A Comparative Study on Bioleaching Properties of Various Sulfide Minerals Using Acidiphilium cryptum
Abstract
1. Introduction
2. Materials and Methods
2.1. Sample Preparation and Analyses
2.2. Bacterial Sampling and Culture
2.3. Bioleaching Experiments
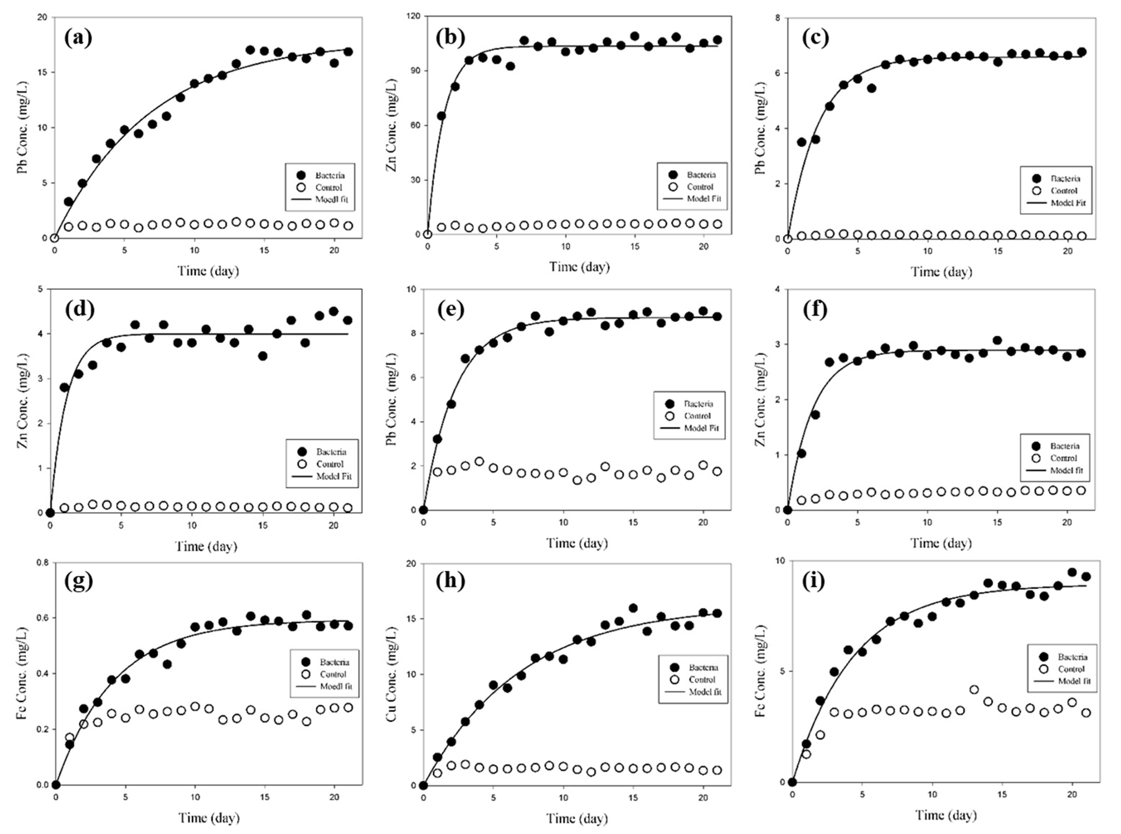
3. Results and Discussion
3.1. Composition Analysis of Various Sulfide Mineral Samples
3.2. Comparison of pH Change during Bioleaching of Mineral Samples
3.3. Metal Extraction in Bioleaching and the Bioleaching Mechanism Based on Sulfide Minerals
4. Conclusions
Author Contributions
Funding
Institutional Review Board Statement
Informed Consent Statement
Data Availability Statement
Conflicts of Interest
References
- Brierley, J.; Brierley, C. Present and future commercial applications of biohydrometallurgy. Hydrometallurgy 2001, 59, 233–239. [Google Scholar] [CrossRef]
- Marsden, J.; House, I. The Chemistry of Gold Extraction; SME: Littleton, CO, USA, 2006. [Google Scholar]
- Nkuna, R.; Ijoma, G.N.; Matambo, T.S.; Chimwani, N. Accessing Metals from Low-Grade Ores and the Environmental Impact Considerations: A Review of the Perspectives of Conventional versus Bioleaching Strategies. Minerals 2022, 12, 506. [Google Scholar] [CrossRef]
- Vyas, S.; Ting, Y.-P. Sequential biological process for molybdenum extraction from hydrodesulphurization spent catalyst. Chemosphere 2016, 160, 7–12. [Google Scholar] [CrossRef] [PubMed]
- Brierley, J.A. Response of microbial systems to thermal stress in biooxidation-heap pretreatment of refractory gold ores. Hydrometallurgy 2003, 71, 13–19. [Google Scholar] [CrossRef]
- Groudev, S.; Groudeva, V. Microbial communities in four industrial copper dump leaching operations in Bulgaria. FEMS Microbiol. Rev. 1993, 11, 261–267. [Google Scholar] [CrossRef]
- Jia, Y.; Sun, H.; Tan, Q.; Xu, J.; Feng, X.; Ruan, R. Industrial Heap Bioleaching of Copper Sulfide Ore Started with Only Water Irrigation. Minerals 2021, 11, 1299. [Google Scholar] [CrossRef]
- Kang, J.-K.; Cho, K.-H.; Kim, S.-B.; Choi, N.-C. Artificial Neural Network Modeling for Prediction of Dynamic Changes in Solution from Bioleaching by Indigenous Acidophilic Bacteria. Appl. Sci. 2020, 10, 7569. [Google Scholar] [CrossRef]
- Tributsch, H. Direct versus indirect bioleaching. Hydrometallurgy 2001, 59, 177–185. [Google Scholar] [CrossRef]
- Sand, W.; Schippers, A.; Hedrich, S.; Vera, M. Progress in bioleaching: Fundamentals and mechanisms of microbial metal sulfide oxidation–Part A. Appl. Microbiol. Biotechnol. 2022, 106, 6933–6952. [Google Scholar]
- Chaudhury, G.R.; Sukla, L.; Das, R. Kinetics of biochemical leaching of sphalerite concentrate. Metall. Trans. B 1985, 16, 667–670. [Google Scholar] [CrossRef]
- Blancarte-Zurita, M. Application of a Shrinkage Particle Model to the Kinetics of Microbiological Leaching. In Fundamental and Applied Biohydrometallurgy; Lawrence, R.W., Branion, R.M.R., Ebner, H.G., Eds.; Elsevier Science Publishers: Amsterdam, The Netherlands, 1985; pp. 243–253. [Google Scholar]
- Martello, D.; Vecchio, K.; Diehl, J.; Graham, R.; Tamilia, J.; Pollack, S. Do dislocations and stacking faults increase the oxidation rate of pyrites? Geochim. Cosmochim. Acta 1994, 58, 4657–4665. [Google Scholar] [CrossRef]
- Rojas-Chapana, J.A.; Tributsch, H. Interfacial activity and leaching patterns of Leptospirillum ferrooxidans on pyrite. FEMS Microbiol. Ecol. 2004, 47, 19–29. [Google Scholar] [CrossRef]
- Deng, S.; Gu, G. Insight into the Influence of Mineralogical Properties of Pristine Pyrite on Its Bioleaching with Thermophiles. Miner. Process. Extr. Metall. Rev. 2022, 43, 733–738. [Google Scholar] [CrossRef]
- Murr, L.; Berry, V. Direct observations of selective attachment of bacteria on low-grade sulfide ores and other mineral surfaces. Hydrometallurgy 1976, 2, 11–24. [Google Scholar] [CrossRef]
- Ohmura, N.; Kitamura, K.; Saiki, H. Selective adhesion of Thiobacillus ferrooxidans to pyrite. Appl. Environ. Microbiol. 1993, 59, 4044–4050. [Google Scholar] [CrossRef]
- Joshi, V.; Shah, N.; Wakte, P.; Dhakephalkar, P.; Dhakephalkar, A.; Khobragade, R.; Naphade, B.; Shaikh, S.; Deshmukh, A.; Adhapure, N. Comparative bioleaching of metals from pulverized and non-pulverized PCBs of cell phone charger: Advantages of non-pulverized PCBs. Environ. Sci. Pollut. Res. Int. 2017, 24, 28277–28286. [Google Scholar] [CrossRef]
- Lee, G.; Kim, K. Evaluation of Feasibility of Chemical Washing Treatment of Nickel in Deep-sea Mining Tailings by Aluminum Sulfate as Extractant. J. Korean Soc. Environ. Eng. 2022, 44, 77–85. [Google Scholar] [CrossRef]
- Mahmood, M.; Turner, A. The selective leaching of zinc from chalcopyrites-phalerite concentrates using slurry electrodes. Hydrometallurgy 1985, 14, 317–329. [Google Scholar]
- Fang, D.; Zhao, L.; Yang, Z.; Shan, H.; Gao, Y.; Yang, Q. Effect of sulphur concentration on bioleaching of heavy metals from contaminated dredged sediments. Environ. Technol. 2009, 30, 1241–1248. [Google Scholar] [CrossRef]
- Kim, S.-B.; Park, S.-J.; Lee, C.-G.; Choi, N.-C.; Kim, D.-J. Bacteria transport through goethite-coated sand: Effects of solution pH and coated sand content. Colloids Surf. B Biointerfaces 2008, 63, 236–242. [Google Scholar]
- Kim, S.B.; Park, S.J.; Lee, C.G.; Kim, H.C. Transport and retention of Escherichia coli in a mixture of quartz, Al-coated and Fe-coated sands. Hydrol. Process. Int. J. 2008, 22, 3856–3863. [Google Scholar] [CrossRef]
- Kang, J.-K.; Lee, C.-G.; Park, J.-A.; Kim, S.-B.; Choi, N.-C.; Park, S.-J. Adhesion of bacteria to pyrophyllite clay in aqueous solution. Environ. Technol. 2013, 34, 703–710. [Google Scholar] [CrossRef] [PubMed]
- Bulut, G.; Yenial, Ü. Effects of major ions in recycled water on sulfide minerals flotation. Miner. Metall. Process. 2016, 33, 137–143. [Google Scholar] [CrossRef]
- Liang, Y.-t.; Zhu, S.; Wang, J.; Ai, C.-b.; Qin, W.-q. Adsorption and leaching of chalcopyrite by Sulfolobus metallicus YN24 cultured in the distinct energy sources. Int. J. Miner. Metall. Mater. 2015, 22, 549–552. [Google Scholar] [CrossRef]
- Widler, A.; Seward, T. The adsorption of gold (I) hydrosulphide complexes by iron sulphide surfaces. Geochim. Cosmochim. Acta 2002, 66, 383–402. [Google Scholar] [CrossRef]
- Watling, H. The bioleaching of sulphide minerals with emphasis on copper sulphides—A review. Hydrometallurgy 2006, 84, 81–108. [Google Scholar] [CrossRef]
- Mahowald, N.M.; Hamilton, D.S.; Mackey, K.R.M.; Moore, J.K.; Baker, A.R.; Scanza, R.A.; Zhang, Y. Aerosol trace metal leaching and impacts on marine microorganisms. Nat. Commun. 2018, 9, 2614. [Google Scholar] [CrossRef]
- Liu, Y.-G.; Zhou, M.; Zeng, G.-M.; Li, X.; Xu, W.-H.; Fan, T. Effect of solids concentration on removal of heavy metals from mine tailings via bioleaching. J. Hazard. Mater. 2007, 141, 202–208. [Google Scholar] [CrossRef]
- Liu, Y.-G.; Zhou, M.; Zeng, G.-M.; Wang, X.; Li, X.; Fan, T.; Xu, W.-H. Bioleaching of heavy metals from mine tailings by indigenous sulfur-oxidizing bacteria: Effects of substrate concentration. Bioresour. Technol. 2008, 99, 4124–4129. [Google Scholar] [CrossRef]
- Rodrıguez, Y.; Ballester, A.; Blazquez, M.; González, F.; Munoz, J. New information on the pyrite bioleaching mechanism at low and high temperature. Hydrometallurgy 2003, 71, 37–46. [Google Scholar] [CrossRef]
- Ilyas, S.; Bhatti, H.N.; Bhatti, I.A.; Sheikh, M.A.; Ghauri, M.A. Bioleaching of metal ions from low grade sulphide ore: Process optimization by using orthogonal experimental array design. Afr. J. Biotechnol. 2010, 9, 2801–2810. [Google Scholar]
- Ye, M.; Li, G.; Yan, P.; Ren, J.; Zheng, L.; Han, D.; Sun, S.; Huang, S.; Zhong, Y. Removal of metals from lead-zinc mine tailings using bioleaching and followed by sulfide precipitation. Chemosphere 2017, 185, 1189–1196. [Google Scholar] [CrossRef]
- Mejía, E.; Ospina, J.; Márquez, M.; Morales, A. Bioleaching of Galena (PbS). In Fourier Transform-Materials Analysis; Salih, S.M., Ed.; BoD—Books on Demand: Norderstedt, Germany, 2012; pp. 185–206. [Google Scholar]
- Chaerun, S.K.; Putri, E.A.; Mubarok, M.Z. Bioleaching of Indonesian galena concentrate with an iron-and sulfur-oxidizing mixotrophic bacterium at room temperature. Front. Microbiol. 2020, 11, 557548. [Google Scholar] [CrossRef]
- Bosecker, K. Bioleaching: Metal solubilization by microorganisms. FEMS Microbiol. Rev. 1997, 20, 591–604. [Google Scholar] [CrossRef]
- Rouchalova, D.; Rouchalova, K.; Janakova, I.; Cablik, V.; Janstova, S. Bioleaching of iron, copper, lead, and zinc from the sludge mining sediment at different particle sizes, pH, and pulp density using Acidithiobacillus ferrooxidans. Minerals 2020, 10, 1013. [Google Scholar] [CrossRef]
- Kim, S.; Eom, H.; Kang, W.; Oh, S.-E. Evaluation of Individual and Mixture Toxicity of Heavy Metals using Semi-continuous Type Sulfur Oxidizing Bacteria (SOB) Bioreactor. J. Korean Soc. Environ. Eng. 2022, 44, 225–234. [Google Scholar] [CrossRef]
- Kim, B.-J.; Koh, Y.-K.; Kwon, J.-S. Bioleaching of pyrrhotite with bacterial adaptation and biological oxidation for iron recovery. Metals 2021, 11, 295. [Google Scholar] [CrossRef]






| Samples | Matched Phases | Quantity (wt %) |
|---|---|---|
| SP | PbS | 21 |
| ZnS | 78 | |
| GN1 | PbS | 57 |
| ZnS | 42 | |
| GN2 | PbS | 67 |
| ZnS | 32 | |
| PY | FeS2 | >95 |
| CCP | CuFeS2 | >95 |
| Sample | ΔpH | Elements | Leaching Concentration (mg/L) |
|---|---|---|---|
| SP | 2.62 | Pb | 17.90 |
| Zn | 103.40 | ||
| GN1 | 2.49 | Pb | 6.58 |
| Zn | 4.00 | ||
| GN2 | 2.55 | Pb | 8.72 |
| Zn | 2.90 | ||
| PY | 2.55 | Fe | 0.59 |
| CCP | 3.01 | Cu | 16.23 |
| Fe | 8.93 |
| Sample | Elements | EI (mg/L) | K (1/day) | R2 |
|---|---|---|---|---|
| SP | Pb | 17.90 | 0.15 | 0.98 |
| Zn | 103.40 | 0.86 | 0.97 | |
| GN1 | Pb | 6.58 | 0.46 | 0.96 |
| Zn | 4.00 | 0.89 | 0.91 | |
| GN2 | Pb | 8.72 | 0.44 | 0.99 |
| Zn | 2.90 | 0.56 | 0.97 | |
| PY | Fe | 0.59 | 0.24 | 0.97 |
| CCP | Cu | 16.23 | 0.15 | 0.98 |
| Fe | 8.93 | 0.23 | 0.98 |
Disclaimer/Publisher’s Note: The statements, opinions and data contained in all publications are solely those of the individual author(s) and contributor(s) and not of MDPI and/or the editor(s). MDPI and/or the editor(s) disclaim responsibility for any injury to people or property resulting from any ideas, methods, instructions or products referred to in the content. |
© 2023 by the authors. Licensee MDPI, Basel, Switzerland. This article is an open access article distributed under the terms and conditions of the Creative Commons Attribution (CC BY) license (https://creativecommons.org/licenses/by/4.0/).
Share and Cite
Cho, K.-H.; Kim, H.-S.; Lee, C.-G.; Park, S.-J.; Choi, N.-C. A Comparative Study on Bioleaching Properties of Various Sulfide Minerals Using Acidiphilium cryptum. Appl. Sci. 2023, 13, 5997. https://doi.org/10.3390/app13105997
Cho K-H, Kim H-S, Lee C-G, Park S-J, Choi N-C. A Comparative Study on Bioleaching Properties of Various Sulfide Minerals Using Acidiphilium cryptum. Applied Sciences. 2023; 13(10):5997. https://doi.org/10.3390/app13105997
Chicago/Turabian StyleCho, Kang-Hee, Hyun-Soo Kim, Chang-Gu Lee, Seong-Jik Park, and Nag-Choul Choi. 2023. "A Comparative Study on Bioleaching Properties of Various Sulfide Minerals Using Acidiphilium cryptum" Applied Sciences 13, no. 10: 5997. https://doi.org/10.3390/app13105997
APA StyleCho, K.-H., Kim, H.-S., Lee, C.-G., Park, S.-J., & Choi, N.-C. (2023). A Comparative Study on Bioleaching Properties of Various Sulfide Minerals Using Acidiphilium cryptum. Applied Sciences, 13(10), 5997. https://doi.org/10.3390/app13105997

