Assessment of Variable Geometry Orifice Compressor Technology Impact in a New Generation of Compression Ignition Powertrains at Low-End and Transient Operation
Abstract
1. Introduction
2. Method
2.1. Experimental Setup
2.2. Model Development and Validation
2.2.1. Model Description
2.2.2. Model Validation under Steady State Operation
2.2.3. Transient Model Validation
3. Results and Discussion
3.1. Steady State (Low-End Torque)
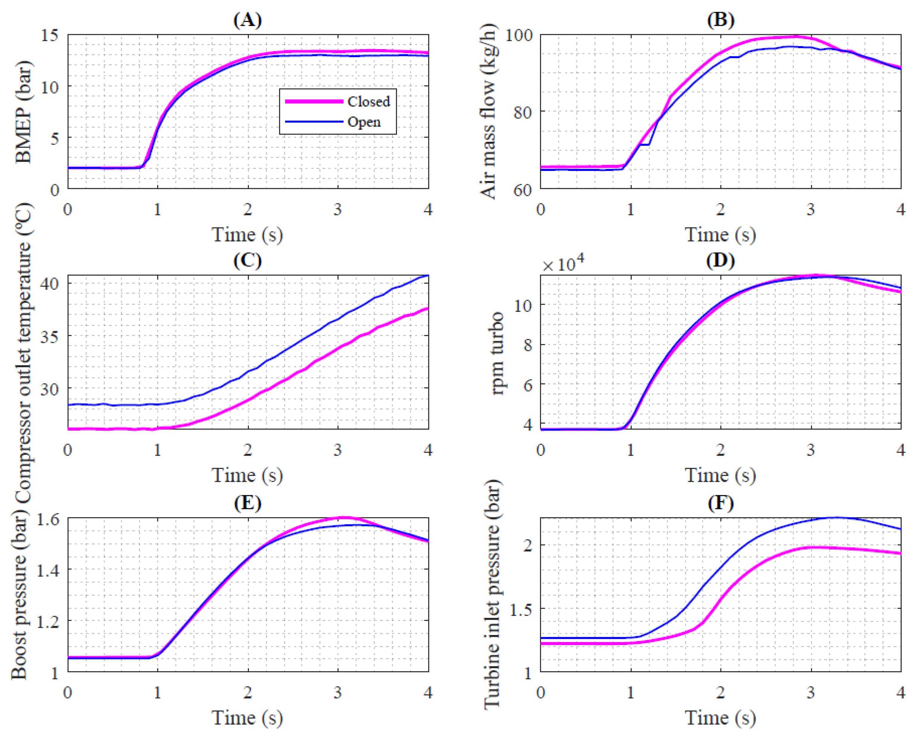
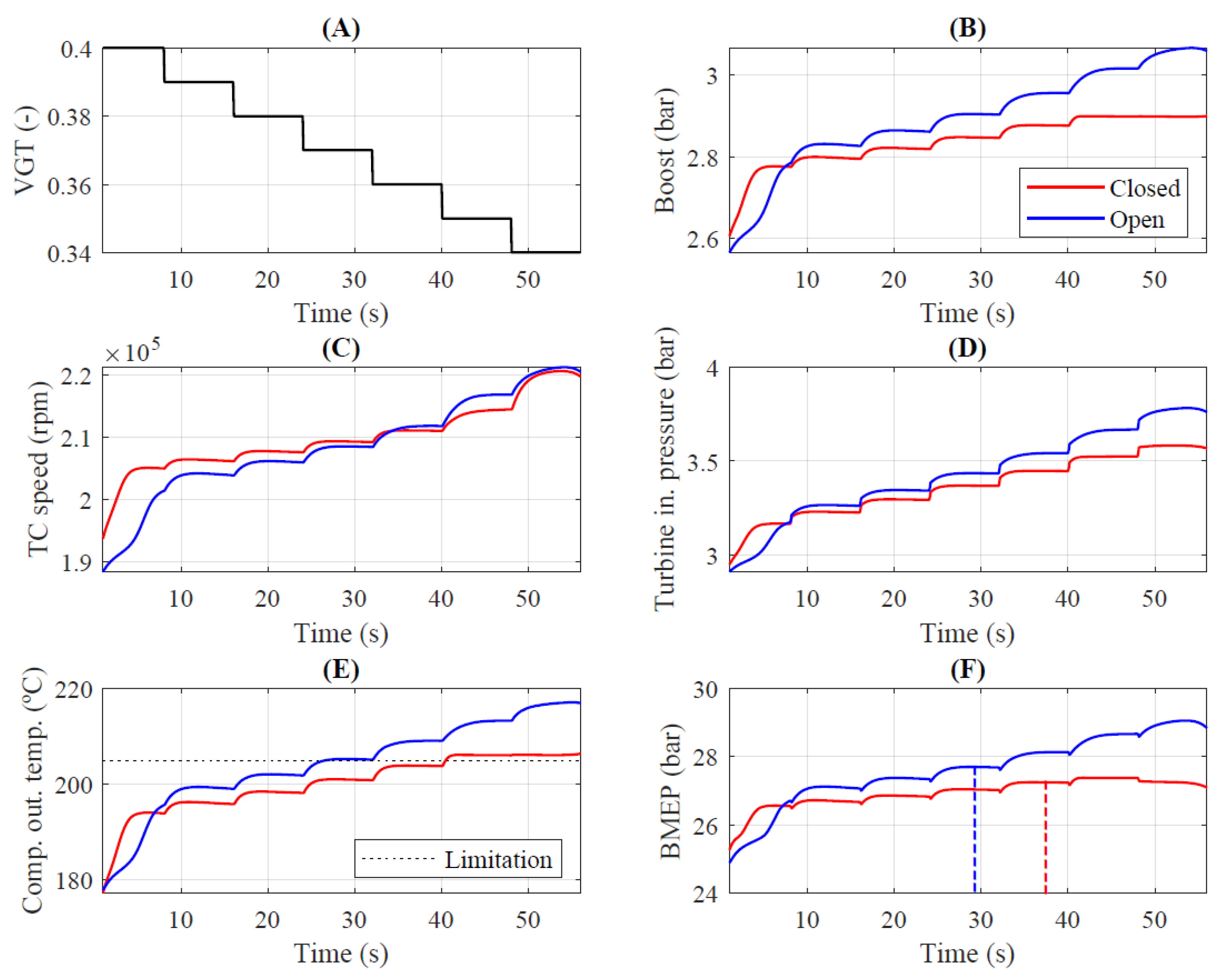
3.2. Transient Engine Performance Assessment
4. Conclusions
- VGO closed configuration extended the operating characteristic map into lower mass flow rates stable operative range (retarding surge). In other words, the closed VGO improves surge margin and compressor efficiency. In the experiments, VGO closed configuration showed an improvement of approximately 0.6 bar BMEP higher at 1000 RPM. The model showed slightly improved behavior (with respect to the experiments), reaching a gain of 0.94–0.72 bar BMEP (depending on the TC unit) for the open configuration. The main difference between the experiments and the model relies on the daily dispersion of the experiments, which is avoided in the modeling stage.
- However, no benefits were identified at 1500 RPM, where T2 was the limitation for engine output. The closed VGO configuration efficiency was predicted to be lower than the open one, about 0.35%, in both theTC units analyzed. The differences in the model were about 0.43–0.37 bar less BMEP under the closed configuration, depending on the TC prototype.
- Transients at sea level showed improved breathing capabilities of the engine using VGO-closed by improving engine response at 1000 RPM and 1500 RPM. In this analysis, a VGT evolution profile was fixed (and the same) for both VGO configurations to avoid any impact on the results coming from any kind of VGT control. In conclusion, the time to achieve the same BMEP was reduced in the closed configuration, about 0.12 s and 0.3 s (at 1000 and 1500 RPM, respectively), while the engine output evolution also showed a 1.5–3.2 % improvement in produced work, which, in any case, represents the engine’s drivability under highly transient demand.
Author Contributions
Funding
Institutional Review Board Statement
Informed Consent Statement
Data Availability Statement
Conflicts of Interest
Nomenclature
| AFR | Air-to-Fuel Ratio |
| ANN | Artificial Neural Network |
| BMEP | Brake Mean Effective Pressure |
| BSFC | Brake Specific Fuel Consumption |
| CFD | Computational Fluid Dynamics |
| DI | Direct Injection |
| HRR | Heat Release Rate |
| ICE | Internal Combustion Engine |
| LDA | Laser Droplet Anemometry |
| LES | Large Eddy Simulation |
| PIV | Particle Image Velocimetry |
| PWM | Pulse Width Modulation |
| TC−1 | Turbocharger 1 |
| TC−2 | Turbocharger 2 |
| VGC | Variable Geometry Compressor |
| VGO | Variable Geometry Orifices |
| VGT | Variable Geometry Turbine |
| VIGV | Variable Inlet Guide Vane |
| VNGV | Variable Nozzle Guide Vane |
| VSV | Variable Stator Vane |
| WCAC | Water Charged Air Cooler |
References
- Greitzer, E.M. Surge and Rotating Stall in Axial Flow Compressors—Part I: Theoretical Compression System Model. J. Eng. Power 1976, 98, 190–198. [Google Scholar] [CrossRef]
- Greitzer, E.M. Surge and Rotating Stall in Axial Flow Compressors—Part II: Experimental Results and Comparison with Theory. J. Eng. Power 1976, 98, 199–211. [Google Scholar] [CrossRef]
- Bühler, J.; Leichtfuß, S.; Schiffer, H.-P.; Lischer, T.; Raabe, S. Surge Limit Prediction for Automotive Air-Charged Systems. Int. J. Turbomach. Propuls. Power 2019, 4, 34. [Google Scholar] [CrossRef]
- Brandstetter, C.; Schiffer, H.-P. PIV measurements of the transient flow structure in the tip region of a transonic compressor near stability limit. J. Glob. Power Propuls. Soc. 2018, 2, 303–316. [Google Scholar] [CrossRef]
- Reitenbach, S.; Schnös, M.; Becker, R.-G.; Otten, T. Optimization of Compressor Variable Geometry Settings Using Multi-Fidelity Simulation. In Proceedings of the ASME Turbo Expo 2015: Turbine Technical Conference and Exposition, Montreal, QC, Canada, 15–19 June 2015. Volume 2C: Turbomachinery. [Google Scholar] [CrossRef]
- Frank, R.G.; Wacker, C.; Niehuis, R. A New Test Facility for Advanced Testing of Variable Inlet Guide Vanes. E3S Web Conf. 2022, 345, 03001. [Google Scholar] [CrossRef]
- Bringhenti, C.; Barbosa, J.R. Methodology for gas turbine performance improvement using variable-geometry compressors and turbines. Proc. Inst. Mech. Eng. Part A J. Power Energy 2004, 218, 541–549. [Google Scholar] [CrossRef]
- Canova, M.; Taburri, M.; Fiorentini, L.; Chiara, F.; Wang, Y.-Y. Modeling and Analysis of a Turbocharged Diesel Engine with Variable Geometry Compressor System. SAE Int. J. Engines 2011, 4, 2405–2417. [Google Scholar] [CrossRef]
- Herbst, F.; Stöber-Schmidt, C.-P.; Eilts, P.; Sextro, T.; Kammeyer, J.; Natkaniec, C.; Seume, J.; Porzig, D.; Schwarze, H. The Potential of Variable Compressor Geometry for Highly Boosted Gasoline Engines. In SAE Technical Paper; SAE International: Warrendale, PA, USA, 2011. [Google Scholar] [CrossRef]
- Wöhr, M.; Chebli, E.; Müller, M.; Zellbeck, H.; Leweux, J.; Gorbach, A. Development of a turbocharger compressor with variable geometry for heavy-duty engines. Int. J. Engine Res. 2015, 16, 23–30. [Google Scholar] [CrossRef]
- Stuart, C.; Spence, S.; Teichel, S.; Starke, A. Experimental and Numerical Assessment of the Impact of an Integrated Active Pre-Swirl Generator on Turbocharger Compressor Performance and Operating Range. Energies 2021, 14, 3537. [Google Scholar] [CrossRef]
- Mohtar, H.; Chesse, P.; Yammine, A.; Hetet, J.F. Variable Inlet Guide Vanes in a Turbocharger Centrifugal Compressor: Local and Global Study. In SAE Technical Paper; SAE International: Warrendale, PA, USA, 2008. [Google Scholar] [CrossRef]
- Uchida, H.; Kashimoto, A.; Iwakiri, Y. Development of Wide Flow Range Compressor with Variable Inlet Guide Vane. RD Rev. Toyota CRDL 2006, 41, 9–14. [Google Scholar]
- Xiao, J.; Gu, C.; Shu, X.; Gao, C. Performance analysis of a centrifugal compressor with variable inlet guide vanes. Front. Energy Power Eng. China 2007, 1, 473–476. [Google Scholar] [CrossRef]
- Zheng, X.; Huang, Q. Potential of the range extension of compressors with a variable inlet prewhirl for automotive turbocharged engines with an ultra-high-power density. Proc. Inst. Mech. Eng. Part D J. Automob. Eng. 2015, 229, 1959–1968. [Google Scholar] [CrossRef]
- Galindo, J.; Serrano, J.R.; Climent, H.; Tiseira, A. Experiments and modelling of surge in small centrifugal compressor for automotive engines. Exp. Therm. Fluid Sci. 2008, 32, 818–826. [Google Scholar] [CrossRef]
- Hellstrom, F.; Fuchs, L. Numerical computations of steady and unsteady flow in bended pipes. In Proceedings of the 37th AIAA Fluid Dynamics Conference and Exhibit, Miami, FL, USA, 25–28 June 2007. [Google Scholar] [CrossRef]
- Tamaki, H. Effect of piping systems on surge in centrifugal compressors. J. Mech. Sci. Technol. 2008, 22, 1857–1863. [Google Scholar] [CrossRef]
- Hellstrom, F.; Guillou, E.; Gancedo, M.; DiMicco, R.; Mohamed, A.; Gutmark, E.; Fuchs, L. Stall Development in a Ported Shroud Compressor using PIV Measurements and Large Eddy Simulation. In SAE Technical Paper; SAE International: Warrendale, PA, USA, 2010. [Google Scholar] [CrossRef]
- Sohail, M.U.; Hamdani, H.; Islam, A.; Parvez, K.; Khan, A.; Allauddin, U.; Khurram, M.; Elahi, H. Prediction of Non-Uniform Distorted Flows, Effects on Transonic Compressor Using CFD, Regression Analysis and Artificial Neural Networks. Appl. Sci. 2021, 11, 3706. [Google Scholar] [CrossRef]
- Zhao, B.; Shang, W.; Ke, H. Over-all performance analysis of a dual-entry turbocharger compressor with variable geometry orifice. Int. J. Engine Res. 2022, 14680874221075132. [Google Scholar] [CrossRef]
- Zhao, B.; Zhao, Q.; Zhao, W.; Xiang, X.; Zhou, X. Numerical and experimental investigation of turbocharger compressor low-end performance improvement using a variable geometry inlet orifice. Int. J. Engine Res. 2021, 22, 2492–2501. [Google Scholar] [CrossRef]
- Serrano, J.R.; Arnau, F.; Bares, P.; Gomez-Vilanova, A.; Garrido-Requena, J.; Luna-Blanca, M.; Contreras-Anguita, F. Analysis of a novel concept of 2-stroke rod-less opposed pistons engine (2S-ROPE): Testing, modelling, and forward potential. Appl. Energy 2021, 282, 116135. [Google Scholar] [CrossRef]
- Yuan, C.; Han, C.; Yang, M.; Zhang, Y. Numerical investigation into the fuel evaporation and mixture formation characteristics of a free-piston diesel engine. Int. J. Engine Res. 2020, 21, 1180–1192. [Google Scholar] [CrossRef]
- Serrano, J.R.; Piqueras, P.; de la Morena, J.; Gómez-Vilanova, A.; Guilain, S. Methodological analysis of variable geometry turbine technology impact on the performance of highly downsized spark-ignition engines. Energy 2021, 215, 119122. [Google Scholar] [CrossRef]
- Serrano, J.R.; Arnau, F.J.; García-Cuevas, L.M.; Dombrovsky, A.; Tartoussi, H. Development and validation of a radial turbine efficiency and mass flow model at design and off-design conditions. Energy Convers. Manag. 2016, 128, 281–293. [Google Scholar] [CrossRef]
- Serrano, J.R.; Arnau, F.J.; García-Cuevas, L.M.; Gómez-Vilanova, A.; Guilain, S.; Batard, S. A Methodology for Measuring Turbocharger Adiabatic Maps in a Gas-Stand and its Usage for Calibrating Control Oriented and 1D Models at Early ICE Design Stages. In Proceedings of the ASME 2019 Internal Combustion Engine Division Fall Technical Conference, Chicago, IL, USA, 20–23 October 2019. [Google Scholar] [CrossRef]
- Ghojel, J.I. Review of the development and applications of the Wiebe function: A tribute to the contribution of Ivan Wiebe to engine research. Int. J. Engine Res. 2010, 11, 297–312. [Google Scholar] [CrossRef]
- Serrano, J.; Climent, H.; Navarro, R.; González-Domínguez, D. Methodology to Standardize and Improve the Calibration Process of a 1D Model of a GTDI Engine. In SAE Technical Papers; SAE International: Warrendale, PA, USA, 2020. [Google Scholar] [CrossRef]
- Serrano, J.R.; Arnau, F.J.; de la Morena, J.; Gómez-Vilanova, A.; Guilain, S.; Batard, S. A Methodology to Calibrate Gas-Dynamic Models of Turbocharged Petrol Engines With Variable Geometry Turbines and With Focus on Dynamics Prediction During Tip-in Load Transient Tests. In Proceedings of the ASME Turbo Expo 2020: Turbomachinery Technical Conference and Exposition, Virtual, Online, 21–25 September 2020. Volume 8: Industrial and Cogeneration; Manufacturing Materials and Metallurgy; Marine; Microturbines, Turbochargers, and Small Turbomachines. [Google Scholar] [CrossRef]













| Engine Type | 4 Stroke Compression Ignition |
|---|---|
| Nº of cylinders | 4 |
| Bore to Stroke | 84 × 90 (mm) |
| Compression ratio | 15.45 |
| Turbocharged | Yes (VGT) |
| EGR | Yes (low and high pressure) |
| Injection system | Direct injection (common rail) |
| Charge cooling | Water charge air cooling |
| After-treatment | Diesel Particle Filter (DPF) Diesel Oxidation Catalyst (DOC) Selective Catalytic Reduction (SCR) |
| Variable Valve Technology | No |
| Variable | Equipment | Range | Accuracy |
|---|---|---|---|
| Speed | Dynamometer | 6000 RPM | 0.03% fs |
| Torque | Dynamometer | ±415 Nm | 0.05% fs |
| Cylinder Pressure | AVL ZI33 | 0 to 250 bar | 0.3% lin. |
| Amplifier | Kistler 5011B | ±10 V | - |
| Air Flow | AVL Flowsonix Air | 20 to 720 kg/h | 2% |
| Fuel Flow | AVL 733S Fuel Meter | 0–150 kg/h | 0.2% |
| Temperature | K-type Thermocouple | −200 to 1250 °C | 1.5 °C |
| Mean Pressure | Kistler Piezo-Resistive Transmitters | 0–10 bar | 0.2% lin. |
| Gases Analysis | Horiba mexa 7100 DEGR | - | 1–4 fs. |
| Variable | Value | Units |
|---|---|---|
| Engine BMEP | 26 | bar |
| Turbine inlet pressure (p3) | 4.5 | bar |
| Boost pressure (p2) | 3.5 | bar |
| TC speed | 250 | kRPM |
| Turbine inlet temperature | 850 | °C |
| Compressor outlet temperature | 205 | °C |
| p3-p2 (pressure difference) | 1 | bar |
| Speed (RPM) | Configuration | Time to 90% (s) | Work in 4s (kJ) |
|---|---|---|---|
| 1000 | Open | 1 | 78.05 |
| 1000 | Closed | 0. 9 | 79.22 |
| 1500 | Open | 3.6 | 193.67 |
| 1500 | Closed | 3.6 | 193.91 |
| Speed (RPM) | TC Unit | Configuration | Maximum BMEP (Bar) | Maximum Boost (Bar) | Limitation |
|---|---|---|---|---|---|
| 1000 | TC−1 | Closed | 13.99 | 1.53 | Surge |
| 1000 | TC−1 | Open | 13.05 | 1.44 | Surge |
| 1500 | TC−1 | Closed | 27.32 | 2.87 | T2 |
| 1500 | TC−1 | Open | 27.75 | 2.9 | T2 |
| Speed (RPM) | TC Unit | Configuration | Maximum BMEP (Bar) | Maximum Boost (Bar) | Limitation |
|---|---|---|---|---|---|
| 1000 | TC−2 | Closed | 13.91 | 1.51 | Surge |
| 1000 | TC−2 | Open | 13.19 | 1.44 | Surge |
| 1500 | TC−2 | Closed | 27.87 | 2.86 | T2 |
| 1500 | TC−2 | Open | 28.24 | 2.87 | T2 |
| Speed (RPM) | Configuration | Maximum BMEP (Bar) | Time to 90% BMEP Open (s) | Work in 4s (kJ) |
|---|---|---|---|---|
| 1000 | Open | 12 | 3.36 | 75.68 |
| 1000 | Closed | 13 | 3.24 | 76.87 |
| 1500 | Open | 24 | 2.28 | 187.10 |
| 1500 | Closed | 25 | 1.98 | 193.30 |
Publisher’s Note: MDPI stays neutral with regard to jurisdictional claims in published maps and institutional affiliations. |
© 2022 by the authors. Licensee MDPI, Basel, Switzerland. This article is an open access article distributed under the terms and conditions of the Creative Commons Attribution (CC BY) license (https://creativecommons.org/licenses/by/4.0/).
Share and Cite
Serrano, J.R.; Climent, H.; Gomez-Vilanova, A.; Darbhamalla, A.; Guilain, S. Assessment of Variable Geometry Orifice Compressor Technology Impact in a New Generation of Compression Ignition Powertrains at Low-End and Transient Operation. Appl. Sci. 2022, 12, 12869. https://doi.org/10.3390/app122412869
Serrano JR, Climent H, Gomez-Vilanova A, Darbhamalla A, Guilain S. Assessment of Variable Geometry Orifice Compressor Technology Impact in a New Generation of Compression Ignition Powertrains at Low-End and Transient Operation. Applied Sciences. 2022; 12(24):12869. https://doi.org/10.3390/app122412869
Chicago/Turabian StyleSerrano, José Ramón, Héctor Climent, Alejandro Gomez-Vilanova, Aditya Darbhamalla, and Stéphane Guilain. 2022. "Assessment of Variable Geometry Orifice Compressor Technology Impact in a New Generation of Compression Ignition Powertrains at Low-End and Transient Operation" Applied Sciences 12, no. 24: 12869. https://doi.org/10.3390/app122412869
APA StyleSerrano, J. R., Climent, H., Gomez-Vilanova, A., Darbhamalla, A., & Guilain, S. (2022). Assessment of Variable Geometry Orifice Compressor Technology Impact in a New Generation of Compression Ignition Powertrains at Low-End and Transient Operation. Applied Sciences, 12(24), 12869. https://doi.org/10.3390/app122412869

