Artificial Intelligence Algorithm-Based Arrangement Optimization of Structural Isolation Bearings
Abstract
1. Introduction
- Not fully considering factors such as total cost of scheme, various design indicators, eccentricity of the stiffness center of isolation bearings and the center of gravity of the superstructure, and so on.
- Only utilizing one or two kinds of sizes and fixed predetermined type distributions of isolation bearings based on experience or trial calculation during the optimization process.
- Needing large amounts of iterative calculations and depending on previous experience to set initial range of scheme to be optimized.
- The complex optimization objective function and time-consuming analysis process.
2. Calculation Parameters and Objective Function
2.1. Isolation Bearing Parameters
2.2. Optimization Objective Function
3. Optimal Arrangement Method of Isolation Bearings
3.1. Calculation Procedure of Isolation Structure
- Selecting initial bearings: the isolation bearings that meet the requirements are preliminarily chosen based on vertical reaction at column bottom under the action of the standard gravity load of the non-isolation structure model, limit value of bearings compressive stress, and yield force of bearings listed in Table 1 and Table 2.
- The isolation model is established in the analysis software according to the bearing parameters. In this paper, the optimization calculation is performed with the ETABS, which is manipulated by Python through API interface. For LNR, LRB bearings, the Rubber isolator element is used to create tensile and biaxial shear model. Moreover, on account of the significant difference between compression and tensile stiffness, the compression constitutive relation is reflected by the Gap element. For an intuitionistic demonstration, the Rubber isolator element and Gap element are exhaustively depicted in Figure 1. Based on the isolation model, the column axial force at the bottom, the inter-story shear force, the eccentricity of the stiffness center of isolation bearings and the center of gravity of superstructure, and the story drift ratio would be calculated through nonlinear dynamic time history analysis under fortification earthquakes, as well as the seismic decrease coefficient combined with calculation results of the non-isolated model.
- Based on nonlinear dynamic time history analysis under rare earthquakes, the stress of the isolation layer and maximum horizontal displacement of bearings would be examined.
3.2. HPO Algorithm
3.3. Prediction of Isolation Bearing Type Based on CNN Algorithm
3.4. Optimization Approach of Isolation Bearing Arrangement Based on AI Algorithm
- Preliminary selection of bearing size and type: according to vertical reaction force of the column base under the action of the standard value of the gravity load of the non-isolation structure model, the limit value of compressive stress and yield force of isolation bearings and size groups of isolation bearings corresponding to the population number in the HPO algorithm are generated. As a guarantee for the feasibility of the isolation scheme, we check whether the total horizontal yield force and eccentricity of the isolation scheme meet requirements when bearings are all LRB. If they do, the size groups of the bearings would be submitted to the trained CNN neural network to predict types of isolation bearings. Otherwise, size groups of isolation bearings would be regenerated until the requirements above are met. Then, a population of isolation bearings containing information of sizes and types is formed.
- According to the sizes and types of information of isolation bearings, isolation structure models will be established by Python calling ETABS through API interface. Through nonlinear dynamic time history analysis, axial force at the column bottom, inter-story shear force, and story drift ratio would be calculated, as well as the seismic decrease coefficient and eccentricity in combination with calculation results of the non-isolation structure model. Then, prices of isolation bearings in Table 1 and Table 2 will be utilized to calculate the total cost of bearing scheme. Furthermore, the total cost will be substituted into Formula (1) to acquire value of objective function, based on which the minimum fitness value of function in the current iteration and its corresponding scheme of isolation bearings are updated.
- After parameters of the HPO algorithm, including sizes of isolation bearings, and types of isolation bearings based on step (1), are updated, the isolation structure model will be rebuilt by Python automatically calling ETABS through API interface. Through a nonlinear dynamic time history analysis of the new isolation model under a rare earthquake, the stress of the isolation layer and the maximum horizontal displacement of the bearings will be calculated. If all the design indexes meet requirements, the historical best value of objective function and its corresponding isolation scheme will be updated. Otherwise, return to step (1) to regenerate sizes of isolation bearings and continue calculation of step (2)~(3) to complete an iterative calculation.
- If iteration number has reached the maximum number of predetermined iterations, or the difference between optimum fitness values of the function of two adjacent iterations has reached the limit value predetermined, the process of iterative calculation has been accomplished.
4. Example Analysis
4.1. Structure Model
4.2. Layout Optimization of Isolation Bearings
4.3. Analysis of Optimization Results
5. Discussion
5.1. Computational Efficiency
5.2. Optimization Objective Function
5.3. Total Cost
5.4. Maximum Story Drift Ratio
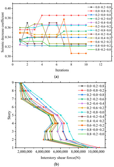
5.5. Seismic Decrease Coefficient
5.6. Determination of Weight Coefficients
6. Conclusions and Prospect
- This study establishes a framework to optimize an isolation scheme by means of updating a structural model and value of optimization function using Python based on the Application Program Interface (API) interface provided by ETABS, optimizing sizes of isolation bearings by Python based on HPO algorithm, and predicting types of isolation bearings by Python based on CNN. It performs automatically in isolation analysis and the arrangement optimization of isolation bearings without artificial intervention.
- The isolation bearing optimization method based on the AI algorithm possesses high convergence efficiency during the optimizing process for all the combinations discussed in this study. For several factors that have been completely considered and optimized, the isolation scheme utilizing the combined algorithm using CNN and HPO is practicable for type selection and size optimization of isolation bearings and meets the requirements of the design code.
- The total cost weight coefficient of isolation scheme has a greater impact on the optimization objective function. Moreover, the total cost of bearings, maximum story drift ratio, and seismic decrease coefficient decrease as corresponding weight coefficient rises. According to variations of these factors, for factors that designers pay more attention to, the corresponding weight coefficient should be larger than others.
- Several required factors are simultaneously considered by the proposed optimization objective function, through the optimization of which all objects about these factors acquire optimization at different levels by means of different combinations of weight coefficient. This approach is beneficial to simplify and accelerate the optimization process of isolation scheme.
- Concerning the constraint condition about eccentricity of the stiffness center of isolation bearing and the center of gravity of the superstructure throughout the optimization process, not only would the isolation scheme meet specifications of design code, but the type distribution of isolation bearings also appears to be uniform and more sizes of isolation bearings could be employed in an isolation layer scheme during the optimization process.
Author Contributions
Funding
Institutional Review Board Statement
Informed Consent Statement
Data Availability Statement
Conflicts of Interest
References
- Miranda, S.; Miranda, E.; Carlos, L.J. A simplified and versatile element model for elastomeric seismic isolation bearings. Earthq. Spectra 2022, 38, 331–357. [Google Scholar] [CrossRef]
- Ye, K.; Xu, Y.; Ni, G.; Fu, R. Integrated seismic design method for base-isolated structure incorporating direct displacement-based design procedure. J. Build. Struct. 2022, 43, 58–67. [Google Scholar] [CrossRef]
- Forcellini, D.; Kalfas, K.N. Inter-story seismic isolation for high-rise buildings. Eng. Struct. 2023, 275, 115175. [Google Scholar] [CrossRef]
- Darwish, A.Q.; Bhandari, M. Vibration Response Reduction of Seismic Forces Using Lead Rubber Bearing Isolators in Composite Buildings. J. Vib. Eng. Technol. 2022, 10, 1309–1324. [Google Scholar] [CrossRef]
- Wu, Y.X.; Liu, N.; Ai, Q. Seismic performance of a new structural design solution for first-story isolated RC buildings with coupled beam-column connections. Appl. Sci. 2019, 9, 177. [Google Scholar] [CrossRef]
- Chey, M.-H.; Chase, J.G.; Mander, J.B.; Carr, A.J. Innovative seismic retrofitting strategy of added stories isolation system. Front. Struct. Civ. Eng. 2013, 7, 13–23. [Google Scholar] [CrossRef]
- Wang, W.S.; Zhang, Y.M.; Wang, W.R. Optimal allocation and seismic isolation effect analysis of high-damping rubber bearing for Beam Bridge. In Proceedings of the 2017 2nd International Conference on Machinery, Electronics and Control Simulation (MECS 2017), Taiyuan, China, 24–25 June 2017; pp. 18–22. [Google Scholar]
- An, G.; Kim, M.; Jung, J.W.; Mosqueda, G.; Marquez, J.F. Evaluation of Clearance to Stop Requirements in A Seismically Isolated Nuclear Power Plant. Energies 2020, 13, 6156. [Google Scholar] [CrossRef]
- Kalfas, K.N.; Amirabad, N.G.; Forcellini, D. The role of shear modulus on the mechanical behavior of elastomeric bearings when subjected to combined axial and shear loads. Eng. Struct. 2021, 248, 113248. [Google Scholar] [CrossRef]
- Zhang, J.C.; Ding, Y.; Guan, X.C. Study of the mechanics of progressive collapse of FPB isolated beam-pier substructures. Front. Struct. Civ. Eng. 2022, 16, 718–728. [Google Scholar] [CrossRef]
- Yang, Z.; Lei, Y.; Deng, X.; Yu, Y.; Li, Q. Design and analysis of a RC frame structure with friction pendulum isolation bearings. Build. Struct. 2021, 51, 1–7. [Google Scholar] [CrossRef]
- Gao, J.; Xue, Y.; Xiao, C.; Zhou, X.; Han, X. Experimental study on variable stiffness laminated rubber isolation bearing of series connection type. Build. Struct. 2020, 50, 109–113. [Google Scholar] [CrossRef]
- Du, H.; Zhu, Y.; Lu, W.; He, Y. Experimental study and analysis on vertical ultimate properties of thick lead-rubber bearings. J. Earthq. Eng. Eng. Vib. 2022, 42, 153–162. [Google Scholar] [CrossRef]
- Gu, Z.; Lei, Y.; Qian, W.; Xiang, Z.; Hao, F.; Wang, Y. An Experimental Study on the Mechanical Properties of a High Damping Rubber Bearing with Low Shape Factor. Appl. Sci. 2021, 11, 59. [Google Scholar] [CrossRef]
- Shinozuka, M.; Chaudhuri, S.R.; Mishra, S.K. Shape-Memory-Alloy supplemented Lead Rubber Bearing (SMA-LRB) for seismic isolation. Probabilistic Eng. Mech. 2015, 41, 34–45. [Google Scholar] [CrossRef]
- Shandilya, S.; Izonin, I.; Shandilya, S.K.; Singh, K.K. Mathematical modelling of bio-inspired frog leap optimization algorithm for transmission expansion planning. Mathematical Biosci. Eng. 2022, 19, 7232–7247. [Google Scholar] [CrossRef]
- Pourzeynali, S.; Zarif, M. Multi-objective optimization of seismically isolated high-rise building structures using genetic algorithms. J. Sound Vib. 2008, 311, 1141–1160. [Google Scholar] [CrossRef]
- Yasue, M.; Kobayashi, K.; Tamori, S. Multi-objective optimal design of base isolated device in base-isolated structure Method by multi-objective genetic algorithm. J. Struct. Constr. Eng. (Trans. AIJ) 2010, 75, 1645–1652. [Google Scholar] [CrossRef]
- Fan, J.; Long, X.H.; Zhang, Y.P. Optimum design of lead-rubber bearing system with uncertainty parameters. Struct. Eng. Mechanics 2015, 56, 959–982. [Google Scholar] [CrossRef]
- Ocak, A.; Nigdeli, S.M.; Bekdaş, G.; Kim, S.; Geem, Z.W. Optimization of Seismic Base Isolation System Using Adaptive Harmony Search Algorithm. Sustainability 2022, 14, 7456. [Google Scholar] [CrossRef]
- Dang, Y.; Zhao, G.; Tian, H.; Li, G. Two-Stage Optimization Method for the Bearing Layout of Isolated Structure. Adv. Civ. Eng. 2021, 2021, 1–10. [Google Scholar] [CrossRef]
- Shiravand, M.R.; Ketabdari, H.; Rasouli, M. Optimum arrangement investigation of LRB and FPS isolators for seismic response control in irregular buildings. Structures 2022, 39, 1031–1044. [Google Scholar] [CrossRef]
- Chang, C.M.; Shia, S.; Yang, C.Y. Use of active control algorithm for optimal design of base-isolated buildings against earthquakes. Struct. Multidiscip. Optim. 2018, 58, 613–626. [Google Scholar] [CrossRef]
- Zhang, Y.; Weng, G.; Dai, J.; Shi, Y.; Zhu, X.; Lv, G. Isolation Effect and Optimal Allocation for High-damping Rubber Bearing on Beam Bridges. J. Catastrophology 2019, 34, 16–20. [Google Scholar] [CrossRef]
- Mousazadeh, M.; Pourreza, F.; Basim, M.C.; Chenaghlou, M.R. An efficient approach for LCC-based optimum design of lead-rubber base isolation system via FFD and analysis of variance (ANOVA). Bull. Earthq. Eng. 2020, 18, 1805–1827. [Google Scholar] [CrossRef]
- Singh, A.; Singh, K.K.; Greguš, M.; Izonin, I. CNGOD-An improved convolution neural network with grasshopper optimization for detection of COVID-19. Mathematical Biosci. Eng. 2022, 19, 12518–12531. [Google Scholar] [CrossRef]
- Wang, H.; Liao, J.; Cheng, T.; Gao, Z.; Liu, H.; Ren, B.; Liu, W. Knowledge Mining with Scene Text for Fine-Grained Recognition. In Proceedings of the IEEE/CVF Conference on Computer Vision and Pattern Recognition (CVPR) 2022, New Orleans, LA, USA, 19–24 June 2022. [Google Scholar]
- Billie, F.S.; Vedhus, H.; Yasutaka, N. Advances in Computer Vision-Based Civil Infrastructure Inspection and Monitoring. Engineering 2019, 5, 199–222. [Google Scholar] [CrossRef]
- Lu, X.Z.; Liao, W.J.; Zhang, Y.; Huang, Y.L. Intelligent structural design of shear wall residence using physics-enhanced generative adversarial networks. Earthq. Eng. Struct. Dyn. 2022, 51, 1657–1676. [Google Scholar] [CrossRef]
- Rawashdeh, M.A.; Yousef, I.; Nawaiseh, M.A. Predicting the Inelastic Response of Base Isolated Structures Utilizing Regression Analysis and Artificial Neural Network. Civ. Eng. J. 2022, 8, 1178–1193. [Google Scholar] [CrossRef]
- Nguyen, H.D.; Dao, N.D.; Shin, M. Machine learning-based prediction for maximum displacement of seismic isolation systems. J. Build. Eng. 2022, 51, 104251. [Google Scholar] [CrossRef]
- Bülbül, M.A.; Harirchian, E.; Işık, M.F.; Aghakouchaki Hosseini, S.E.; Işık, E. A Hybrid ANN-GA Model for an Automated Rapid Vulnerability Assessment of Existing RC Buildings. Appl. Sci. 2022, 12, 5138. [Google Scholar] [CrossRef]
- Harirchian, E.; Kumari, V.; Jadhav, K.; Rasulzade, S.; Lahmer, T.; Raj Das, R. A Synthesized Study Based on Machine Learning Approaches for Rapid Classifying Earthquake Damage Grades to RC Buildings. Appl. Sci. 2021, 11, 7540. [Google Scholar] [CrossRef]
- Wang, H.; Li, Q.; Liu, Y.; Yang, S. Anomaly Data Detection of Rolling Element Bearings Vibration Signal Based on Parameter Optimization Isolation Forest. Machines 2022, 10, 459. [Google Scholar] [CrossRef]
- Quaranta, G.; De Domenico, D.; Monti, G. Machine-learning-aided improvement of mechanics-based code-conforming shear capacity equation for RC elements with stirrups. Eng. Struct. 2022, 267, 114665. [Google Scholar] [CrossRef]
- Mangalathu, S.; Karthikeyan, K.; Feng, D.C.; Jeon, J.S. Machine-learning interpretability techniques for seismic performance assessment of infrastructure systems. Eng. Struct. 2022, 250, 112883. [Google Scholar] [CrossRef]
- Naruei, I.; Keynia, F.; Sabbagh, M.A. Hunter-prey optimization: Algorithm and applications. Soft Comput. 2022, 26, 1279–1314. [Google Scholar] [CrossRef]
- Ministry of Housing and Urban Rural Development of the People’s Republic of China. GB/T 51408-2021; Standard for Seismic Isolation Design of Building. China Planning Press: Beijing, China, 2021. (In Chinese)
- EN1998-1:2004; Eurocode 8: Design of Structures for Earthquake Resistance. European Committee for Standardization: Berlin, Germany, 2004.
- AASHTO. Guide Specifications for Seismic Isolation Design, 4th ed.; American Association of State Highway and Transportation Officials: Washington, DC, USA, 2014. [Google Scholar]
- IBC. 2021 International Building Code; International Code Council, Inc.: Falls Church, VA, USA, 2021. [Google Scholar]
- Sun, Y.N.; Xue, B.; Zhang, M.J.; Yen, G.G. Evolving Deep Convolutional Neural Networks for Image Classification. IEEE Trans. Evol. Comput. 2020, 24, 394–407. [Google Scholar] [CrossRef]
- Ministry of Housing and Urban Rural Development of the People’s Republic of China. Code for Seismic Design of Buildings: (Version 2016); China Architecture & Building Press: Beijing, China, 2016. (In Chinese)
















| Bearing Specification | LNR 200 | LNR 300 | LNR 350 | LNR 400 | LNR 500 | LNR 600 | LNR 700 | LNR 800 | LNR 900 | LNR 1000 | LNR 1100 | LNR 1200 |
|---|---|---|---|---|---|---|---|---|---|---|---|---|
| Bearing size (mm) | 200 | 300 | 350 | 400 | 500 | 600 | 700 | 800 | 900 | 1000 | 1100 | 1200 |
| Rubber thickness (mm) | 42 | 58 | 63.5 | 69 | 96 | 110 | 123 | 145 | 162 | 165 | 170 | 175 |
| Vertical bearing capacity (N) | 31,400 | 706,000 | 981,000 | 1,256,000 | 1,930,000 | 2,827,000 | 3,848,000 | 5,026,000 | 6,361,000 | 7,853,000 | 9,510,000 | 11,002,000 |
| Vertical stiffness (N/mm) | 431,000 | 1,074,000 | 1,412,000 | 1,613,000 | 1,801,000 | 2,600,000 | 3,900,000 | 4,050,000 | 4,870,000 | 6,350,000 | 7,170,000 | 7,990,000 |
| Horizontal equivalent stiffness (N/mm) | 401 | 643 | 789 | 1001 | 1079 | 1357 | 1846 | 1660 | 2075 | 2560 | 2975 | 3460 |
| Connecting plate size (mm × mm) | 250 × 250 | 340 × 340 | 400 × 400 | 500 × 500 | 600 × 600 | 650 × 650 | 800 × 800 | 950 × 950 | 1050 × 1050 | 1150 × 1150 | 1250 × 1250 | 1350 × 1350 |
| Bearing price (RMB) | 450 | 550 | 650 | 750 | 850 | 950 | 1050 | 1150 | 1250 | 1350 | 1450 | 1550 |
| Bearing Specification | LRB 200 | LRB 300 | LRB 350 | LRB 400 | LRB 500 | LRB 600 | LRB 700 | LRB 800 | LRB 900 | LRB 1000 | LRB 1100 | LRB 1200 |
|---|---|---|---|---|---|---|---|---|---|---|---|---|
| Bearing size (mm) | 200 | 300 | 350 | 400 | 500 | 600 | 700 | 800 | 900 | 1000 | 1100 | 1200 |
| Lead diameter (mm) | 40 | 60 | 70 | 80 | 100 | 120 | 140 | 160 | 180 | 200 | 220 | 240 |
| Rubber thickness (mm) | 42 | 58 | 63.5 | 69 | 96 | 110 | 123 | 145 | 162 | 165 | 170 | 175 |
| Vertical bearing capacity (N) | 31,400 | 706,000 | 981,000 | 1,256,000 | 1,930,000 | 2,827,000 | 3,848,000 | 5,026,000 | 6,361,000 | 7,853,000 | 9,510,000 | 11,002,000 |
| Vertical stiffness (N/mm) | 540,000 | 1,200,000 | 1,400,000 | 1,750,000 | 2,030,000 | 2,900,000 | 3,450,000 | 4,400,000 | 5,200,000 | 6,900,000 | 7,700,000 | 8,500,000 |
| Horizontal stiffness (N/mm) (100% shear strain) | 665 | 1065 | 1350 | 1602 | 1788 | 2247 | 2424 | 2746 | 3433 | 4238 | 4925 | 5612 |
| Horizontal stiffness (N/mm) (250% shear strain) | 429 | 687 | 893 | 1032 | 1152 | 1448 | 1536 | 1770 | 2213 | 2732 | 3175 | 3618 |
| Stiffness before yielding (N/mm) | 2327.5 | 3727.5 | 4725 | 5607 | 6258 | 7864.5 | 8484 | 9611 | 12,015.5 | 14,833 | 17,237.5 | 19,642 |
| Stiffness after yielding (N/mm) | 232.75 | 372.75 | 472.5 | 560.7 | 625.8 | 786.45 | 848.4 | 961.1 | 1201.55 | 1483.3 | 1723.75 | 1964.2 |
| Yield force (N) | 10,680 | 24,020 | 32,700 | 42,700 | 66,730 | 96,080 | 130,780 | 170,820 | 216,190 | 266,900 | 312,270 | 357,640 |
| Connecting plate size (mm × mm) | 250 × 250 | 340 × 340 | 400 × 400 | 500 × 500 | 600 × 600 | 650 × 650 | 800 × 800 | 950 × 950 | 1050 × 1050 | 1150 × 1150 | 1250 × 1250 | 1350 × 1350 |
| Bearing price (RMB) | 550 | 650 | 750 | 850 | 950 | 1050 | 1150 | 1250 | 1350 | 1450 | 1550 | 1650 |
| Serial Number | 1 | 2 | 3 | 4 | 5 | 6 | 7 | 8 | 9 | 10 | 11 | 12 | |
|---|---|---|---|---|---|---|---|---|---|---|---|---|---|
| α | 0.2 | 0.8 | 0 | 0.2 | 0.4 | 0.6 | 0.8 | 0.2 | 0.4 | 0.2 | 0.2 | 0 | |
| weight coefficients | λ | 0 | 0 | 0.2 | 0.2 | 0.2 | 0.2 | 0.2 | 0.4 | 0.4 | 0.6 | 0.8 | 0.8 |
| γ | 0.8 | 0.2 | 0.8 | 0.6 | 0.4 | 0.2 | 0 | 0.4 | 0.2 | 0.2 | 0 | 0.2 |
| Design Parameters | Values | Design Parameters | Values |
|---|---|---|---|
| Fortification intensity | 8 degrees | Peak acceleration | 200 gal |
| Characteristic period | 0.40 s | Design earthquake group | 2 |
| Column section in 1–3 layer | 1000 mm × 1000 mm | Site class | II |
| Column section in 4–6 layer | 900 mm × 900 mm | Floor thickness | 120 mm |
| Column section in 7–9 layer | 800 mm × 800 mm | Isolation floor thickness | 180 mm |
| Main beam section | 300 mm × 700 mm | Secondary beam section | 250 mm × 500 mm |
| Story height | 3300 mm | Height of isolation layer | 2000 mm |
| Concrete strength for beam and floor | C35 with compressive strength = 16.7 MPa | Rebar type | HRB400 with yield strength = 400 MPa |
| Concrete strength for column | C40 with compressive strength = 19.1 MPa | Floor live load | 2.5 kN/m2 |
| Design basic wind pressure | 0.3 kN/m2 | Floor dead load | 3.5 kN/m2 |
Publisher’s Note: MDPI stays neutral with regard to jurisdictional claims in published maps and institutional affiliations. |
© 2022 by the authors. Licensee MDPI, Basel, Switzerland. This article is an open access article distributed under the terms and conditions of the Creative Commons Attribution (CC BY) license (https://creativecommons.org/licenses/by/4.0/).
Share and Cite
Zou, Z.; Yan, Q. Artificial Intelligence Algorithm-Based Arrangement Optimization of Structural Isolation Bearings. Appl. Sci. 2022, 12, 12629. https://doi.org/10.3390/app122412629
Zou Z, Yan Q. Artificial Intelligence Algorithm-Based Arrangement Optimization of Structural Isolation Bearings. Applied Sciences. 2022; 12(24):12629. https://doi.org/10.3390/app122412629
Chicago/Turabian StyleZou, Zhongliang, and Qiwu Yan. 2022. "Artificial Intelligence Algorithm-Based Arrangement Optimization of Structural Isolation Bearings" Applied Sciences 12, no. 24: 12629. https://doi.org/10.3390/app122412629
APA StyleZou, Z., & Yan, Q. (2022). Artificial Intelligence Algorithm-Based Arrangement Optimization of Structural Isolation Bearings. Applied Sciences, 12(24), 12629. https://doi.org/10.3390/app122412629

