Development of a New Eye Movement Measurement Device Using Eye-Tracking Analysis Technology
Abstract
1. Introduction
2. Materials and Methods
2.1. Participants
2.2. Device and Measurements
2.3. Analysis
2.4. Ethics Approval and Consent to Participate
3. Results
3.1. Simultaneous Measurement of Visual Target and Eye Positions
3.2. Degree of Agreement between the Visual Target and Eye Position
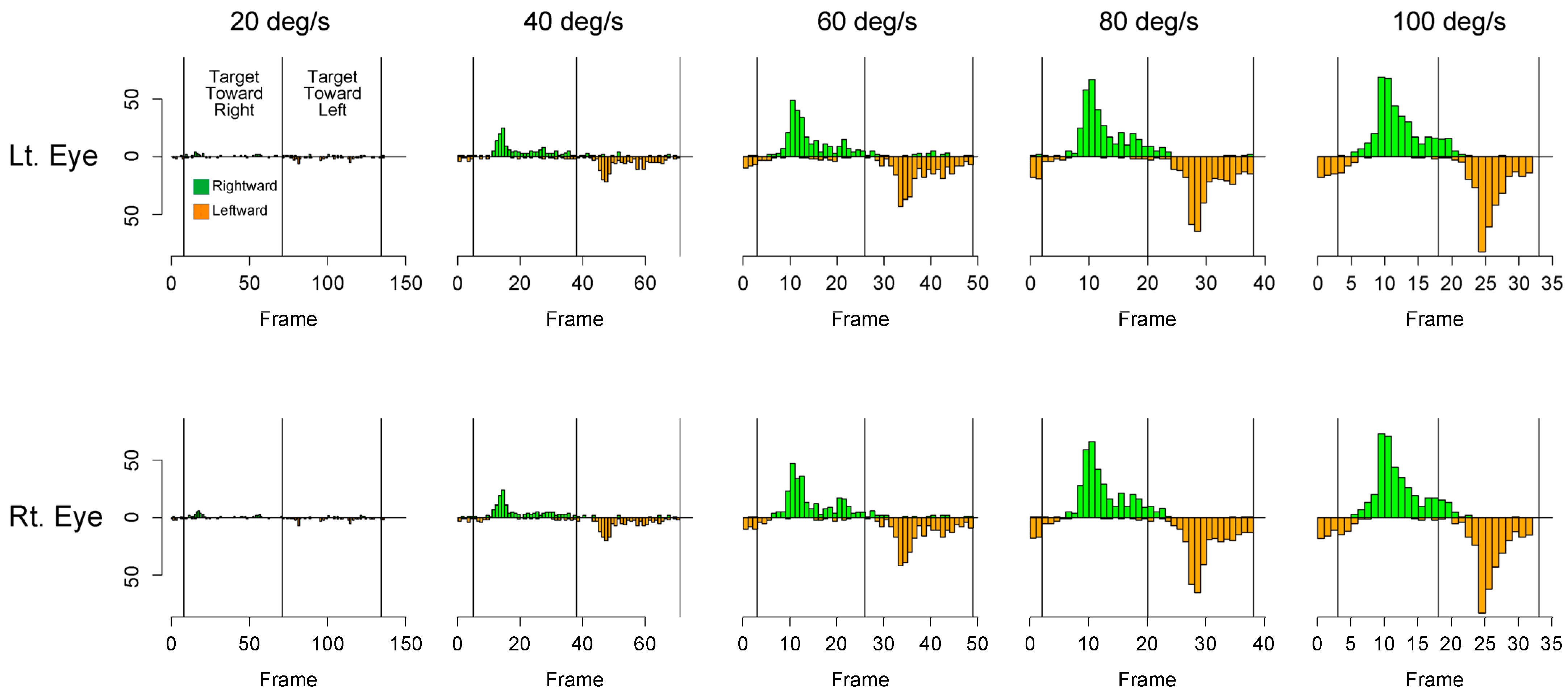
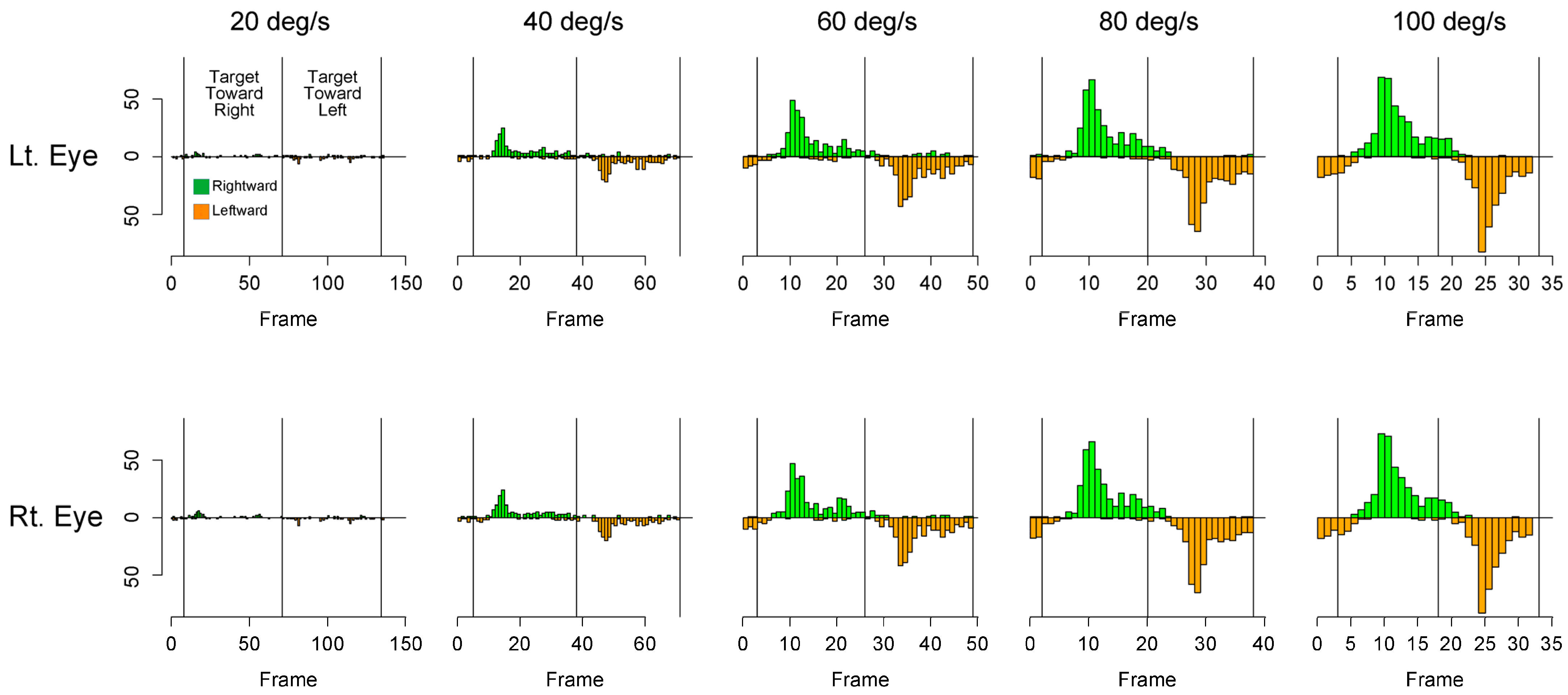
3.3. Horizontal Eye Movement Velocity
4. Discussion
5. Conclusions
Author Contributions
Funding
Institutional Review Board Statement
Informed Consent Statement
Data Availability Statement
Conflicts of Interest
References
- Gegenfurtner, K.R. The interaction between vision and eye movements. Perception 2016, 45, 1333–1357. [Google Scholar] [CrossRef] [PubMed]
- Krauzlis, R.J.; Goffart, L.; Hafed, Z.M. Neuronal control of fixation and fixational eye movements. Philos. Trans. R. Soc. Lond. B. Biol. Sci. 2017, 372, 20160205. [Google Scholar] [CrossRef] [PubMed]
- von Noorden, G.K.; Mackensen, G. Pursuit movements of normal and amblyopic eyes. An electro-ophthalmographic study. II. Pursuit movements in amblyopic patients. Am. J. Ophthalmol. 1962, 53, 477–487. [Google Scholar] [CrossRef] [PubMed]
- Schor, C. A directional impairment of eye movement control in strabismus amblyopia. Investig. Ophthalmol. 1975, 14, 692–697. [Google Scholar]
- Leigh, R.J.; Zee, D.S. Eye movements of the blind. Investig. Ophthalmol. Vis. Sci. 1980, 19, 328–331. [Google Scholar]
- Shanidze, N.M.; Lively, Z.; Lee, R.; Verghese, P. Saccadic contributions to smooth pursuit in macular degeneration. Vis. Res. 2022, 200, 108102. [Google Scholar] [CrossRef] [PubMed]
- Robinson, D.A. A method of measuring eye movement using a scleral search coil in a magnetic field. IEEE Trans. Biomed. Eng. 1963, 10, 137–145. [Google Scholar] [CrossRef] [PubMed]
- Marg, E. Development of electro-oculography; standing potential of the eye in registration of eye movement. AMA Arch. Ophthalmol. 1951, 45, 169–185. [Google Scholar] [CrossRef] [PubMed]
- Lappe-Osthege, M.; Talamo, S.; Helmchen, C.; Sprenger, A. Overestimation of saccadic peak velocity recorded by electro-oculography compared to video-oculography and scleral search coil. Clin. Neurophysiol. 2010, 121, 1786–1787. [Google Scholar] [CrossRef] [PubMed]
- Ciuffreda, K.J.; Tannen, B. Methods to assess eye position and movement. In Eye Movement Basics for the Clinician; Sasser, M., Ed.; Mosby-Year Book, Inc.: Saint Louis, MO, USA, 1995; pp. 184–206. [Google Scholar]
- Eggert, T. Eye movement recordings: Methods. Dev. Ophthalmol. 2007, 40, 15–34. [Google Scholar] [CrossRef] [PubMed]
- Carter, B.T.; Luke, S.G. Best practices in eye tracking research. Int. J. Psychophysiol. 2020, 155, 49–62. [Google Scholar] [CrossRef] [PubMed]
- Dowiasch, S.; Wolf, P.; Bremmer, F. Quantitative comparison of a mobile and a stationary video-based eye-tracker. Behav. Res. Methods 2020, 52, 667–680. [Google Scholar] [CrossRef] [PubMed]
- Alahyane, N.; Lemoine-Lardennois, C.; Tailhefer, C.; Collins, T.; Fagard, J.; Doré-Mazars, K. Development and learning of saccadic eye movements in 7- to 42-month-old children. J. Vis. 2016, 16, 6. [Google Scholar] [CrossRef] [PubMed]
- Iwata, Y.; Handa, T.; Ishikawa, H. Objective measurement of nine gaze-directions using an eye-tracking device. J. Eye Mov. Res. 2020, 13, jemr.13.6.4. [Google Scholar] [CrossRef] [PubMed]
- Vergilino-Perez, D.; Fayel, A.; Lemoine, C.; Senot, P.; Vergne, J.; Doré-Mazars, K. Are there any left-right asymmetries in saccade parameters? Examination of latency, gain, and peak velocity. Investig. Ophthalmol. Vis. Sci. 2012, 53, 3340–3348. [Google Scholar] [CrossRef] [PubMed]
- Tochikura, I.; Sato, D.; Imoto, D.; Nuruki, A.; Yamashiro, K.; Funada, R.; Maruyama, A. Baseball players’ eye movements and higher coincident-timing task performance. Percept. Mot. Skills 2020, 127, 571–586. [Google Scholar] [CrossRef] [PubMed]
- Meyer, C.H.; Lasker, A.G.; Robinson, D.A. The upper limit of human smooth pursuit velocity. Vis. Res. 1985, 25, 561–563. [Google Scholar] [CrossRef] [PubMed]
- Leigh, R.J.; Zee, D.S. (Eds.) Smooth pursuit and visual fixation. In The Neurology of Eye Movements; Contemporary Neurology Series; Oxford University Press: Oxford, UK, 2006; Volume 70, pp. 188–240. [Google Scholar]
- Leigh, R.J.; Zee, D.S. (Eds.) The saccadic system. In The Neurology of Eye Movements; Contemporary Neurology Series; Oxford University Press: Oxford, UK, 2006; Volume 70, pp. 108–187. [Google Scholar]
- Rottach, K.G.; Zivotofsky, A.Z.; Das, V.E.; Averbuch-Heller, L.; Discenna, A.O.; Poonyathalang, A.; Leigh, R.J. Comparison of horizontal, vertical and diagonal smooth pursuit eye movements in normal human subjects. Vis. Res. 1996, 36, 2189–2195. [Google Scholar] [CrossRef] [PubMed]
- Schalén, L. Quantification of tracking eye movements in normal subjects. Acta Otolaryngol. 1980, 90, 404–413. [Google Scholar] [CrossRef] [PubMed]
- Terao, Y.; Fukuda, H.; Sugiyama, Y.; Inomata-Terada, S.; Tokushige, S.I.; Hamada, M.; Ugawa, Y. Recording horizontal saccade performances accurately in neurological patients using electro-oculogram. J. Vis. Exp. 2018, 133, e56934. [Google Scholar] [CrossRef]








Disclaimer/Publisher’s Note: The statements, opinions and data contained in all publications are solely those of the individual author(s) and contributor(s) and not of MDPI and/or the editor(s). MDPI and/or the editor(s) disclaim responsibility for any injury to people or property resulting from any ideas, methods, instructions or products referred to in the content. |
© 2023 by the authors. Licensee MDPI, Basel, Switzerland. This article is an open access article distributed under the terms and conditions of the Creative Commons Attribution (CC BY) license (https://creativecommons.org/licenses/by/4.0/).
Share and Cite
Tatara, S.; Toda, H.; Maeda, F.; Handa, T. Development of a New Eye Movement Measurement Device Using Eye-Tracking Analysis Technology. Appl. Sci. 2023, 13, 5968. https://doi.org/10.3390/app13105968
Tatara S, Toda H, Maeda F, Handa T. Development of a New Eye Movement Measurement Device Using Eye-Tracking Analysis Technology. Applied Sciences. 2023; 13(10):5968. https://doi.org/10.3390/app13105968
Chicago/Turabian StyleTatara, Shunya, Haruo Toda, Fumiatsu Maeda, and Tomoya Handa. 2023. "Development of a New Eye Movement Measurement Device Using Eye-Tracking Analysis Technology" Applied Sciences 13, no. 10: 5968. https://doi.org/10.3390/app13105968
APA StyleTatara, S., Toda, H., Maeda, F., & Handa, T. (2023). Development of a New Eye Movement Measurement Device Using Eye-Tracking Analysis Technology. Applied Sciences, 13(10), 5968. https://doi.org/10.3390/app13105968

