Investigation on the Effect of the Baseline Control System on Dynamic and Fatigue Characteristics of Modern Wind Turbines
Abstract
:1. Introduction
2. Basic Models and Theory
2.1. General Motion Equations
2.2. Blade Element Momentum Theory Model
2.3. Baseline Control System Model
2.3.1. Generator-Torque Controller
2.3.2. Blade-Pitch Controller
3. Turbulent Wind Simulation and Fatigue Load Analysis Method
3.1. Turbulent Wind Simulation
3.2. Fatigue Load Analysis Method
4. Numerical Results and Discussion
4.1. Dynamic Analysis
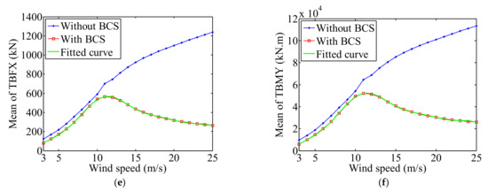
4.1.1. Effect of BCS on Mean Values of Dynamic Response
4.1.2. Effect of the BCS on Maximum Values of Dynamic Response
4.2. Fatigue Analysis
4.2.1. Effect of BCS on Number of Rainflow Cycles
4.2.2. Effect of the BCS on DELs
5. Conclusions
Author Contributions
Funding
Institutional Review Board Statement
Informed Consent Statement
Data Availability Statement
Acknowledgments
Conflicts of Interest
References
- Lee, J.; Zhao, F. Global Wind Report 2021; Global Wind Energy Council (GWEC): Brussels, Belgium, 2021. [Google Scholar]
- Moné, C.; Hand, M.; Bolinger, M.; Rand, J.; Heimiller, D.; Ho, J. 2015 Cost of Wind Energy Review; National Renewable Energy Lab. (NREL): Golden, CO, USA, 2017. [Google Scholar]
- Martin, O.L.H. Aerodynamics of Wind Turbines, 3rd ed.; Routledge: London, UK, 2015. [Google Scholar]
- Thirstrup, P.J. Kinematically Nonlinear Finite Element Model of a Horizontal Axis Wind Turbine. Part 1. Mathematical Model and Results. Ph.D. Thesis, Risoe National Lab., Roskilde, Denmark, 1 July 1990. [Google Scholar]
- Naguleswaran, S. Lateral vibration of a centrifugally tensioned uniform Euler-Bernoulli beam. J. Sound Vib. 1994, 176, 613–624. [Google Scholar] [CrossRef]
- Baumgart, A. A mathematical model for wind turbine blades. J. Sound Vib. 2002, 251, 1–12. [Google Scholar] [CrossRef]
- Kiyomiya, O.; Rikiji, T.; van Gelder, P.H. Dynamic response analysis of onshore wind energy power units during earthquakes and wind. In Proceedings of the Twelfth International Offshore and Polar Engineering Conference, Kitakyushu, Japan, 26–31 May 2002. [Google Scholar]
- Murtagh, P.J.; Basu, B.; Broderick, B.M. Along-wind response of a wind turbine tower with blade coupling subjected to rotationally sampled wind loading. Eng. Struct. 2005, 27, 1209–1219. [Google Scholar] [CrossRef]
- Kallesøe, B.S. Equations of motion for a rotor blade, including gravity, pitch action and rotor speed variations. Wind. Energy Int. J. Prog. Appl. Wind. Power Convers. Technol. 2007, 10, 209–230. [Google Scholar] [CrossRef]
- Chen, X.; Li, J.; Chen, J. Wind-induced response analysis of a wind turbine tower including the blade-tower coupling effect. J. Zhejiang Univ. Sci. A 2009, 10, 1573–1580. [Google Scholar] [CrossRef]
- Li, J.; Chen, J.; Chen, X. Aerodynamic response analysis of wind turbines. J. Mech. Sci. Technol. 2011, 25, 89–95. [Google Scholar] [CrossRef]
- Gebhardt, C.G.; Roccia, B.A. Non-linear aeroelasticity: An approach to compute the response of three-blade large-scale horizontal-axis wind turbines. Renew. Energy 2014, 66, 495–514. [Google Scholar] [CrossRef]
- Guo, S.; Li, Y.; Chen, W. Analysis on dynamic interaction between flexible bodies of large-sized wind turbine and its response to random wind loads. Renew. Energy 2021, 163, 123–137. [Google Scholar] [CrossRef]
- Shkara, Y.; Schelenz, R.; Jacobs, G. The Effect of Blade-Tower Interaction on the Structure Loading of Multi Megawatt Horizontal Axis Wind Turbine; Journal of Physics Conference Series; IOP Publishing: Bristol, UK, 2018; Volume 1037, p. 072033. [Google Scholar]
- Feliciano, J.; Cortina, G.; Spear, A.; Calaf, M. Generalized analytical displacement model for wind turbine towers under aerodynamic loading. J. Wind. Eng. Ind. Aerodyn. 2018, 176, 120–130. [Google Scholar] [CrossRef]
- Hu, Y.; Yang, J.; Baniotopoulos, C.; Wang, X.; Deng, X. Dynamic analysis of offshore steel wind turbine towers subjected to wind, wave and current loading during construction. Ocean. Eng. 2020, 216, 108084. [Google Scholar] [CrossRef]
- Banerjee, A.; Chakraborty, T.; Matsagar, V.; Achmus, M. Dynamic analysis of an offshore wind turbine under random wind and wave excitation with soil-structure interaction and blade tower coupling. Soil Dyn. Earthq. Eng. 2019, 125, 105699. [Google Scholar] [CrossRef]
- Nezamolmolki, D.; Shooshtari, A. Investigation of nonlinear dynamic behavior of lattice structure wind turbines. Renew. Energy 2016, 97, 33–46. [Google Scholar] [CrossRef]
- Feyzollahzadeh, M.; Mahmoodi, M.J.; Yadavar-Nikravesh, S.M.; Jamali, J. Wind load response of offshore wind turbine towers with fixed monopile platform. J. Wind. Eng. Ind. Aerodyn. 2016, 158, 122–138. [Google Scholar] [CrossRef]
- Pim, V.D.M.; Karel, N.V.D.; Andrei, V.M. The effect of the nonlinear velocity and history dependencies of the aerodynamic force on the dynamic response of a rotating wind turbine blade. J. Sound Vib. 2016, 383, 191–209. [Google Scholar]
- Kong, C.; Bang, J.; Sugiyama, Y. Structural investigation of composite wind turbine blade considering various load cases and fatigue life. Energy 2005, 30, 2101–2114. [Google Scholar] [CrossRef]
- Kong, C.; Kim, T.; Han, D. Investigation of fatigue life for a medium scale composite wind turbine blade. Int. J. Fatigue 2006, 28, 1382–1388. [Google Scholar] [CrossRef]
- Shokrieh, M.M.; Rafiee, R. Simulation of fatigue failure in a full composite wind turbine blade. Compos. Struct. 2006, 74, 332–342. [Google Scholar] [CrossRef]
- Do, T.Q.; van de Lindt, J.W.; Mahmoud, H. Fatigue life fragilities and performance-based design of wind turbine tower base connections. J. Struct. Eng. 2015, 141, 04014183. [Google Scholar] [CrossRef]
- Lee, H.G.; Kang, M.G.; Park, J. Fatigue failure of a composite wind turbine blade at its root end. Compos. Struct. 2015, 133, 878–885. [Google Scholar] [CrossRef]
- Summary of Wind Turbine Accident Data to 30 June 2021. Available online: http://www.caithnesswindfarms.co.uk/AccidentStatistics.htm (accessed on 1 August 2021).
- Jonkman, J.M.; Buhl, J.M.L. FAST User’s Guide; National Renewable Energy Laboratory: Golden, CO, USA, 2005; Volume 365, p. 366. [Google Scholar]
- Yuan, C.; Chen, J.; Li, J.; Xu, Q. Fragility analysis of large-scale wind turbines under the combination of seismic and aerodynamic loads. Renew. Energy 2017, 113, 1122–1134. [Google Scholar] [CrossRef]
- Yuan, C.; Chen, J.; Li, J.; Xu, Q.; Xie, Y. Study on the influence of baseline control system on the fragility of large-Scale wind turbine considering seismic-aerodynamic combination. Adv. Civ. Eng. 2020, 2020, 8471761. [Google Scholar] [CrossRef]
- Li, H.; Hu, Z.; Wang, J.; Meng, X. Short-term fatigue analysis for tower base of a spar-type wind turbine under stochastic wind-wave loads. Int. J. Nav. Archit. Ocean. Eng. 2018, 10, 9–20. [Google Scholar] [CrossRef]
- Jonkman, J.M.; Butterfield, S.; Musial, W.; Scott, G. Definition of a 5-MW Reference Wind Turbine for Offshore System Development; National Renewable Energy Lab. (NREL): Golden, CO, USA, 2009. [Google Scholar]
- Kane, T.R.; Levinson, D.A. Dynamics, Theory and Application; McGraw Hill: New York, NY, USA, 1985. [Google Scholar]
- Jonkman, J.M. Modeling of the UAE Wind Turbine for Refinement of FAST_AD; National Renewable Energy Lab.: Golden, CO, USA, 2003. [Google Scholar]
- Jonkman, J.; Buhl, M. New developments for the NWTC’s fast aeroelastic HAWT simulator. In Proceedings of the 42nd AIAA Aerospace Sciences Meeting and Exhibit, Reno, NV, USA, 5–8 January 2004; p. 504. [Google Scholar]
- Chen, J.; Yuan, C.; Li, J.; Xu, Q. Semi-active fuzzy control of edgewise vibrations in wind turbine blades under extreme wind. J. Wind. Eng. Ind. Aerodyn. 2015, 147, 251–261. [Google Scholar] [CrossRef]
- Wright, A.D.; Fingersh, L.J. Advanced Control Design for Wind Turbines; Part I: Control Design, Implementation, and Initial Tests; National Renewable Energy Lab. (NREL): Golden, CO, USA, 2008. [Google Scholar]
- Available online: https://www.nrel.gov/wind/nwtc/fast.html (accessed on 4 March 2022).
- International Electrotechnical Commission. Wind Turbines-Part 1: Design Requirements, 3rd ed.; IEC 61400-1; International Electrotechnical Commission: Geneva, Switzerland, 2005. [Google Scholar]
- Ismaiel, A.M.M.; Yoshida, S. Study of turbulence intensity effect on the fatigue lifetime of wind turbines. Evergreen 2018, 5, 25–32. [Google Scholar] [CrossRef]
- Jonkman, B.J. TurbSim User’s Guide: Version 1.50; National Renewable Energy Lab. (NREL): Golden, CO, USA, 2009. [Google Scholar]
- Downing, S.D.; Socie, D.F. Simple rainflow counting algorithms. Int. J. Fatigue 1982, 4, 31–40. [Google Scholar] [CrossRef]
- Manwell, J.F.; McGowan, J.G.; Rogers, A.L. Wind Energy Explained: Theory, Design and Application; John Wiley & Sons: Hoboken, NJ, USA, 2010. [Google Scholar]
- Hayman, G.J.; Buhl, M., Jr. Mlife Users Guide for Version 1.00; National Renewable Energy Laboratory: Golden, CO, USA, 2012; Volume 74, p. 112. [Google Scholar]
- Girsang, I.P.; Dhupia, J.S. Pitch controller for wind turbine load mitigation through consideration of yaw misalignment. Mechatronics 2015, 32, 44–58. [Google Scholar] [CrossRef]
- Aho, J.; Pao, L.Y.; Fleming, P. Controlling Wind Turbines for Secondary Frequency Regulation: An Analysis of AGC Capabilities under New Performance based Compensation Policy; National Renewable Energy Lab. (NREL): Golden, CO, USA, 2015. [Google Scholar]
- Karlina-Barber, S.; Mechler, S.; Nitschke, M. The effect of wakes on the fatigue damage of wind turbine components over their entire lifetime using short-term load measurements. J. Phys. Conf. Ser. 2016, 753, 072022. [Google Scholar] [CrossRef] [Green Version]
- Schafhirt, S.; Page, A.; Eiksund, G.R.; Muskulus, M. Influence of soil parameters on the fatigue lifetime of offshore wind turbines with monopile support structure. Energy Procedia 2016, 94, 347–356. [Google Scholar] [CrossRef] [Green Version]
- Malcolm, D.J.; Hansen, A.C. WindPACT Turbine Rotor Design Study; National Renewable Energy Laboratory: Golden, CO, USA, 2002. [Google Scholar]
- Genta, G. A fast modal technique for the computation of the Campbell diagram of multi-degree-of-freedom rotors. J. Sound Vib. 1992, 155, 385–402. [Google Scholar] [CrossRef]
- Ritto, T.G.; Lopez, R.H.; Sampaio, R. Robust optimization of a flexible rotor-bearing system using the Campbell diagram. Eng. Optim. 2011, 43, 77–96. [Google Scholar] [CrossRef]
- Yang, J.; Song, D.; Dong, M.; Chen, S.; Zou, L.; Guerrero, J.M. Comparative studies on control systems for a two-blade variable-speed wind turbine with a speed exclusion zone. Energy 2016, 109, 294–309. [Google Scholar] [CrossRef] [Green Version]
- Wandji, W.N.; Natarajan, A.; Dimitrov, N. Development and design of a semi-floater substructure for multi-megawatt wind turbines at 50+ m water depths. Ocean. Eng. 2016, 125, 226–237. [Google Scholar] [CrossRef]
- Ismaiel, A.; Yoshida, S. Aeroelastic analysis of a coplanar twin-rotor wind turbine. Energies 2019, 12, 1881. [Google Scholar] [CrossRef] [Green Version]
























| NREL 5-MW Baseline Wind Turbine Properties | |
|---|---|
| Rating | 5 MW |
| Rotor orientation, configuration | Upwind, 3 blades |
| Control | Variable speed, collective pitch |
| Rotor, hub diameter | 126 m, 3 m |
| Hub height | 90 m |
| Cut-in, rated, cut-out wind speed | 3 m/s, 11.4 m/s, 25 m/s |
| Cut-in, rated rotor speed | 6.9 rpm, 12.2 rpm |
| Rated tip speed | 80 m/s |
| Blade length | 61.5 m |
| Blade mass | 17,740 kg |
| Hub mass | 56,780 kg |
| Nacelle mass | 240,000 kg |
| Tower above ground height | 87.6 m |
| Tower mass | 347,460 kg |
| Name | Description |
|---|---|
| BSX | Blade flapwise tip displacement (relative to the tower top) |
| BFX | Flapwise shear force at the blade root |
| BMY | Flapwise moment at the blade root |
| TTSX | Tower-top fore-aft (FA) displacement |
| TBFX | Tower base FA shear force |
| TBMY | Tower base FA moment |
| Wind Speed (m/s) | Cases | BSX (m) | BFX (kN) | BMY (103 kN·m) | TTSX (m) | TBFX (kN) | TBMY (103 kN·m) |
|---|---|---|---|---|---|---|---|
| 3 | No. 1 | 1.93 | 83.65 | 3.05 | 0.05 | 123.04 | 9.63 |
| No. 2 | 1.02 | 50.64 | 1.74 | 0.03 | 78.59 | 5.80 | |
| Difference (%) | +47.15 | +39.46 | +42.95 | +40.00 | +36.13 | +39.77 | |
| 11.4 | No. 1 | 5.43 | 277.04 | 9.87 | 0.39 | 699.58 | 64.55 |
| No. 2 | 3.82 | 231.21 | 8.1 | 0.32 | 564.03 | 52.03 | |
| Difference (%) | +29.65 | +16.54 | +17.93 | +17.95 | +19.38 | +19.4 | |
| 25 | No. 1 | 8.74 | 456.56 | 15.76 | 0.69 | 1237.17 | 113.48 |
| No. 2 | 0.36 | 145.58 | 3.09 | 0.16 | 264.18 | 25.96 | |
| Difference (%) | +95.88 | +68.11 | +80.39 | +76.81 | +78.65 | +77.12 |
| Wind Speed (m/s) | Cases | BSX (m) | BFX (kN) | BMY (103 kN·m) | TTSX (m) | TBFX (kN) | TBMY (103 kN·m) |
|---|---|---|---|---|---|---|---|
| 3 | No. 1 | 2.64 | 126.2 | 4.49 | 0.09 | 220 | 16.73 |
| No. 2 | 1.98 | 93.45 | 3.38 | 0.19 | 399.8 | 32.7 | |
| Difference (%) | +25 | +25.95 | +24.72 | −111.11 | −81.73 | −95.46 | |
| 11.4 | No. 1 | 8.42 | 426.8 | 14.87 | 0.54 | 1080 | 92.14 |
| No. 2 | 7.76 | 368.9 | 13.43 | 0.47 | 1007 | 81.01 | |
| Difference (%) | +7.84 | +13.57 | +9.68 | +12.96 | +6.76 | +12.08 | |
| 25 | No. 1 | 12.05 | 642.7 | 20.95 | 0.89 | 1680 | 147.2 |
| No. 2 | 4.42 | 369.1 | 10.11 | 0.41 | 769.8 | 67.08 | |
| Difference (%) | +63.32 | +42.57 | +51.74 | +53.93 | +54.18 | +54.43 |
Publisher’s Note: MDPI stays neutral with regard to jurisdictional claims in published maps and institutional affiliations. |
© 2022 by the authors. Licensee MDPI, Basel, Switzerland. This article is an open access article distributed under the terms and conditions of the Creative Commons Attribution (CC BY) license (https://creativecommons.org/licenses/by/4.0/).
Share and Cite
Yuan, C.; Li, J.; Xie, Y.; Bai, W.; Wang, J. Investigation on the Effect of the Baseline Control System on Dynamic and Fatigue Characteristics of Modern Wind Turbines. Appl. Sci. 2022, 12, 2968. https://doi.org/10.3390/app12062968
Yuan C, Li J, Xie Y, Bai W, Wang J. Investigation on the Effect of the Baseline Control System on Dynamic and Fatigue Characteristics of Modern Wind Turbines. Applied Sciences. 2022; 12(6):2968. https://doi.org/10.3390/app12062968
Chicago/Turabian StyleYuan, Chenyang, Jing Li, Yunfei Xie, Weifeng Bai, and Jianyou Wang. 2022. "Investigation on the Effect of the Baseline Control System on Dynamic and Fatigue Characteristics of Modern Wind Turbines" Applied Sciences 12, no. 6: 2968. https://doi.org/10.3390/app12062968
APA StyleYuan, C., Li, J., Xie, Y., Bai, W., & Wang, J. (2022). Investigation on the Effect of the Baseline Control System on Dynamic and Fatigue Characteristics of Modern Wind Turbines. Applied Sciences, 12(6), 2968. https://doi.org/10.3390/app12062968

