Analyzing Dynamic Operational Conditions of Limb Prosthetic Sockets with a Mechatronics-Twin Framework
Abstract
1. Introduction
2. Mechatronics-Twin Framework for Prosthetic Sockets
3. Related Work
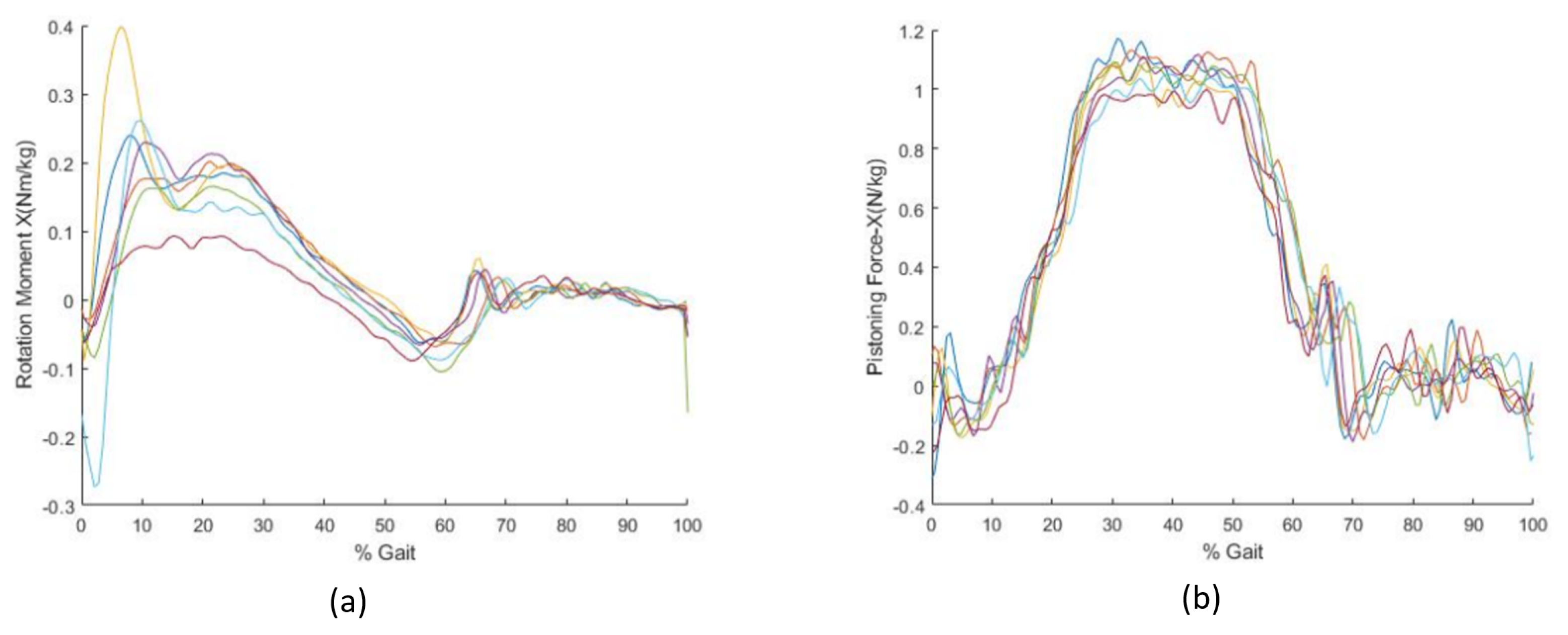
4. Modeling and Simulation of Overall Operational Conditions
5. Physical Prototyping and Dynamic Testing by Stewart Platform
6. Sensor Data Acquisition and Collection
6.1. Sensor Data Acquisition by AE
| Algorithm 1: Training and using AE for sensor data treatment. |
Result: Input: Train signals (voltage) , test data , Ground truth for trainset . AE Training Mode for Sensor Calibration: AE Operation Mode: |
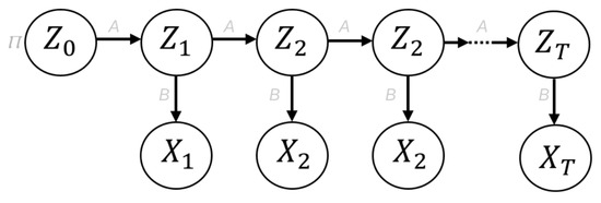
6.2. Sensor Data Collection by HMM
| Algorithm 2: Training HMM-based cluster model for the description of reference operation. |
Result: Input: , K fordo end Note: N refers to the number of discretized states for the load conditions; k is one of the K number of temporal clusters; is the data set from comfortable socket usage; refers to the that is labeled as Comfort. It is derived from the HMM model trained with for the same data set ; refers to the for a . |
7. Operation Condition Analysis and Anomaly Detection
| Algorithm 3: Detecting anomalous operational conditions using HMM-based cluster model. |
![]() |
8. Case Study and Results
9. Conclusions
Author Contributions
Funding
Acknowledgments
Conflicts of Interest
References
- The O&P EDGE and the Amputee Coalition. Amputee Patient Comfort and Compliance. inMotion 2021, 21, 5. [Google Scholar]
- Mijailovic, N.; Gavrilovic, M.; Rafajlovic, S.; Ðuric-Jovicic, M.; Popovic, D. Gait phases recognition from accelerations and ground reaction forces: Application of neural networks. Telfor J. 2009, 1, 34–36. [Google Scholar]
- Paternò, L.; Ibrahimi, M.; Gruppioni, E.; Menciassi, A.; Ricotti, L. Sockets for limb prostheses: A review of existing technologies and open challenges. IEEE Trans. Biomed. Eng. 2018, 65, 1996–2010. [Google Scholar] [CrossRef]
- Engsberg, J.; Springer, J.; Harder, J. Quantifying interface pressures in below-knee-amputee sockets. J. Assoc. Child. Prosthet.-Orthotic Clin. 1992, 27, 81–88. [Google Scholar]
- Silver-Thorn, B.; Steege, J.W.; Childress, D.S. A review of prosthetic interface stress investigations. J. Rehabil. Res. Dev. 1996, 33, 253–266. [Google Scholar]
- Eby, S.F.; Song, P.; Chen, S.; Chen, Q.; Greenleaf, J.F.; An, K.N. Validation of shear wave elastography in skeletal muscle. J. Biomech. 2013, 46, 2381–2387. [Google Scholar] [CrossRef]
- Liu, H.; Sangpradit, K.; Li, M.; Dasgupta, P.; Althoefer, K.; Seneviratne, L.D. Inverse finite-element modeling for tissue parameter identification using a rolling indentation probe. Med. Biol. Eng. Comput. 2014, 52, 17–28. [Google Scholar] [CrossRef] [PubMed]
- Hopcroft, J.E.; Motwani, R.; Ullman, J.D. Introduction to automata theory, languages, and computation. ACM Sigact News 2001, 32, 60–65. [Google Scholar] [CrossRef]
- Gagniuc, P.A. Markov Chains: From Theory to Implementation and Experimentation; John Wiley & Sons: Hoboken, NJ, USA, 2017. [Google Scholar]
- Geng, Y.; Yang, P.; Xu, X.; Chen, L. Design and simulation of active transfemoral prosthesis. In Proceedings of the 24th Chinese Control and Decision Conference (CCDC), Taiyuan, China, 23–25 May 2012; IEEE: Piscataway, NJ, USA, 2012; pp. 3724–3728. [Google Scholar]
- Lee, V.; Solomonidis, S.; Spence, W. Stump-socket interface pressure as an aid to socket design in prostheses for trans-femoral amputees—A preliminary study. Proc. Inst. Mech. Eng. Part H J. Eng. Med. 1997, 211, 167–180. [Google Scholar] [CrossRef] [PubMed]
- Neumann, E.S.; Wong, J.S.; Drollinger, R.L. Concepts of pressure in an ischial containment socket: Measurement. J. Prosthet. Orthot. 2005, 17, 2–11. [Google Scholar] [CrossRef]
- Kahle, J.T.; Highsmith, M.J. Transfemoral interfaces with vacuum assisted suspension comparison of gait, balance, and subjective analysis: Ischial containment versus brimless. Gait Posture 2014, 40, 315–320. [Google Scholar] [CrossRef]
- Laszczak, P.; Mcgrath, M.; Tang, J.; Gao, J.; Jiang, L.; Bader, D.; Moser, D.; Zahedi, S. A pressure and shear sensor system for stress measurement at lower limb residuum/socket interface. Med. Eng. Phys. 2016, 38, 695–700. [Google Scholar] [CrossRef]
- Mak, A.F.; Zhang, M.; Boone, D.A. State-of-the-art research in lower-limb prosthetic biomechanics. J. Rehabil. Res. Dev. 2001, 38, 161–174. [Google Scholar]
- Travis, R.; Dewar, M. Computer-aided socket design for trans-femoral amputees. Prosthet. Orthot. Int. 1993, 17, 172–179. [Google Scholar] [CrossRef][Green Version]
- Colombo, G.; Facoetti, G.; Rizzi, C. A digital patient for computer-aided prosthesis design. Interface Focus 2013, 3, 20120082. [Google Scholar] [CrossRef]
- Frillici, F.S.; Rotini, F. Prosthesis socket design through shape optimization. Comput.-Aided Des. Appl. 2013, 10, 863–876. [Google Scholar] [CrossRef]
- Ramasamy, E.; Avci, O.; Dorow, B.; Chong, S.Y.; Gizzi, L.; Steidle, G.; Schick, F.; Röhrle, O. An efficient modelling-simulation-analysis workflow to investigate stump-socket interaction using patient-specific, three-dimensional, continuum-mechanical, finite element residual limb models. Front. Bioeng. Biotechnol. 2018, 6, 126. [Google Scholar] [CrossRef]
- Paternò, L.; Dhokia, V.; Menciassi, A.; Bilzon, J.; Seminati, E. A personalised prosthetic liner with embedded sensor technology: A case study. Biomed. Eng. Online 2020, 19, 1–20. [Google Scholar] [CrossRef] [PubMed]
- Hopkins, M.; Vaidyanathan, R.; Mcgregor, A.H. Examination of the performance characteristics of velostat as an in-socket pressure sensor. IEEE Sens. J. 2020, 20, 6992–7000. [Google Scholar] [CrossRef]
- Jamaludin, M.S. Dynamic Analysis of Transfemoral Prosthesis Function Using Finite Element Method. 2020. Available online: https://www.shibaura-it.ac.jp/albums/abm.php?d=1415&f=abm00010339.pdf&n=9.Thesis_Abstract_Syahmi.pdf (accessed on 23 November 2021).
- Henao, S.C.; Orozco, C.; Ramírez, J. Influence of gait cycle loads on stress distribution at the residual limb/socket interface of transfemoral amputees: A finite element analysis. Sci. Rep. 2020, 10, 1–11. [Google Scholar] [CrossRef] [PubMed]
- Ballit, A.; Mougharbel, I.; Ghaziri, H.; Dao, T.T. Fast soft tissue deformation and stump-socket interaction toward a computer-aided design system for lower limb prostheses. Irbm 2020, 41, 276–285. [Google Scholar] [CrossRef]
- Boschert, S.; Rosen, R. Digital twin—The Simulation Aspect. In Mechatronic Futures; Springer: Berlin/Heidelberg, Germany, 2016; pp. 59–74. [Google Scholar]
- Dejke, V.; Eng, M.P.; Brinkfeldt, K.; Charnley, J.; Lussey, D.; Lussey, C. Development of Prototype Low-Cost QTSS™ Wearable Flexible More Enviro-Friendly Pressure, Shear, and Friction Sensors for Dynamic Prosthetic Fit Monitoring. Sensors 2021, 21, 3764. [Google Scholar] [CrossRef]
- Bao, M.H. Micro Mechanical Transducers: Pressure Sensors, Accelerometers and Gyroscopes; Elsevier: Amsterdam, The Netherlands, 2000. [Google Scholar]
- Dabling, J.G.; Filatov, A.; Wheeler, J.W. Static and cyclic performance evaluation of sensors for human interface pressure measurement. In Proceedings of the 2012 Annual International Conference of the IEEE Engineering in Medicine and Biology Society, San Diego, CA, USA, 28 August–1 September 2012; IEEE: Piscataway, NJ, USA, 2012; pp. 162–165. [Google Scholar]
- Hollinger, A.; Wanderley, M.M. Evaluation of commercial force-sensing resistors. In Proceedings of the International Conference on New Interfaces for Musical Expression, Paris, France, 4–8 June 2006; Citeseer: Philadelphia, PA, USA, 2006; pp. 4–8. [Google Scholar]
- Buis, A.; Convery, P. Calibration problems encountered while monitoring stump/socket interface pressures with force sensing resistors: Techniques adopted to minimise inaccuracies. Prosthet. Orthot. Int. 1997, 21, 179–182. [Google Scholar] [CrossRef] [PubMed]
- Polliack, A.; Sieh, R.; Craig, D.; Landsberger, S.; McNeil, D.; Ayyappa, E. Scientific validation of two commercial pressure sensor systems for prosthetic socket fit. Prosthet. Orthot. Int. 2000, 24, 63–73. [Google Scholar] [CrossRef]
- Khodasevych, I.; Parmar, S.; Troynikov, O. Flexible sensors for pressure therapy: Effect of substrate curvature and stiffness on sensor performance. Sensors 2017, 17, 2399. [Google Scholar] [CrossRef]
- Elfes, A. A stochastic spatial representation for Active Robot Perception. In Proceedings of the Sixth Conference on Uncertainty and Al, AAAI, Cambridge, MA, USA, 27–29 July 1990. [Google Scholar]
- Bessiere, P.; Dedieu, E.; Mazer, E. Representing Robot/Environment interactions using probabilities: The “Beam in the Bin” experiment. In Proceedings of the PerAc’94, from Perception to Action, Lausanne, Switzerland, 7–9 September 1994; IEEE: Piscataway, NJ, USA, 1994; pp. 158–169. [Google Scholar]
- Burgard, W.; Fox, D.; Hennig, D.; Schmidt, T. Estimating the absolute position of a mobile robot using position probability grids. In Proceedings of the National Conference on Artificial Intelligence, Portland, OR, USA, 4–8 August 1996; pp. 896–901. [Google Scholar]
- Thrun, S. Learning occupancy grid maps with forward sensor models. Auton. Robot. 2003, 15, 111–127. [Google Scholar] [CrossRef]
- Muller, J.; Rottmann, A.; Reindl, L.M.; Burgard, W. A probabilistic sonar sensor model for robust localization of a small-size blimp in indoor environments using a particle filter. In Proceedings of the 2009 IEEE International Conference on Robotics and Automation, Kobe, Japan, 12–17 May 2009; IEEE: Piscataway, NJ, USA, 2009; pp. 3589–3594. [Google Scholar]
- Vincent, P.; Larochelle, H.; Lajoie, I.; Bengio, Y.; Manzagol, P.A.; Bottou, L. Stacked denoising autoencoders: Learning useful representations in a deep network with a local denoising criterion. J. Mach. Learn. Res. 2010, 11, 3371–3408. [Google Scholar]
- Hinton, G.E.; Krizhevsky, A.; Wang, S.D. Transforming auto-encoders. In Proceedings of the International Conference on Artificial Neural Networks, Bratislava, Slovakia, 14–17 September 2021; Springer: Berlin/Heidelberg, Germany, 2011; pp. 44–51. [Google Scholar]
- Thirukovalluru, R.; Dixit, S.; Sevakula, R.K.; Verma, N.K.; Salour, A. Generating feature sets for fault diagnosis using denoising stacked auto-encoder. In Proceedings of the 2016 IEEE International Conference on Prognostics and Health Management (ICPHM), Ottawa, ON, Canada, 20–22 June 2016; IEEE: Piscataway, NJ, USA, 2016; pp. 1–7. [Google Scholar]
- Franklin, J. The elements of statistical learning: Data mining, inference and prediction. Math. Intell. 2005, 27, 83–85. [Google Scholar] [CrossRef]
- Brockwell, P.J.; Davis, R.A. Time Series: Theory and Methods; Springer Science & Business Media: Berlin/Heidelberg, Germany, 2009. [Google Scholar]
- Rumelhart, D.E.; Hinton, G.E.; Williams, R.J. Learning Internal Representations by Error Propagation; Rumelhart, D.E., McClelland, J.L., PDP Research Group, Eds.; Parallel Distributed Processing: Explorations in the Microstructure of Cognition; MIT Press: Cambridge, MA, USA, 1986; Volume 1, pp. 318–362. [Google Scholar]
- Hochreiter, S.; Schmidhuber, J. Long short-term memory. Neural Comput. 1997, 9, 1735–1780. [Google Scholar] [CrossRef]
- Cho, K.; Van Merriënboer, B.; Gulcehre, C.; Bahdanau, D.; Bougares, F.; Schwenk, H.; Bengio, Y. Learning phrase representations using RNN encoder-decoder for statistical machine translation. arXiv 2014, arXiv:1406.1078. [Google Scholar]
- Anzai, Y. Pattern Recognition and Machine Learning; Elsevier: Amsterdam, The Netherlands, 2012. [Google Scholar]
- Liu, D.X.; Wu, X.; Du, W.; Wang, C.; Xu, T. Gait phase recognition for lower-limb exoskeleton with only joint angular sensors. Sensors 2016, 16, 1579. [Google Scholar] [CrossRef]
- Gu, X.; Guo, Y.; Deligianni, F.; Lo, B.; Yang, G.Z. Cross-subject and cross-modal transfer for generalized abnormal gait pattern recognition. IEEE Trans. Neural Netw. Learn. Syst. 2020, 32, 546–560. [Google Scholar] [CrossRef]
- Huang, Y.; Shao, C.; Wu, B.; Beck, J.L.; Li, H. State-of-the-art review on Bayesian Inference in structural system identification and damage assessment. Adv. Struct. Eng. 2019, 22, 1329–1351. [Google Scholar] [CrossRef]
- Jelinek, F. Statistical Methods for Speech Recognition; MIT Press: Cambridge, MA, USA, 1997. [Google Scholar]
- Juang, B.H.; Rabiner, L.R. Hidden Markov models for speech recognition. Technometrics 1991, 33, 251–272. [Google Scholar] [CrossRef]
- Manning, C.; Schutze, H. Foundations of Statistical Natural Language Processing; MIT Press: Cambridge, MA, USA, 1999. [Google Scholar]
- Nag, R.; Wong, K.; Fallside, F. Script recognition using hidden Markov models. In Proceedings of the IEEE International Conference on Acoustics, Speech, and Signal Processing (ICASSP’86), Tokyo, Japan, 7–11 April 1986; IEEE: Piscataway, NJ, USA, 1986; Volume 11, pp. 2071–2074. [Google Scholar]
- Krogh, A.; Brown, M.; Mian, I.S.; Sjölander, K.; Haussler, D. Hidden Markov models in computational biology: Applications to protein modeling. J. Mol. Biol. 1994, 235, 1501–1531. [Google Scholar] [CrossRef] [PubMed]
- Baldi, P.; Brunak, S.; Bach, F. Bioinformatics: The Machine Learning Approach; MIT Press: Cambridge, MA, USA, 2001. [Google Scholar]
- Rodriguez, A.; Bourne, D.; Mason, M.; Rossano, G.F.; Wang, J. Failure detection in assembly: Force signature analysis. In Proceedings of the 2010 IEEE International Conference on Automation Science and Engineering, Toronto, ON, Canada, 21–24 August 2010; IEEE: Piscataway, NJ, USA, 2010; pp. 210–215. [Google Scholar]
- Hornung, R.; Urbanek, H.; Klodmann, J.; Osendorfer, C.; Van Der Smagt, P. Model-free robot anomaly detection. In Proceedings of the 2014 IEEE/RSJ International Conference on Intelligent Robots and Systems, Chicago, IL, USA, 14–18 September 2014; IEEE: Piscataway, NJ, USA, 2014; pp. 3676–3683. [Google Scholar]
- Salcedo-Sanz, S.; Rojo-Álvarez, J.L.; Martínez-Ramón, M.; Camps-Valls, G. Support vector machines in engineering: An overview. Wiley Interdiscip. Rev. Data Min. Knowl. Discov. 2014, 4, 234–267. [Google Scholar] [CrossRef]
- Statistical Classification. 2020. Available online: https://en.wikipedia.org/wiki/Statistical_classification (accessed on 23 November 2021).
- OpenSim. Available online: https://simtk.org/projects/opensimlatest (accessed on 16 April 2021).
- Ansys. Available online: https://www.ansys.com (accessed on 16 April 2021).
- Mohamed, A. Modeling and Simulation of Transfemoral Amputee Gait. Ph.D. Thesis, University of New Brunswick, Fredericton, NB, Canada, 2018. [Google Scholar]
- Schmidt, R.; Singh, K. Meshmixer: An interface for rapid mesh composition. In ACM SIGGRAPH 2010 Talks; Association for Computing Machinery: New York, NY, USA, 2010; p. 1. [Google Scholar]
- Zanetti, L.R. Lumped Parameter and Modal Models to Simulate Ground Reaction Forces Due to Running. 2021. Available online: https://repositorio.unesp.br/handle/11449/202681 (accessed on 23 November 2021).
- Jakobovic, D.; Jelenkovic, L. The Forward and Inverse Kinematics Problems for Stewart Parallel Mechanisms; University of Zagreb: Zagreb, Croatia, 2002. [Google Scholar]
- Bunke, H.; Caelli, T.M. Hidden Markov Models: Applications in Computer Vision; World Scientific: Singapore, 2001; Volume 45. [Google Scholar]
- Fasshauer, G.E. Meshfree Approximation Methods with MATLAB; World Scientific: Singapore, 2007; Volume 6. [Google Scholar]
- Larson, K. Can You Estimate Modulus from Durometer Hardness for Silicones; Dow Corning Corporation: Midland, MI, USA, 2016; pp. 1–6. [Google Scholar]
- HMM. Available online: https://hmmlearn.readthedocs.io/en/latest (accessed on 16 April 2021).
- Buitinck, L.; Louppe, G.; Blondel, M.; Pedregosa, F.; Mueller, A.; Grisel, O.; Niculae, V.; Prettenhofer, P.; Gramfort, A.; Grobler, J.; et al. API design for machine learning software: Experiences from the scikit-learn project. arXiv 2013, arXiv:1309.0238. [Google Scholar]










| Threshold | False Positive Rate | False Negative Rate | Precision |
|---|---|---|---|
| Fixed log-likelihood (−3) | 14.75% | 3.14% | 85.25% |
| Fixed log-likelihood (−7) | 2.83% | 54.30% | 97.07% |
| Dynamic log-likelihood | 6.34% | 8.71% | 93.66% |
Publisher’s Note: MDPI stays neutral with regard to jurisdictional claims in published maps and institutional affiliations. |
© 2022 by the authors. Licensee MDPI, Basel, Switzerland. This article is an open access article distributed under the terms and conditions of the Creative Commons Attribution (CC BY) license (https://creativecommons.org/licenses/by/4.0/).
Share and Cite
Chen, D.; Su, P.; Ottikkutti, S.; Vartholomeos, P.; Tahmasebi, K.N.; Karamousadakis, M. Analyzing Dynamic Operational Conditions of Limb Prosthetic Sockets with a Mechatronics-Twin Framework. Appl. Sci. 2022, 12, 986. https://doi.org/10.3390/app12030986
Chen D, Su P, Ottikkutti S, Vartholomeos P, Tahmasebi KN, Karamousadakis M. Analyzing Dynamic Operational Conditions of Limb Prosthetic Sockets with a Mechatronics-Twin Framework. Applied Sciences. 2022; 12(3):986. https://doi.org/10.3390/app12030986
Chicago/Turabian StyleChen, Dejiu, Peng Su, Suranjan Ottikkutti, Panagiotis Vartholomeos, Kaveh Nazem Tahmasebi, and Michalis Karamousadakis. 2022. "Analyzing Dynamic Operational Conditions of Limb Prosthetic Sockets with a Mechatronics-Twin Framework" Applied Sciences 12, no. 3: 986. https://doi.org/10.3390/app12030986
APA StyleChen, D., Su, P., Ottikkutti, S., Vartholomeos, P., Tahmasebi, K. N., & Karamousadakis, M. (2022). Analyzing Dynamic Operational Conditions of Limb Prosthetic Sockets with a Mechatronics-Twin Framework. Applied Sciences, 12(3), 986. https://doi.org/10.3390/app12030986


