The Influence of Forced Convective Heat Transfer on Hybrid Nanofluid Flow in a Heat Exchanger with Elliptical Corrugated Tubes: Numerical Analyses and Optimization
Abstract
Featured Application
Abstract
1. Introduction
2. Materials and Methods
2.1. Numerical Model Methodology
- The flow is in the steady state [49].
- The ethylene glycol/magnesium oxide-multiwalled carbon nanotube (EG/MgO-MWCNT) hybrid nanofluid is simulated as a single-phase fluid.
- Laminar flow regime (50 ≤ Re ≤ 1000), Twall = 400 K, and Tin = 313 K and 323 K.
- The convergence criterion is considered to be less than 10−6 for all the effective variables.
- Gravity effects and kinetic losses are considered.
- Velocity inlet and constant inlet temperature boundary conditions are used for the inlet.
- The pressure outlet boundary condition is employed for the heat exchanger exit.
- The constant temperature boundary condition is used on the side walls.
- The diffusion terms in the energy and momentum equations are approximated using second-order central difference.
- For the convective terms, the second-order upwind scheme is employed.
2.2. Validation of Numerical Model
2.2.1. Grid Study
2.2.2. Validation Results
3. Results and Discussions
3.1. The Influence of Temperature and Velocity Contours on Hybrid Nanofluid Flow
3.2. The Influence of Using Hybrid Nanofluid with Volume Fractions on Convective Heat Transfer at Various Reynold Numbers and Inlet Temperatures
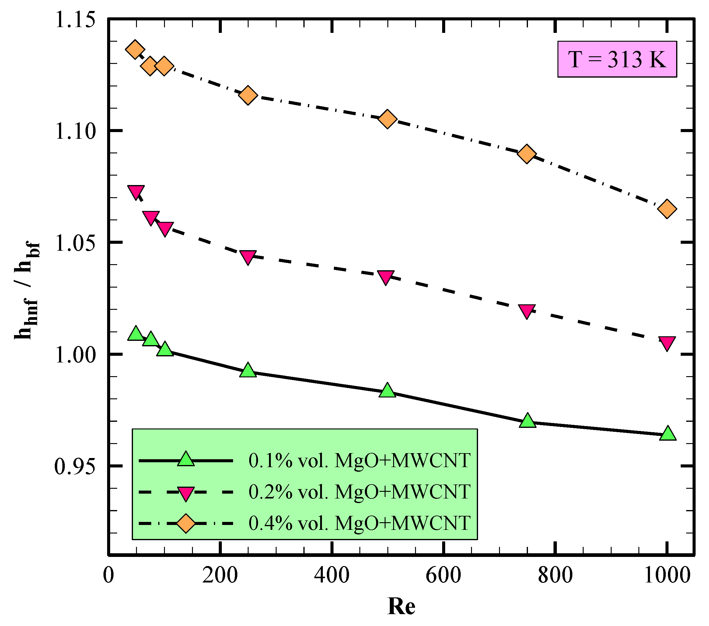
3.3. The Influence of Using Hybrid Nanofluid with Volume Fractions on the Ratio of Convective Heat Transfer to Base Fluid at Various Reynold Numbers and Inlet Temperatures
3.4. The Effects of Hybrid Nanofluid with Different Volume Fractions on Average Nu Ratio at Various Re and Selected Inlet Temperature
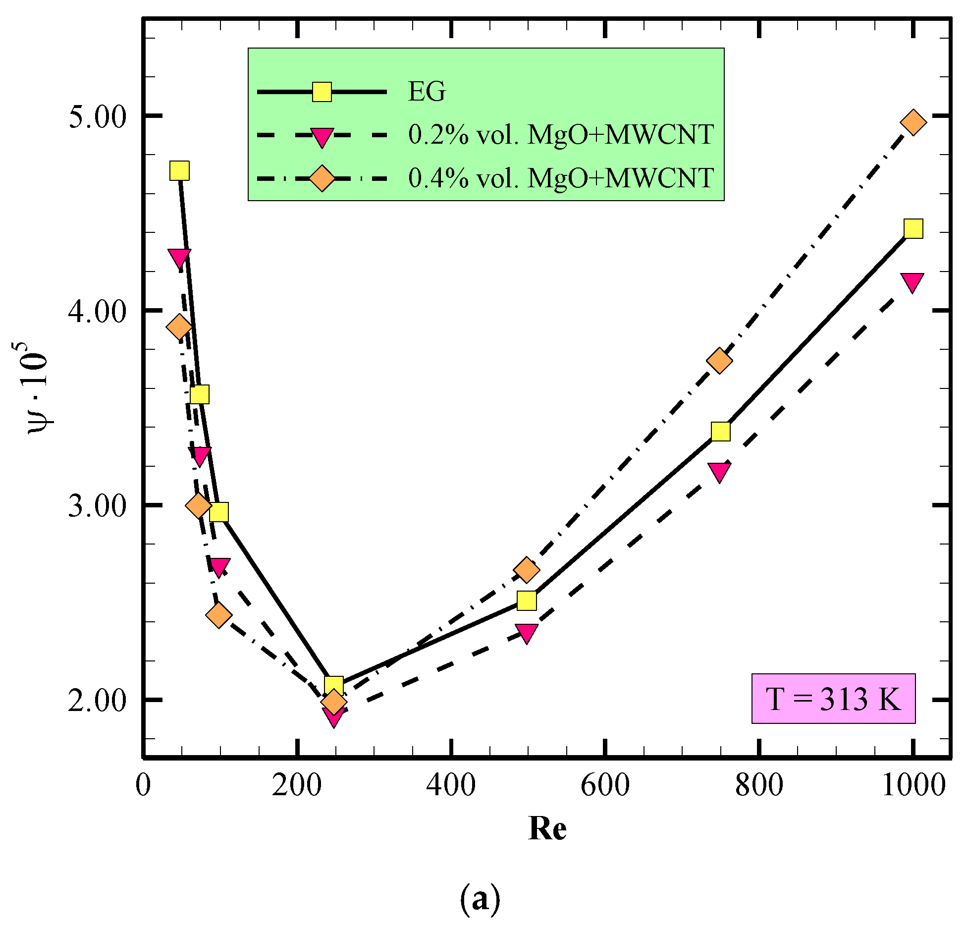
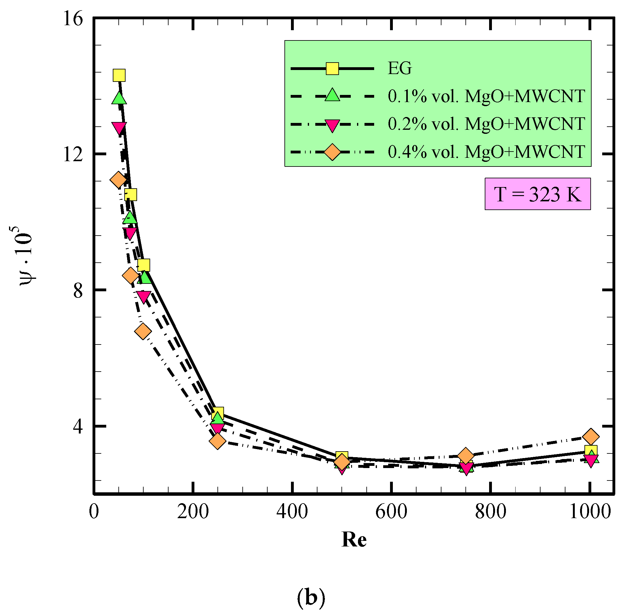
3.5. The Effects of Hybrid Nanofluid with Various Volume Fractions on Hydraulic Power at Various Re and Selected Inlet Temperature
3.6. The Effects of Hybrid Nanofluid with Various Volume Fractions on Pressure Reduction on Thermal Entropy Generation at Various Re and Selected Inlet Temperature
3.7. The Influence of Hybrid Nanofluid with Various Volume Fractions on Dimensionless Entropy at Various Re and Selected Inlet Temperature
4. Conclusions
- (i)
- At T = 323K, the use of the EG/MgO-MWCNT NHF with a VF of 0.4% leads to higher Nu in comparison with the base fluid for all Re. However, at this temperature, the use of the EG/MgO-MWCNT HNF with a VF of 0.1% and 0.2% is more appropriate at very low Re.
- (ii)
- As the Re increases, the pumping power increases. The value of pumping power for the EG/MgO-MWCNT HNF with a volume fraction of 0.4% is more than that for other cases at all Re.
- (iii)
- Higher temperatures lead to larger PD. EG/MgO-MWCNT HNF with a volume fraction of 0.4% has less PD compared to the other HNF with a lower VF.
- (iv)
- Thermal entropy generation reduces and frictional entropy generation increases with the VF of NPs and fluid velocity (Re).
- (v)
- Since irreversible HT is the cause of increase in thermal entropy, the variations of are more important at lower Re.
- (vi)
- The EG/MgO-MWCNT HNF with a VF of 0.4% is introduced as the optimum case among all studied ones.
Author Contributions
Funding
Institutional Review Board Statement
Informed Consent Statement
Acknowledgments
Conflicts of Interest
Nomenclature
| Symbols | |
| Specific heat (J/kgK) | |
| f | Friction factor |
| Thermal conductivity (W/mK) | |
| P | Pressure (Pa) |
| T | Temperature (K) |
| V | Velocity |
| Greek Symbols | |
| Dynamic viscosity (mPa.s) | |
| Density (m3/kg) | |
| η | Efficiency |
| Subscriptions | |
| np | Nanoparticle |
| nf | Nanofluid |
| Abbreviations | |
| HNF | Hybrid nanofluid |
| Re | Reynolds numbers |
| HE | Heat exchanger |
| Nu | Nusselt number |
| VF | Volume fraction |
| HT | Heat transfer |
| NFs | Nanofluids |
| PD | Pressure drop |
| NPs | Nanoparticles |
| f | Friction factor |
References
- Bhattacharyya, S.; Bashir, A.I.; Dey, K.; Sarkar, R. Effect of novel short-length wavy-tape turbulators on fluid flow and heat transfer: Experimental study. J. Therm. Energy Gener. Transp. Storage Convers. 2019, 33, 335–354. [Google Scholar] [CrossRef]
- Bhattacharyya, S.; Chattopadhyay, H.; Pal, T.K.; Roy, A. Numerical investigation of thermohydraulics performance in elliptical twisted duct heat exchanger. Lect. Notes Mech. Eng. 2016, 839–849. [Google Scholar] [CrossRef]
- Bhattacharyya, S.; Chattopadhyay, H.; Benim, A.C. Simulation of heat transfer enhancement in tube flow with twisted tape insert. Prog. Comput. Fluid Dyn. 2017, 17, 193–197. [Google Scholar] [CrossRef]
- Nadooshan, A.A.; Kalbasi, R.; Afrand, M. Perforated fins effect on the heat transfer rate from a circular tube by using wind tunnel: An experimental view. Heat Mass Transf. 2018, 54, 3047–3057. [Google Scholar] [CrossRef]
- Gupta, M.; Singh, V.; Kumar, R.; Said, Z. A review on thermophysical properties of nanofluids and heat transfer applications. Renew. Sustain. Energy Rev. 2017, 74, 638–670. [Google Scholar] [CrossRef]
- Bhattacharyya, S.; Vishwakarma, D.K.; Goel, V.; Chamoli, S.; Issakhov, A.; Meyer, J.P. Thermodynamics and heat transfer study of a circular tube embedded with novel perforated angular-cut alternate segmental baffles. J. Therm. Anal. Calorim. 2021, 145, 1445–1465. [Google Scholar] [CrossRef]
- Bhattacharyya, S.; Saha, S.; Saha, S.K. Laminar flow heat transfer enhancement in a circular tube having integral transverse rib roughness and fitted with centre-cleared twisted-tape. Exp. Therm. Fluid Sci. 2013, 44, 727–735. [Google Scholar] [CrossRef]
- Bhattacharyya, S.; Raghavendran, H.; Paul, A.R. The effect of circular hole spring tape on the turbulent heat transfer and entropy analysis in a heat exchanger tube: An experimental study. Exp. Heat Transf. 2020, 34, 493–512. [Google Scholar] [CrossRef]
- Menni, Y.; Ghazvini, M.; Ameur, H.; Kim, M.; Ahmadi, M.H.; Sharifpur, M. Combination of baffling technique and high-thermal conductivity fluids to enhance the overall performances of solar channels. Eng. Comput. 2020, 1, 1–22. [Google Scholar] [CrossRef]
- Osman, S.; Sharifpur, M.; Meyer, J.P. Experimental investigation of convection heat transfer in the transition flow regime of aluminium oxide-water nanofluids in a rectangular channel. Int. J. Heat Mass Transf. 2019, 133, 895–902. [Google Scholar] [CrossRef]
- Menni, Y.; Ameur, H.; Sharifpur, M.; Ahmadi, M.H. Effects of in-line deflectors on the overall performance of a channel heat exchanger. Eng. Appl. Comput. Fluid Mech. 2021, 15, 512–529. [Google Scholar] [CrossRef]
- Saifi, H.; Sari, M.R.; Kezzar, M.; Ghazvini, M.; Sharifpur, M.; Sadeghzadeh, M. Heat transfer through converging-diverging channels using Adomian decomposition method. Eng. Appl. Comput. Fluid Mech. 2020, 14, 1373–1384. [Google Scholar] [CrossRef]
- Afrand, M.; Karimipour, A.; Nadooshan, A.A.; Akbari, M. The variations of heat transfer and slip velocity of FMWNT-water nano-fluid along the micro-channel in the lack and presence of a magnetic field. Phys. E Low-Dimens. Syst. Nanostruct. 2016, 84, 474–481. [Google Scholar] [CrossRef]
- Singh, S.K.; Bhattacharyya, S.; Paul, A.R.; Sharifpur, M.; Meyer, J.P. Augmentation of heat transfer in a microtube and a wavy microchannel using hybrid nanofluid: A numerical investigation. Math. Methods Appl. Sci. 2020. [Google Scholar] [CrossRef]
- Vo, D.D.; Alsarraf, J.; Moradikazerouni, A.; Afrand, M.; Salehipour, H.; Qi, C. Numerical investigation of γ-AlOOH nano-fluid convection performance in a wavy channel considering various shapes of nanoadditives. Powder Technol. 2019, 345, 649–657. [Google Scholar] [CrossRef]
- Yan, S.-R.; Kalbasi, R.; Karimipour, A.; Afrand, M. Improving the thermal conductivity of paraffin by incorporating MWCNTs nanoparticles. J. Therm. Anal. Calorim. 2020, 145, 2809–2816. [Google Scholar] [CrossRef]
- Parsa, S.M.; Rahbar, A.; Koleini, M.H.; Javadi, Y.D.; Afrand, M.; Rostami, S.; Amidpour, M. First approach on nanofluid-based solar still in high altitude for water desalination and solar water disinfection (SODIS). Desalination 2020, 491, 114592. [Google Scholar] [CrossRef]
- Giwa, S.O.; Sharifpur, M.; Ahmadi, M.H.; Murshed, S.M.S.; Meyer, J.P. Experimental investigation on stability, viscosity, and electrical conductivity of water-based hybrid nanofluid of MWCNT-Fe2O3. Nanomaterials 2021, 11, 136. [Google Scholar] [CrossRef]
- Parsa, S.M.; Rahbar, A.; Javadi, Y.D.; Koleini, M.H.; Afrand, M.; Amidpour, M. Energy-matrices, exergy, economic, environmental, exergoeconomic, enviroeconomic, and heat transfer (6E/HT) analysis of two passive/active solar still water desalination nearly 4000m: Altitude concept. J. Clean. Prod. 2020, 261, 121243. [Google Scholar] [CrossRef]
- Parsa, S.M.; Yazdani, A.; Dhahad, H.; Alawee, W.H.; Hesabi, S.; Norozpour, F.; Javadi, Y.D.; Ali, H.M.; Afrand, M. Effect of Ag, Au, TiO2 metallic/metal oxide nanoparticles in double-slope solar stills via thermodynamic and environmental analysis. J. Clean. Prod. 2021, 311, 127689. [Google Scholar] [CrossRef]
- Parsa, S.M. Reliability of thermal desalination (solar stills) for water/wastewater treatment in light of COVID-19 (novel coronavirus “SARS-CoV-2”) pandemic: What should consider? Desalination 2021, 512, 115106. [Google Scholar] [CrossRef]
- Tian, X.X.; Kalbasi, R.; Jahanshahi, R.; Qi, C.; Huang, H.L.; Rostami, S. Competition between intermolecular forces of adhesion and cohesion in the presence of graphene nanoparticles: Investigation of graphene nanosheets/ethylene glycol surface tension. J. Mol. Liq. 2020, 311, 113329. [Google Scholar] [CrossRef]
- Tshimanga, N.; Sharifpur, M.; Meyer, J.P. Experimental investigation and model development for thermal conductivity of glycerol–MgO nanofluids. Heat Transf. Eng. 2016, 37, 1538–1553. [Google Scholar] [CrossRef]
- Rostami, S.; Kalbasi, R.; Talebkeikhah, M.; Goldanlou, A.S. Improving the thermal conductivity of ethylene glycol by addition of hybrid nano-materials containing multi-walled carbon nanotubes and titanium dioxide: Applicable for cooling and heating. J. Therm. Anal. Calorim. 2020, 143, 1701–1712. [Google Scholar] [CrossRef]
- Wei, H.; Afrand, M.; Kalbasi, R.; Ali, H.M.; Heidarshenas, B.; Rostami, S. The effect of tungsten trioxide nanoparticles on the thermal conductivity of ethylene glycol under different sonication durations: An experimental examination. Powder Technol. 2020, 374, 462–469. [Google Scholar] [CrossRef]
- Ibrahim, M.; Saeed, T.; Chu, Y.M.; Ali, H.M.; Cheraghian, G.; Kalbasi, R. Comprehensive study concerned graphene nano-sheets dispersed in ethylene glycol: Experimental study and theoretical prediction of thermal conductivity. Powder Technol. 2021, 386, 51–59. [Google Scholar] [CrossRef]
- Parsa, S.M.; Rahbar, A.; Koleini, M.H.; Aberoumand, S.; Afrand, M.; Amidpour, M. A renewable energy-driven thermoelectric-utilized solar still with external condenser loaded by silver/nanofluid for simultaneously water disinfection and desalination. Desalination 2020, 480, 114354. [Google Scholar] [CrossRef]
- Giwa, S.O.; Sharifpur, M.; Ahmadi, M.H.; Meyer, J.P. Magnetohydrodynamic convection behaviours of nanofluids in non-square enclosures: A comprehensive review. Math. Methods Appl. Sci. 2020. [Google Scholar] [CrossRef]
- Santra, S.; Sen, D.; Das, S.; Chakraborty, S. Electrohydrodynamic interaction between droplet pairs in a confined shear flow. Phys. Fluids 2019, 31, 032005. [Google Scholar] [CrossRef]
- Li, X.; Gong, W.; Wang, H.; Li, T.; Attri, K.S.; Lewis, R.E.; Kalil, A.C.; Bhinderwala, F.; Powers, R.; Yin, G.; et al. O-GlcNAc transferase suppresses inflammation and necroptosis by targeting receptor-interacting serine/threonine-protein kinase 3. Immunity 2019, 50, 576–590. [Google Scholar] [CrossRef]
- Buonomo, B.; Manca, O.; Bondareva, N.S.; Sheremet, M.A. Thermal and fluid dynamic behaviors of confined slot jets impinging on an isothermal moving surface with nanofluids. Energies 2019, 12, 2074. [Google Scholar] [CrossRef]
- Mohammed, H.A.; Al-Shamani, A.N.; Sheriff, J.M. Thermal and hydraulic characteristics of turbulent nanofluids flow in a rib–groove channel. Int. Commun. Heat Mass Transf. 2012, 39, 1584–1594. [Google Scholar] [CrossRef]
- Heidary, H.; Kermani, M.J.; Dabir, B. Influences of bipolar plate channel blockages on PEM fuel cell performances. Energy Convers. Manag. 2016, 124, 51–60. [Google Scholar] [CrossRef]
- Ahmed, M.A.; Shuaib, N.H.; Yusoff, M.Z.; Al-Falahi, A.H. Numerical investigations of flow and heat transfer enhancement in a corrugated channel using nanofluid. Int. Commun. Heat Mass Transf. 2011, 38, 1368–1375. [Google Scholar] [CrossRef]
- Ahmed, M.A.; Shuaib, N.H.; Yusoff, M.Z. Numerical investigations on the heat transfer enhancement in a wavy channel using nanofluid. Int. J. Heat Mass Transf. 2012, 55, 5891–5898. [Google Scholar] [CrossRef]
- Ahmed, M.A.; Yusoff, M.Z.; Shuaib, N.H. Effects of geometrical parameters on the flow and heat transfer characteristics in trapezoidal-corrugated channel using nanofluid. Int. Commun. Heat Mass Transf. 2013, 42, 69–74. [Google Scholar] [CrossRef]
- Arani, A.A.A.; Sadripour, S.; Kermani, S. Nanoparticle shape effects on thermal-hydraulic performance of boehmite alumina nanofluids in a sinusoidal–wavy mini-channel with phase shift and variable wavelength. Int. J. Mech. Sci. 2017, 128–129, 550–563. [Google Scholar] [CrossRef]
- Sadripour, S.; Ghorashi, S.A.; Estajloo, M. Numerical investigation of a cavity equipped with corrugated heat source: A full convection-conduction-radiation coupling. Am. J. Aerosp. Eng. 2017, 4, 27–37. [Google Scholar] [CrossRef][Green Version]
- Hung, Y.M. Analytical study on forced convection of nanofluids with viscous dissipation in microchannels. Heat Transf. Eng. 2010, 31, 1184–1192. [Google Scholar] [CrossRef]
- Torii, S.; Satou, Y.; Koito, Y. Experimental study on convective thermal-fluid flow transport phenomena in circular tube using nanofluids. Int. J. Green Energy 2010, 7, 289–299. [Google Scholar] [CrossRef]
- Mohammed, H.A.; Bhaskaran, G.; Shuaib, N.H.; Abu-Mulaweh, H.I. Influence of nanofluids on parallel flow square microchannel heat exchanger performance. Int. Commun. Heat Mass Transf. 2011, 38, 1–9. [Google Scholar] [CrossRef]
- Asha, S.K.; Deepa, C.K. Entropy generation for peristaltic blood flow of a magneto-micropolar fluid with thermal radiation in a tapered asymmetric channel. Results Eng. 2019, 3, 100024. [Google Scholar] [CrossRef]
- Shi, X.; Wang, Y.; Huai, X.; Cheng, K. Influence of geometrical parameters on thermal-hydraulic performance and entropy generation in cross-wavy channels with variable air properties. Appl. Therm. Eng. 2019, 157, 113714. [Google Scholar] [CrossRef]
- Gul, A.; Khan, I.; Makhanov, S.S. Entropy generation in a mixed convection Poiseulle flow of molybdenum disulphide Jeffrey nanofluid. Results Phys. 2018, 9, 947–954. [Google Scholar] [CrossRef]
- Dormohammadi, R.; Farzaneh-Gord, M.; Ebrahimi-Moghadam, A.; Ahmadi, M.H. Heat transfer and entropy generation of the nanofluid flow inside sinusoidal wavy channels. J. Mol. Liq. 2018, 269, 229–240. [Google Scholar] [CrossRef]
- Qian, X.; Yang, Y.; Lee, S.W. Design and evaluation of the lab-scale shell and tube heat exchanger (STHE) for poultry litter to energy production. Processes 2020, 8, 500. [Google Scholar] [CrossRef]
- Ibrahim, H.; Sazali, N.; Shah, A.S.M.; Karim, M.S.A.; Aziz, F.; Salleh, W.N.W. A review on factors affecting heat transfer efficiency of nanofluids for application in plate heat exchanger. J. Adv. Res. Fluid Mech. Therm. Sci. 2019, 60, 144–154. [Google Scholar]
- Qian, X.; Lee, S.W.; Yang, Y. Heat transfer coefficient estimation and performance evaluation of shell and tube heat exchanger using flue gas. Processes 2021, 9, 939. [Google Scholar] [CrossRef]
- Nourollahi, M.; Farhadi, M.; Sedighi, K. Numerical study of mixed convection and entropy generation in the Poiseulle-Benard channel in different angles. Therm. Sci. 2010, 14, 329–340. [Google Scholar] [CrossRef]
- Borgnakke, C.; Sonntag, R.E. Fundamentals of Thermodynamics, 7th ed.; Wiley: Hoboken, NJ, USA, 2009. [Google Scholar]
- Bohne, D.; Fischer, S.; Obermeier, E. Thermal, conductivity, density, viscosity, and prandtl-numbers of ethylene glycol-water mixtures. Ber. Der Bunsenges. Für Phys. Chem. 1984, 88, 739–742. [Google Scholar] [CrossRef]
- Yu, W.; France, D.M.; Smith, D.S.; Singh, D.; Timofeeva, E.V.; Routbort, J.L. Heat transfer to a silicon carbide/water nanofluid. Int. J. Heat Mass Transf. 2009, 52, 3606–3612. [Google Scholar] [CrossRef]
- Launder, B.E.; Spalding, D.B. Mathematical Models of Turbulence; Academic Press: New York, NY, USA, 1972. [Google Scholar]
- Patankar, S.V. Numerical Heat Transfer and Fluid Flow; Taylor & Francis Group: Abingdon, UK, 1980. [Google Scholar]
- Anderson, J.D. Computational Fluid Dynamics; McGraw-Hill: New York, NY, USA, 1995. [Google Scholar]
- Çengel, A.Y. Heat Transfer—A Practical Approach, 2nd ed. 2008. Available online: https://pdfroom.com/books/heat-transfer-a-practical-approach/3Jr2ExbgyvL (accessed on 20 February 2021).
- Huminic, G.; Huminic, A. The influence of hybrid nanofluids on the performances of elliptical tube: Recent research and numerical study. Int. J. Heat Mass Transf. 2019, 129, 132–143. [Google Scholar] [CrossRef]





















| Parameter | Value |
|---|---|
| Minor axis, b | 0.73 mm |
| Major axis, a | 1.42 mm |
| Corrugation diameter, CD | 0.04 mm |
| Hydraulic diameter, Dh = 4A/P | 1.25 mm |
| Length, L | 500 m |
| Elliptical Tube | Circular Tube |
|---|---|
| Nu | |
| Nu = A’ +B’Re (4) | Nu = A +BRe + CRe2 (5) |
| Thermal resistance coefficient | |
| In(100f) = a’ + b’ lnRe + c’(ln Re)2 (6) | In(100f) = w + r lnRe + z(ln Re)2 (7) |
| Weight Concentrations (%) | Needed Coefficients | |||
|---|---|---|---|---|
| 0.5 | 0.3 | 0.1 | 0.0 | |
| −17.43407 | −17.57942 | −19.76301 | −7.79878 | A |
| 0.0144 | 0.01414 | 0.0144 | 0.01062 | B |
| C | ||||
| A’ | ||||
| B’ | ||||
| Friction Coefficients | Needed Coefficients |
|---|---|
| Equation | Eq. No. |
|---|---|
| (8) | |
| (9) | |
| (10) | |
| (11) | |
| (12) |
| Equation | Eq. No. |
|---|---|
| (13) | |
| (14) | |
| (15) | |
| (16) | |
| (17) | |
| (18) | |
| (19) | |
| (20) | |
| (21) | |
| (22) |
| Parameter | Value | ||
|---|---|---|---|
| Ethylene Glycol (EG) | Multiwalled Carbon Nanotubes | Magnesium Oxide Nanoparticles | |
| Chemical Formula/Symbol | C2H6O2 | COOH-Functionalized MWCNTs | MgO |
| Molar mass | 62.07 (g/mol) | 40.30 (g/mol) | |
| Appearance | Clear, colorless liquid | Black | White |
| Odor | Odorless | - | - |
| Density | 1113.2 (kg/m3) | ~2100 (kg/m3) | 3580 (kg/m3) |
| Specific heat capacity | 2470 (J/kg·K) | 630 (W/m·K) | 964 (W/m·K) |
| Melting point | −12.9 (°C) | - | - |
| Boiling point | 197.3 (°C) | - | - |
| Thermal conductivity (@20 °C) | 0.244 (W/m·K) | 50 (W/m·K) | 45 (W/m·K) |
| Viscosity (@20 °C) | 0.016 (Pa.s) | - | - |
| Purity | - | >97% | >99% |
| Content of –COOH | - | 2.56 (wt%) | |
| Outer diameter | - | 5–15 (nm) | 40 (nm) |
| Inner diameter | - | 3–5 (nm) | - |
| Length | - | ~50 (μm) | - |
| SSA | - | >233 (m2/g) | ~25 (m2/g) |
| Morphology | - | - | polyhedral |
| Temperature | 313 K | 323 K | ||||||
|---|---|---|---|---|---|---|---|---|
| EG | 0.1% | 0.2% | 0.4% | EG | 0.1% | 0.2% | 0.4% | |
| (W/m K) | 0.255 | 0.270 | 0.284 | 0.294 | 0.258 | 0.273 | 0.286 | 0.296 |
| (Pa.s) | 0.0102 | 0.0095 | 0.01005 | 0.0111 | 0.00745 | 0.0075 | 0.00755 | 0.0088 |
Publisher’s Note: MDPI stays neutral with regard to jurisdictional claims in published maps and institutional affiliations. |
© 2021 by the authors. Licensee MDPI, Basel, Switzerland. This article is an open access article distributed under the terms and conditions of the Creative Commons Attribution (CC BY) license (https://creativecommons.org/licenses/by/4.0/).
Share and Cite
Khetib, Y.; Abo-Dief, H.M.; Alanazi, A.K.; Said, Z.; Memon, S.; Bhattacharyya, S.; Sharifpur, M. The Influence of Forced Convective Heat Transfer on Hybrid Nanofluid Flow in a Heat Exchanger with Elliptical Corrugated Tubes: Numerical Analyses and Optimization. Appl. Sci. 2022, 12, 2780. https://doi.org/10.3390/app12062780
Khetib Y, Abo-Dief HM, Alanazi AK, Said Z, Memon S, Bhattacharyya S, Sharifpur M. The Influence of Forced Convective Heat Transfer on Hybrid Nanofluid Flow in a Heat Exchanger with Elliptical Corrugated Tubes: Numerical Analyses and Optimization. Applied Sciences. 2022; 12(6):2780. https://doi.org/10.3390/app12062780
Chicago/Turabian StyleKhetib, Yacine, Hala M. Abo-Dief, Abdullah K. Alanazi, Zafar Said, Saim Memon, Suvanjan Bhattacharyya, and Mohsen Sharifpur. 2022. "The Influence of Forced Convective Heat Transfer on Hybrid Nanofluid Flow in a Heat Exchanger with Elliptical Corrugated Tubes: Numerical Analyses and Optimization" Applied Sciences 12, no. 6: 2780. https://doi.org/10.3390/app12062780
APA StyleKhetib, Y., Abo-Dief, H. M., Alanazi, A. K., Said, Z., Memon, S., Bhattacharyya, S., & Sharifpur, M. (2022). The Influence of Forced Convective Heat Transfer on Hybrid Nanofluid Flow in a Heat Exchanger with Elliptical Corrugated Tubes: Numerical Analyses and Optimization. Applied Sciences, 12(6), 2780. https://doi.org/10.3390/app12062780

