water Bodies, as well as Environmental Quality Standards for Priority Substances, Journal of Law (Dz.U.) 2021, Item 1475 (In Polish). Available online: https://isap.sejm.gov.pl/isap.nsf/DocDetails.xsp?id=WDU20210001475 (accessed on 20 April 2023).
- Nnaji, C.C.; Nnam, J.P. Assessment of potability of stored rainwater and impact of environmental conditions on its quality. Int. J. Environ. Sci. Te. 2019, 16, 8471–8484. [Google Scholar] [CrossRef]
- Nalwanga, R.; Muyanja, C.K.; McGuigan, K.G.; Quilty, B. A study of the bacteriological quality of roof-harvested rainwater and an evaluation of SODIS as a suitable treatment technology in rural Sub-Saharan Africa. J. Environ. Chem. Eng. 2018, 6, 3648–3655. [Google Scholar] [CrossRef]
- Morales-Figueroa, C.; Castillo-Suárez, L.A.; Linares-Hernández, I.; Martínez-Miranda, V.; Teutli-Sequeira, E.A. Treatment processes and analysis of rainwater quality for human use and consumption regulations, treatment systems and quality of rainwater. Int. J. Environ. Sci. Technol. 2023. [Google Scholar] [CrossRef]
- Hamilton, K.; Reyneke, B.; Waso, M.; Clements, T.; Ndlovu, T.; Khan, W.; DiGiovanni, K.; Rakestraw, E.; Montalto, F.; Haas, C.N.; et al. A global review of the microbiological quality and potential health risks associated with roof-harvested rainwater tanks. NPJ Clean Water 2019, 2, 7. [Google Scholar] [CrossRef]
- Hamilton, K.A.; Parrish, K.; Ahmed, W.; Haas, C.N. Assessment of Water Quality in Roof-Harvested Rainwater Barrels in Greater Philadelphia. Water 2018, 10, 92. [Google Scholar] [CrossRef]
- Zdeb, M.; Zamorska, J.; Papciak, D.; Skwarczyńska-Wojsa, A. Investigation of Microbiological Quality Changes of Roof-Harvested Rainwater Stored in the Tanks. Resources 2021, 10, 103. [Google Scholar] [CrossRef]
- Tengan, B.M.; Akoto, O. Comprehensive evaluation of the possible impact of roofing materials on the quality of harvested rainwater for human consumption. Sci. Total. Environ. 2022, 819, 152966. [Google Scholar] [CrossRef]
- Dissanayake, J.; Han, M. Effect of Inlet/Outlet Configuration on Water Quality in a Rainwater Harvesting Tank. Water 2020, 12, 1970. [Google Scholar] [CrossRef]
- Michalski, R.; Pecyna-Utylska, P. Chemical characterization of bulk depositions in two cities of Upper Silesia (Zabrze, Bytom), Poland. Case study. Arch. Environ. Prot. 2022, 48, 106–116. [Google Scholar] [CrossRef]
- Mazurkiewicz, K.; Jeż-Walkowiak, J.; Michałkiewicz, M. Physicochemical and microbiological quality of rainwater harvested in underground retention tanks. Sci. Total. Environ. 2022, 814, 152701. [Google Scholar] [CrossRef] [PubMed]
- Strzebońska, M.; Gruszecka-Kosowska, A.; Kostka, A. Chemistry and Microbiology of Urban Roof Runoff in Kraków, Poland with Ecological and Health Risk Implications. Appl. Sci. 2020, 10, 8554. [Google Scholar] [CrossRef]
- Zdeb, M.; Zamorska, J.; Papciak, D. The Effect of the Type of Roofing and the Seasons on the Microbiological Quality of Rainwater. Ekon. Srod. 2018, 3, 71–82. [Google Scholar]
- Kaszewski, B.M.; Siwek, K.; Gluza, A.; Shuber, P. Climate. In Roztocze: Nature and Man; Grabowski, T., Harasimiuk, M., Kaszewski, B.M., Kravchuk, Y., Lorens, B., Michalczyk, Z., Shabliy, O., Eds.; Roztocze National Park: Zwierzyniec, Poland, 2015; pp. 123–133. (In Polish) [Google Scholar]
- Kozak, I.; Czekajska, P.; Kozak, H.; Stępień, A.; Kociuba, P. Simulation of the dynamics of pine stands in the Polish and Ukrainian part of Roztocze in the conditions of climate change. Leśne Pr. Badaw. 2013, 74, 215–226. (In Polish) [Google Scholar] [CrossRef]
- Oden, M.K. Evaluation of water quality in the Kizilirmak River (Central Anatolian) using physicochemical parameters and process proposal for improvement in water quality-a case study. Desalination Water Treat. 2019, 137, 226–233. [Google Scholar] [CrossRef]










| Test Type | Parameter | Polish Standards Numbers | Unit |
|---|---|---|---|
| Microbiological tests | Total microbial count at 36 °C | PN-EN ISO 6222:2004 | cfu/mL |
| Total microbial count at 22 °C | PN-EN ISO 6222:2004 | cfu/mL | |
| Coliforms | PN-EN ISO 9308-1:2014-12+A1:2017-04 | cfu/100 mL | |
| Escherichia coli | PN-EN ISO 9308-1:2014-12+A1:2017-04 | cfu/100 mL | |
| Faecal enterococci | PN-EN 7899-2:2004 | cfu/100 mL | |
| Pseudomonas aeruginosa | PN-EN ISO 16266:2009 | cfu/100 mL | |
| Organoleptic tests | Presence of a foreign odour | PN-EN 1622:2006 | - |
| Threshold odour number (TON) | PN-EN 1622:2006 | - | |
| Physicochemical tests | Turbidity | PN-EN ISO 7027-1:2016-07 | NTU |
| Colour | PN-EN ISO 7887:2012 | mg/L Pt | |
| pH | PN-EN ISO 10523:2012 | - | |
| Specific conductance at 25 °C | PN-EN 27888-1999 | µS/cm | |
| Ammonium ion | PN-ISO 7150-1:2002 | mg/L | |
| Nitrates | PN-82/C-045576.08 | mg/L | |
| Nitrites | PN-EN 26777:1999 | mg/L | |
| Manganese | PN-EN ISO 17294-2:2016-11 | µg/L | |
| Total iron | PN-EN ISO 17294-2:2016-11 | µg/L | |
| Chlorides | PN-ISO 9297:1994 | mg/L | |
| Total hardness | PN-ISO 6059:1999 | mg/L CaCO3 |
| Test Parameters | Unit | Quality Standards for Drinking Water [36] | Surface Water Purity Classes [37] | Groundwater Purity Classes [32] | |||||
|---|---|---|---|---|---|---|---|---|---|
| I | II | I | II | III | IV | V | |||
| Microbiological parameters | |||||||||
| Total microbial count at 36 °C | cfu/mL | 100 | - | - | - | - | - | - | - |
| Escherichia coli | cfu/100 mL | 0 | - | - | - | - | - | - | - |
| Intestinal enterococci | cfu/100 mL | 0 | - | - | - | - | - | - | - |
| Pseudomonas aeruginosa | cfu/100 mL | 0 | - | - | - | - | - | - | - |
| Physicochemical parameters | |||||||||
| Turbidity | NTU | 1 | - | - | - | - | - | - | - |
| Colour | mg/L Pt | 15 | - | - | - | - | - | - | - |
| pH | - | 6.5–9.5 | 7.5–8.2 | 7.3–8.2 | 6.5–9.5 | <6.5 or >9.5 | |||
| Specific conductance at 25 °C | µS/cm | 2500 | ≤364 | ≤454 | 700 | 2500 | 2500 | 3000 | >3000 |
| Ammonium ion * | mg/L | 0.5 | ≤0.477 | ≤0.545 | 0.5 | 1 | 1.5 | 3 | >3.0 |
| Nitrates * | mg/L | 50 | ≤5.752 | ≤8.407 | 10 | 25 | 50 | 100 | >100 |
| Nitrites * | mg/L | 0.5 | ≤0.033 | ≤0.089 | 0.03 | 0.5 | 0.5 | 1 | >1.0 |
| Manganese | mg/L | 0.05 | - | - | 0.05 | 0.4 | 1 | 1 | >1.0 |
| Total iron | mg/L | 0.2 | - | - | 0.2 | 1 | 5 | 10 | <10 |
| Chlorides | mg/L | 250 | ≤13.3 | ≤18.7 | 60 | 150 | 250 | 500 | >500 |
| Total hardness CaCO3 | mg/L | 60–500 | ≤203 | ≤236 | - | - | - | - | - |
| Point | Valid N | Mean | Median | Min. | Max. | Std. Dev. | Coef. Var. | Var. Group | Compliance * (%) |
|---|---|---|---|---|---|---|---|---|---|
| Total microbial count at 36 °C (cfu/mL) | |||||||||
| P1 | 10 | 816.7 | 150 | 0 | 4300 | 1369.2 | 167.6 | Extremely high | 40 |
| P2 | 10 | 962.4 | 900 | 62 | 2800 | 908.7 | 94.4 | High | 20 |
| P3 | 10 | 325 | 86 | 50 | 2200 | 667.2 | 205.3 | Extremely high | 60 |
| P4–P7 | 4 | 17.25 | 16 | 0 | 37 | 15.5 | 90.0 | High | 100 |
| Total microbial count at 22 °C (cfu/mL) | |||||||||
| P1 | 10 | 1500 | 1700 | 170 | 2900 | 861.6 | 57.4 | High | - |
| P2 | 10 | 1490 | 1500 | 420 | 3500 | 919.0 | 61.7 | High | - |
| P3 | 10 | 1308 | 1350 | 150 | 2800 | 771.2 | 59.0 | High | - |
| P4–P7 | 4 | 67.5 | 77.5 | 30 | 85 | 26.0 | 38.5 | Moderate | - |
| Coliforms (cfu/100 mL) | |||||||||
| P1 | 10 | 12.2 | 0 | 0 | 72 | 26.2 | 215.1 | Extremely high | - |
| P2 | 10 | 45.7 | 60 | 0 | 72 | 31.8 | 69.7 | High | - |
| P3 | 10 | 58.4 | 57.5 | 21 | 90 | 19.1 | 32.8 | Moderate | - |
| P4–P7 | 4 | 0 | 0 | 0 | 0 | 0 | 0 | Low | - |
| Escherichia coli (cfu/100 mL) | |||||||||
| P1 | 10 | 0.2 | 0 | 0 | 2 | 0.6 | 316.2 | Extremely high | 90 |
| P2 | 10 | 13.5 | 0 | 0 | 70 | 23.6 | 174.6 | Extremely high | 60 |
| P3 | 10 | 23.3 | 27 | 4 | 38 | 10.9 | 46.8 | High | 0 |
| P4–P7 | 4 | 0 | 0 | 0 | 0 | 0 | 0 | Low | 100 |
| Intestinal enterococci (cfu/100 mL) | |||||||||
| P1 | 10 | 27.1 | 1.5 | 0 | 78 | 34.8 | 128.3 | Very high | 40 |
| P2 | 10 | 46.3 | 42.5 | 0 | 120 | 35.6 | 76.8 | High | 10 |
| P3 | 10 | 17.1 | 7.5 | 0 | 72 | 24.8 | 144.8 | Very high | 20 |
| P4–P7 | 4 | 0 | 0 | 0 | 0 | 0 | 0 | Low | 100 |
| Pseudomonas aeruginosa (cfu/100 mL) | |||||||||
| P1 | 10 | 9 | 1.5 | 0 | 35 | 13.2 | 146.7 | Very high | 50 |
| P2 | 10 | 8.8 | 0 | 0 | 35 | 14.1 | 160.2 | Extremely high | 60 |
| P3 | 10 | 9.4 | 0 | 0 | 32 | 12.8 | 136.2 | Very high | 60 |
| P4–P7 | 4 | 0 | 0 | 0 | 0 | 0 | 0 | Low | 100 |
| Point | Valid N | Mean | Median | Min | Max | Std. Dev. | Coef. Var. | Var. Group | Compliance * (%) |
|---|---|---|---|---|---|---|---|---|---|
| Turbidity (NTU) | |||||||||
| P1 | 10 | 1.54 | 1.36 | 0.8 | 2.7 | 0.62 | 40.1 | High | 20 |
| P2 | 10 | 2.82 | 1.95 | 0.2 | 6.7 | 2.37 | 84.1 | High | 20 |
| P3 | 10 | 3.24 | 2.25 | 1.7 | 10.4 | 2.66 | 82.0 | High | 0 |
| P4–P7 | 4 | 0.38 | 0.25 | 0.08 | 0.93 | 0.39 | 103.1 | Very high | 100 |
| Colour (mg/L Pt) | |||||||||
| P1 | 10 | 4.59 | 3.40 | 0.97 | 10 | 3.27 | 71.3 | High | 100 |
| P2 | 10 | 6.58 | 3.04 | 0.59 | 29 | 8.42 | 127.9 | Very high | 90 |
| P3 | 10 | 60.7 | 52.5 | 32 | 109 | 27.05 | 44.6 | High | 0 |
| P4–P7 | 4 | 1.60 | 1.74 | 0.1 | 2.83 | 1.19 | 74.4 | High | 100 |
| Specific conductance at 25 °C (µS/cm) | |||||||||
| P1 | 10 | 40.256 | 30.85 | 16.21 | 84.64 | 22.85 | 56.8 | High | 100 |
| P2 | 10 | 16.60 | 13.43 | 6.92 | 37.32 | 10.08 | 60.7 | High | 100 |
| P3 | 10 | 238.3 | 246.5 | 186 | 272 | 27.62 | 11.6 | Low | 100 |
| P4–P7 | 4 | 384.5 | 392.5 | 310 | 443 | 59.17 | 15.4 | Low | 100 |
| Point | Valid N | Mean | Median | Min | Max | Std. Dev. | Coef. Var. | Var. Group | Compliance * (%) |
|---|---|---|---|---|---|---|---|---|---|
| pH ** | |||||||||
| P1 | 10 | 6.90 | 7.32 | 6.2 | 7.9 | 0.50 | 7.25 | Low | 90 |
| P2 | 10 | 6.79 | 7.50 | 6.1 | 7.9 | 0.60 | 8.84 | Low | 80 |
| P3 | 10 | 7.26 | 7.45 | 6.8 | 7.8 | 0.31 | 4.27 | Low | 100 |
| P4–P7 | 4 | 7.69 | 7.70 | 7.6 | 7.8 | 0.08 | 1.041 | Low | 100 |
| Ammonium ion (mg/L) | |||||||||
| P1 | 10 | 0.098 | 0.05 | 0.003 | 0.42 | 0.13 | 129.9 | Very high | 100 |
| P2 | 10 | 0.940 | 0.80 | 0.06 | 3.72 | 1.08 | 114.6 | Very high | 40 |
| P3 | 10 | 0.146 | 0.15 | 0.049 | 0.36 | 0.10 | 66.9 | High | 100 |
| P4–P7 | 4 | 0.011 | 0.01 | 0.008 | 0.012 | 0.00 | 17.6 | Low | 100 |
| Nitrates (mg/L) | |||||||||
| P1 | 10 | 2.31 | 2.37 | 0.73 | 3.72 | 1.14 | 49.3 | High | 100 |
| P2 | 10 | 1.68 | 1.53 | 0.14 | 4.25 | 1.31 | 78.0 | High | 100 |
| P3 | 10 | 1.10 | 0.975 | 0.37 | 2.4 | 0.53 | 48.4 | High | 100 |
| P4–P7 | 4 | 6.97 | 6.49 | 1.59 | 13.3 | 4.82 | 69.1 | High | 100 |
| Nitrites (mg/L) | |||||||||
| P1 | 10 | 0.010 | 0.003 | 0.0002 | 0.056 | 0.02 | 171.1 | Extremely high | 100 |
| P2 | 10 | 0.151 | 0.024 | 0.0023 | 1.34 | 0.42 | 276.2 | Extremely high | 90 |
| P3 | 10 | 0.019 | 0.018 | 0.0038 | 0.062 | 0.02 | 87.8 | High | 100 |
| P4–P7 | 4 | 0.00045 | 0.00045 | 0.0002 | 0.0007 | 0.00 | 64.2 | High | 100 |
| Manganese concentration (mg/L) | |||||||||
| P1 | 10 | 0.005 | 0.004 | 0.0002 | 0.011 | 0.00 | 81.2 | High | 100 |
| P2 | 10 | 0.021 | 0.010 | 0.001 | 0.084 | 0.03 | 131.5 | Very high | 80 |
| P3 | 10 | 0.101 | 0.088 | 0.0113 | 0.21 | 0.06 | 61.5 | High | 20 |
| P4–P7 | 4 | 0.012 | 0.01 | 0.006 | 0.022 | 0.01 | 58.1 | High | 100 |
| Total iron concentration (mg/L) | |||||||||
| P1 | 10 | 0.0358 | 0.031 | 0.013 | 0.066 | 0.02 | 54.5 | High | 100 |
| P2 | 10 | 0.0955 | 0.021 | 0.003 | 0.670 | 0.21 | 215.1 | Extremely high | 90 |
| P3 | 10 | 0.599 | 0.541 | 0.299 | 0.969 | 0.24 | 40.4 | High | 0 |
| P4–P7 | 4 | 0.0325 | 0.033 | 0.003 | 0.062 | 0.03 | 99.6 | High | 100 |
| Chlorides (mg/L) | |||||||||
| P1 | 10 | 1.020 | 1.025 | 0.134 | 2.18 | 0.58 | 56.757 | High | 100 |
| P2 | 10 | 1.339 | 0.73 | 0.13 | 3.06 | 1.16 | 86.643 | High | 100 |
| P3 | 10 | 1.684 | 1.75 | 0.201 | 3.11 | 1.06 | 63.205 | High | 100 |
| P4–P7 | 4 | 3.93 | 3.285 | 3.15 | 6 | 1.38 | 35.18 | Moderate | 100 |
| Total hardness CaCO3 (mg/L) | |||||||||
| P1 | 10 | 14.59 | 12.1 | 3.37 | 34 | 11.35 | 77.792 | High | 0 |
| P2 | 10 | 8.16 | 7.595 | 2.3 | 14 | 4.14 | 50.675 | High | 0 |
| P3 | 10 | 126.1 | 128.5 | 103 | 139 | 11.28 | 8.944 | Low | 100 |
| P4–P7 | 4 | 194.75 | 198.5 | 157 | 225 | 29.89 | 15.35 | Low | 100 |
Disclaimer/Publisher’s Note: The statements, opinions and data contained in all publications are solely those of the individual author(s) and contributor(s) and not of MDPI and/or the editor(s). MDPI and/or the editor(s) disclaim responsibility for any injury to people or property resulting from any ideas, methods, instructions or products referred to in the content. |
© 2023 by the authors. Licensee MDPI, Basel, Switzerland. This article is an open access article distributed under the terms and conditions of the Creative Commons Attribution (CC BY) license (https://creativecommons.org/licenses/by/4.0/).
Share and Cite
Grabowski, T.; Jóźwiakowski, K.; Bochniak, A.; Stachyra, P.; Radliński, B. Assessment of Rainwater Quality Regarding Its Use in the Roztocze National Park (Poland)—Case Study. Appl. Sci. 2023, 13, 6110. https://doi.org/10.3390/app13106110
Grabowski T, Jóźwiakowski K, Bochniak A, Stachyra P, Radliński B. Assessment of Rainwater Quality Regarding Its Use in the Roztocze National Park (Poland)—Case Study. Applied Sciences. 2023; 13(10):6110. https://doi.org/10.3390/app13106110
Chicago/Turabian StyleGrabowski, Tadeusz, Krzysztof Jóźwiakowski, Andrzej Bochniak, Przemysław Stachyra, and Bogusław Radliński. 2023. "Assessment of Rainwater Quality Regarding Its Use in the Roztocze National Park (Poland)—Case Study" Applied Sciences 13, no. 10: 6110. https://doi.org/10.3390/app13106110
APA StyleGrabowski, T., Jóźwiakowski, K., Bochniak, A., Stachyra, P., & Radliński, B. (2023). Assessment of Rainwater Quality Regarding Its Use in the Roztocze National Park (Poland)—Case Study. Applied Sciences, 13(10), 6110. https://doi.org/10.3390/app13106110

