Prediction of Ride Comfort of High-Speed Trains Based on Train Seat–Human Body Coupled Dynamics Model
Abstract
1. Introduction
2. Experiment on Dynamic Vibration Characteristics of High-Speed Train
3. Prediction of Carriage Vibration Based on Rigid–Flex Coupled Dynamics Model
- (1)
- The position with large rigidity of BIW was evenly spaced to select the main nodes.
- (2)
- In order to maintain the outline of the carriage, the main nodes were selected in the center of the walls and top and bottom on both sides of the carriage.
- (3)
- The main nodes were selected for the suspension installation positions of the two series of pillow beams at the bottom of the carriage for subsequent connection with the bogie.
- (4)
- The position where the floor and side walls of the carriage were connected to the seat was selected as the main node for subsequent connection to the seat model.
4. Seat–Human Body Coupled Dynamics Model of High-Speed Trains
5. Prediction of Dynamic Ride Comfort of High-Speed Train
5.1. Train Seat–Human Body Coupled Dynamics Model
5.2. Evaluation Method for Dynamic Ride Comfort
5.3. The Effect of Seat Cushion Stiffness and Damping on Ride Comfort
6. Conclusions
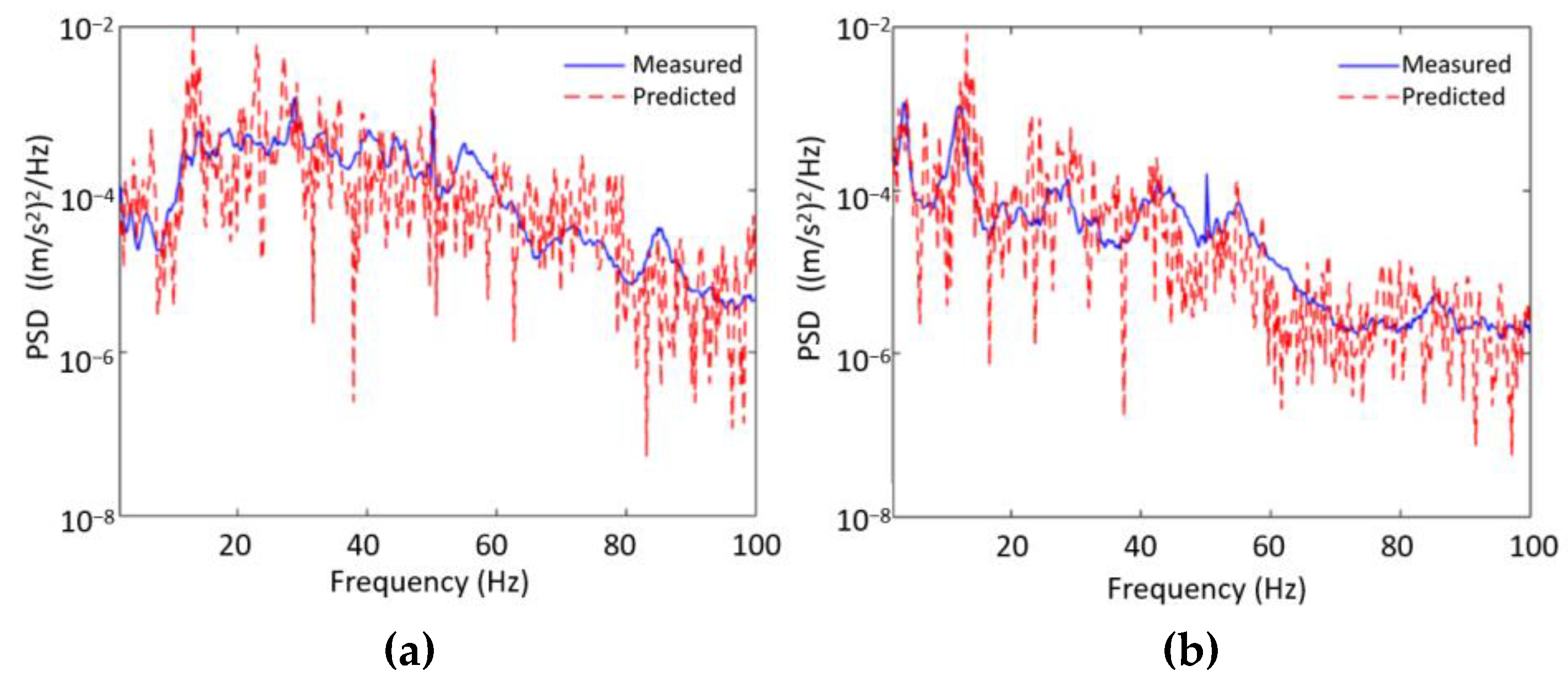
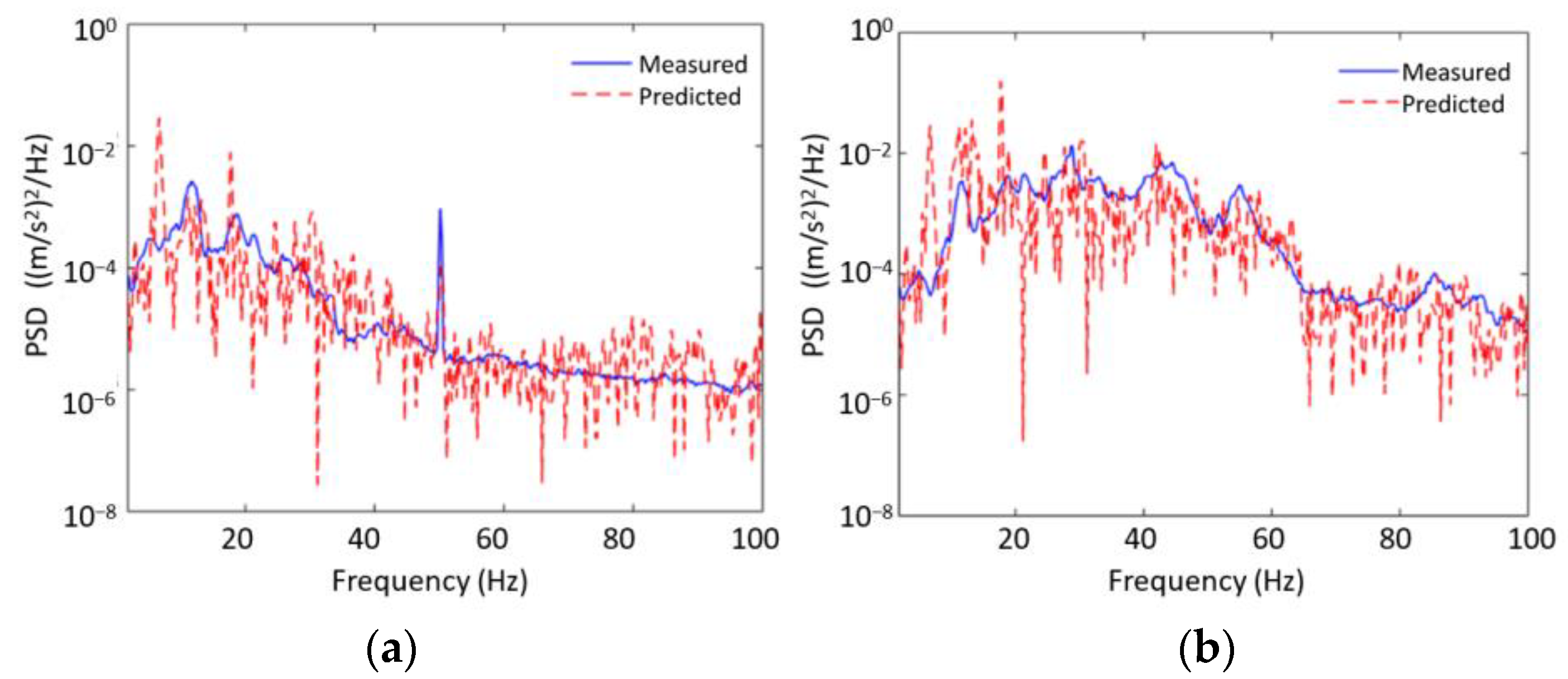
- The accuracy of the proposed train seat–human body coupled dynamics model and its submodels were separately verified by the test results. The results showed that the vibration peaks in different directions of the seat could be accurately captured by the proposed coupled dynamics model, and the overall trends were basically consistent with the test results in the analysis frequency band. The r.m.s. value of the error in different directions were all less than 10%, which indicated that the proposed model can be used for the prediction of ride comfort of high-speed trains.
- The standard BS EN 12299:2009 was used to evaluate the ride comfort of high-speed trains. The predicted results showed that the seats in the middle of the carriage had the best comfort performance, while those near the side wall and close to the position where the suspension force of the second series was acting were less comfortable.
- The influence of seat stiffness and damping parameters on the ride comfort of the seat was analyzed, and the results showed that the ride comfort deteriorated with the increase in seat cushion stiffness. As the cushion damping increased, the ride comfort first got better and then deteriorated.
- The proposed train seat–human body coupled dynamics model should provide good guidance for the future development of ride comfort in high-speed trains.
Author Contributions
Funding
Institutional Review Board Statement
Informed Consent Statement
Data Availability Statement
Conflicts of Interest
References
- Suzuki, H. Research trends on riding comfort evaluation in Japan. proceedings of the institution of mechanical engineers. Proc. Inst. Mech. Eng. Part F-J. Rail Rapid Transit 1998, 212, 61–72. [Google Scholar] [CrossRef]
- Zhou, J.; Goodall, R.M.; Ren, L.; Zhang, H. Influences of car body vertical flexibility on ride quality of passenger railway vehicles. Proc. Inst. Mech. Eng. Part F-J. Rail Rapid Transit 2009, 223, 461–471. [Google Scholar] [CrossRef]
- Sun, W.; Zhou, J.; Thompson, D.; Gong, D. Vertical random vibration analysis of vehicle track coupled system using green’s function method. Veh. Syst. Dyn. 2014, 52, 362–389. [Google Scholar] [CrossRef]
- Cao, H.; Zhang, W.; Miao, B. Vertical vibration analysis of the flexible carbody of high speed train. Int. J. Veh. Struct. Syst. 2015, 7, 55–60. [Google Scholar]
- Tomioka, T.; Takigami, T.; Suzuki, Y. Numerical analysis of three-dimensional flexural vibration of railway vehicle car body. Veh. Syst. Dyn. 2006, 44 (Suppl. 1), 272–285. [Google Scholar] [CrossRef]
- Zheng, X.; Hao, Z.; Wang, X.; Mao, J. A full-spectrum analysis of high-speed train interior noise under multi-physical-field coupling excitations. Mech. Syst. Signal Process. 2016, 75, 525–543. [Google Scholar] [CrossRef]
- Gialleonardo, E.D.; Braghin, F.; Bruni, S. The influence of track modelling options on the simulation of rail vehicle dynamics. J. Sound Vib. 2012, 331, 4246–4258. [Google Scholar] [CrossRef]
- Carlbom, P.; Hermodsson, M.; Borg, J.; Norman, M.; Andersson, H. Carbody and Passengers in Rail Vehicle Dynamics. Ph.D. Thesis, Institutionen för Farkostteknik, Stockholm, Sweden, 2000. [Google Scholar]
- Liu, C.; Qiu, Y. Mechanism associated with the effect of backrest inclination on biodynamic responses of the human body sitting on a rigid seat exposed to vertical vibration. J. Sound Vib. 2021, 510, 116299. [Google Scholar] [CrossRef]
- Wu, J.; Qiu, Y. Modeling and analysis of a train seat with occupant exposed to combined lateral, vertical and roll vibration. J. Sound Vib. 2021, 496, 115920. [Google Scholar] [CrossRef]
- Wu, J.; Qiu, Y. Analysis of ride comfort of high-speed train based on a train-seat-human model in the vertical direction. Veh. Syst. Dyn. 2021, 59, 1867–1893. [Google Scholar] [CrossRef]
- Kumar, V.; Rastogi, V.; Pathak, P.M. Simulation for whole-body vibration to assess ride comfort of a low-medium speed railway vehicle. Simul. Trans. Soc. Model. Simul. Int. 2016, 93, 225–236. [Google Scholar] [CrossRef]
- Lin, Z.; Zhang, J.; Li, M.; Zhuang, Y.; Liu, C.; Lin, J. Biodynamic response of seated human body to roll vibration: Effect of armrest support. J. Sound Vib. 2022, 529, 116939. [Google Scholar] [CrossRef]
- Wu, J.; Qiu, Y. Modelling and ride comfort analysis of a coupled track-train-seat-human model with lateral, vertical and roll vibrations. Veh. Syst. Dyn. 2022, 60, 2988–3023. [Google Scholar] [CrossRef]
- British Standards Institution. Railway Applications—Ride Comfort for Passengers—Measurement and Evaluation; British Standards Institution: London, UK, 2009; p. 12299. [Google Scholar]
- ISO 10326-2; Mechanical vibration—Laboratory method for evaluating vehicle seat vibration—Part 2, Application to railway vehicles. International Organization for Standardization: Geneva, Switzerland, 2001.
- Dai, W.; Zheng, X.; Luo, L.; Hao, Z.; Qiu, Y. Prediction of high-speed train full-spectrum interior noise using statistical vibration and acoustic energy flow. Appl. Acoust. 2019, 145, 205–219. [Google Scholar] [CrossRef]
- Lin, Y.; Wang, M.J.; Wang, E.M. The comparisons of anthropometric characteristics among four peoples in East Asia. Appl. Ergon. 2004, 35, 173–178. [Google Scholar] [CrossRef] [PubMed]
- Hui, X.; Xiuyuan, Z.; Xuanliang, D.; Donghong, H.; Qin, L.; Hong, L.; Jingmin, L.; Wei, L. A research on the body center of mass of Chinese adults. Int. J. Ind. Ergon. 1999, 23, 129–133. [Google Scholar] [CrossRef]
- Cheng, C.K.; Chen, H.H.; Chen, C.S.; Lee, C.L.; Chen, C.Y. Segment inertial properties of Chinese adults determined from magnetic resonance imaging. Clin. Biomech. 2000, 15, 559–566. [Google Scholar] [CrossRef] [PubMed]
- Kang, X.; Liu, X.; Li, H.; Yang, F.; Gao, J.; Zhai, W. PSD of ballastless track irregularities of high-speed railway. Sci. Sin. Technol. 2014, 44, 687–696. [Google Scholar]
- Speed, G.; Harris, K.; Keegel, T. The effect of cushioning materials on musculoskeletal discomfort and fatigue during prolonged standing at work: A systematic review. Appl. Ergon. 2018, 70, 300–314. [Google Scholar] [CrossRef] [PubMed]














| Place | Mass Distribution Percentage | Part Mass (kg) | Ixx (kg·m²) | Iyy (kg·m²) | Izz (kg·m²) |
|---|---|---|---|---|---|
| Head + neck | 8.62% | 5.69 | 0.036 | 0.037 | 0.016 |
| torso | 44.05% | 29.07 | 0.94 | 0.99 | 0.18 |
| Upper arm | 2.43% | 1.60 | 0.027 | 0.026 | 0.0025 |
| Forearm | 1.25% | 0.83 | 0.0067 | 0.0066 | 0.0007 |
| Hand | 0.64% | 0.42 | 0.0010 | 0.0009 | 0.002 |
| Thigh | 14.19% | 9.37 | 0.14 | 0.14 | 0.017 |
| Calf | 3.67% | 2.42 | 0.025 | 0.025 | 0.003 |
| Feet | 1.48% | 0.98 | 0.009 | 0.007 | 0.009 |
| Abdomen and hips | 23.67% | 15.62 |
| Place | Kt (N/m) | Kr (N·m/rad) | Ct (N·s/m) | Cr (N·m·s/rad) |
|---|---|---|---|---|
| Seat cushion | 10,000 | 350 | 1000 | 35 |
| Seat bracket | 10,000 | 300 | 1000 | 30 |
| Range (m/s2). | Evaluation |
|---|---|
| NMV < 1.5 | Very comfortable |
| 1.5 ≤ NMV < 2.5 | Comfortable |
| 2.5 ≤ NMV < 3.5 | Medium |
| 3.5 ≤ NMV < 4.5 | Uncomfortable |
| NMV ≥ 4.5 | Very uncomfortable |
| Floor Z-Direction (m/s2). | Seat Cushion Y-Direction (m/s2) | Seat Cushion Z-Direction (m/s2) | Backrest X-Direction (m/s2). | NVA (m/s2) | |
|---|---|---|---|---|---|
| Measured | 0.1631 | 0.1176 | 0.1053 | 0.0578 | 1.29 |
| Predicted | 0.1819 | 0.1320 | 0.133 | 0.0465 | 1.28 |
Publisher’s Note: MDPI stays neutral with regard to jurisdictional claims in published maps and institutional affiliations. |
© 2022 by the authors. Licensee MDPI, Basel, Switzerland. This article is an open access article distributed under the terms and conditions of the Creative Commons Attribution (CC BY) license (https://creativecommons.org/licenses/by/4.0/).
Share and Cite
Li, H.; Zheng, X.; Dai, W.; Qiu, Y. Prediction of Ride Comfort of High-Speed Trains Based on Train Seat–Human Body Coupled Dynamics Model. Appl. Sci. 2022, 12, 12900. https://doi.org/10.3390/app122412900
Li H, Zheng X, Dai W, Qiu Y. Prediction of Ride Comfort of High-Speed Trains Based on Train Seat–Human Body Coupled Dynamics Model. Applied Sciences. 2022; 12(24):12900. https://doi.org/10.3390/app122412900
Chicago/Turabian StyleLi, Heng, Xu Zheng, Wenqiang Dai, and Yi Qiu. 2022. "Prediction of Ride Comfort of High-Speed Trains Based on Train Seat–Human Body Coupled Dynamics Model" Applied Sciences 12, no. 24: 12900. https://doi.org/10.3390/app122412900
APA StyleLi, H., Zheng, X., Dai, W., & Qiu, Y. (2022). Prediction of Ride Comfort of High-Speed Trains Based on Train Seat–Human Body Coupled Dynamics Model. Applied Sciences, 12(24), 12900. https://doi.org/10.3390/app122412900

