Next Article in Journal
Securely Computing the Manhattan Distance under the Malicious Model and Its Applications
Previous Article in Journal
Research on the Fatigue Performance of Composite Girders with CSW and ST Truss
 
 
Font Type:
Arial Georgia Verdana
Font Size:
Aa Aa Aa
Line Spacing:
Column Width:
Background:
Article

Research on the Performance of an End-to-End Intelligent Receiver with Reduced Transmitter Data

1
College of Energy Engineering, Xi’an University of Science and Technology, Xi’an 710054, China
2
College of Communication and Information Engineering, Xi’an University of Science and Technology, Xi’an 710054, China
*
Authors to whom correspondence should be addressed.
Appl. Sci. 2022, 12(22), 11706; https://doi.org/10.3390/app122211706
Submission received: 16 October 2022 / Revised: 10 November 2022 / Accepted: 11 November 2022 / Published: 17 November 2022

Abstract

A large amount of data transmission is one of the challenges faced by communication systems. In this paper, we revisit the intelligent receiver consisting of a neural network, and we find that the intelligent receiver can reduce the data at the transmitting end while improving the decoding accuracy. Specifically, we first construct a smart receiver model, and then design two ways to reduce the data at the transmitter side, namely, end-of-transmitter data trimming and equal-interval data trimming, to investigate the decoding performance of the receiver under the different trimming methods. The simulation results show that the receiver still has an accurate decoding performance with a small amount of trimming at the end of the transmitter data, while the decoding performance of the smart receiver is better than that of the conventional receiver with complete data when the data is trimmed at equal intervals. Moreover, the receiver with equally-spaced data cropping has a lower BER when the data at the transmitter side is reduced by the same data length. This paper provides a new solution to reduce the amount of data at the transmitter side.

1. Introduction

With the in-depth study of communication theories such as channel coding [1,2], and channel estimation [3,4], system capacity has gradually approached the Shannon limit [5]. Moreover, the wide application of different communication technologies will generate a large amount of data, which are needed to support large-scale connections in the limited spectrum of resources and to maintain a lower delay, which pose challenges to traditional communication systems [6].
Along with the wide application of deep learning (DL) algorithms in many fields, such as natural language processing (NLP) [7,8] and image processing [9,10], researchers are increasingly interested in applying deep learning algorithms to wireless signal processing. Some research has been undertaken to implement some of the functions of communication systems through deep learning algorithms, while some research has also realized the function of some modules of communication systems by deep learning algorithms. For example, by replacing the channel estimation module in orthogonal frequency division multiplexing (OFDM) systems by deep learning image processing techniques [11]. Pu et al. [12] used a deep learning algorithm to deal with serious channel damage in indoor visible light communication (VLC). Moreover, there are some studies that optimize receiver module processing by deep learning algorithms to improve the performance of communication systems. As long as the proper training is performed, they all outperform conventional receivers [13,14,15].
Other researchers have considered replacing all modules at the receiving end of the communication system through deep learning algorithms to design an end-to-end intelligent receiver (IR). Among them, Hao Ye et al. [16] have carried out some pioneering work in this area, where they used a fully connected network to implement the channel estimation and channel detection part of an OFDM communication system. The simulation results showed that the deep learning-based approach could implement the entire process of decoding at the receiver side of conventional communication with a performance comparable to that of the minimum mean square error estimator. Gao X et al. [17] proposed a model-driven receiver, which combined deep learning with expert knowledge to replace the conventional OFDM system receiver. Different from the design of Hao Ye et al., which used a block-by-block signal processing approach, the receiver consisted of a two-part network of channel estimation and channel detection, and each sub-network was constructed by a deep neural network (DNN) and initialized using existing simple and conventional solutions. The simulation results showed that the algorithm had a lower bit error rate at a low signal-to-noise ratio, and the computational complexity and decoding accuracy of the algorithm were better than those proposed by Hao Ye et al. Zheng et al. [18] designed different end-to-end receiver models, which extracted the features of input signals through 1D dense neural networks, and which used multiple binary classifiers in the final classification layer to achieve a bit by bit information flow recovery. The simulation results showed that the depth receiver was superior to the traditional hard decision method in terms of the bit error rate in a variety of different channel environments.
These previous works have shown that receiver models constructed by combining deep learning algorithms with traditional communications have better performances than traditional receivers. For the research of an intelligent receiver or replacing a communication module by deep learning, the received data is the same as that of a traditional receiver, and the performance of the receiver is evaluated by comparing the bit error rate (BER) or symbol error rate (SER); however, there is little research on whether the intelligent receiver can achieve accurate decoding by reducing the data at the transmitter. Although a variety of different semantic communication models have been designed [5,6], this improves the communication efficiency and significantly reduces the transmitter data. Unlike the improvement of source coding in semantic communication, there is, however, less research on whether an end-to-end intelligent receiver has the ability of accurate decoding after reducing the data at the transmitting end after source coding. In other words, there is little research on whether an end-to-end intelligent receiver has a similar semantic communication ability to reduce the data of the transmitter.
Therefore, this paper will investigate whether the IR model under data reduction at the transmitter side of the multiple input multiple output (MIMO) communication system has the capability of accurate decoding. In this study, we designed two different data clipping methods to reduce the data at the transmitter. At the same time, we built the intelligent receiver network as seen in the literature [18] to explore the performance of intelligent receivers under different scenarios of reducing transmitter data. Our contributions are as follows:
  • To the best of our knowledge, this is a preliminary investigation of whether the intelligent receiver has an accurate decoding capability with reduced data at the transmitter side.
  • We demonstrate that the intelligent receiver has the ability to decode accurately even with reduced data at the transmitter, and that the BER of the intelligent receiver decoding is lower than that of conventional receivers.
  • By verifying the effects of two data reduction methods, namely, data end cropping and data equal interval cropping, on the decoding capability of the intelligent receiver, we find that data equal interval cropping has little effect on the decoding performance of the intelligent receiver, and the intelligent receiver can achieve accurate decoding.
The rest of this paper is organized as follows. Section 2 introduces the composition of the MIMO and the intelligent receiver network model. Section 3 describes the idea of data clipping at the transmitter. Section 4 explores the decoding performance of the intelligent receiver under different clipping data, and analyzes different clipping methods. Finally, Section 5 concludes this paper and briefly describes future work.

2. System Model

This section will briefly describe the MIMO communication system composed of an intelligent receiver, which includes a MIMO transmitter, wireless channel and intelligent receiver model.

2.1. MIMO Transmitter

The transmitter converts the binary bit stream into electromagnetic waves that can be in the wireless channel. The basic composition of a transmitter in the MIMO system is shown in Figure 1 below. First, the binary bit data is converted to a symbol stream by a modulator, often using modulation methods such as MPSK, MQAM, etc., where M indicates the number of binary bits. Then, channel coding is performed to improve the reliability of the communication system, followed by space-time coding, which is the key technology of MIMO systems. Space-time coding decomposes the symbol stream to be transmitted into multiple symbol streams, thus, improving the efficiency of the communication system and further ensuring the reliability of the system. According to different encoding methods, space-time codes can be divided into three categories: a space time block code (STBC), space time trellis code (STTC) and layered space time code (LSTC). In this paper, we chose the most representative Alamouti space-time coding scheme in the STBC coding scheme. Alamouti coding is the best scheme to obtain a spatial diversity gain through transmission diversity. The idea of the Alamouti space-time coding is shown in Figure 2 below. When the number of transmit antennas is two, the modulated and channel-coded symbols [ s 1   s 2 ] are sent to the Alamouti encoder, and a matrix S with a dimension of 2 × 2 will be generated. Its structure is shown below. In the first time slot, [ s 1 , s 2 ] is sent through both antennas and in the next time slot, [ s 2 * , s 1 * ] is sent:
S = [ s 1 , s 2 * s 2 , s 1 * ]

2.2. Wireless Channel

For the Alamouti space-time encoder with two transmitting antennas, assume that the number of antennas at the receiving end is two, while the model is shown in the following Figure 3. When the data sent by the transmitter arrives at the receiving end through the wireless channel, the data received at the first slot receiving end is shown below:
y 1 = ( h 1 s 1 + h 2 , j s 2 ) + n ( 1 )
The data received in the next time slot is shown below:
y 2 = ( h 1 s 2 * + h 2 s 1 * ) + n ( 2 )
In the above equation, y 1 , y 2 denote the data received by the different antennas, h 1 , h 2 denote the fading coefficients of the wireless channel, and n ( 1 ) , n ( 2 ) denote the complex random variables of interference and noise.

2.3. Intelligent Receiver

The intelligent receiver recovers the transmitter-side data interfered by the channel into the original binary bit data by a neural network. Previous works have proposed different intelligent receiver design schemes, and the receiver model in the literature of [18] was chosen in this paper for the following main reasons, firstly, the receiver in the literature of [18] uses the idea of per-bit decoding; therefore, the receiver in the literature of [18] has a lower BER compared to other receivers. Secondly, the MIMO system in this study was the same as in the literature of [18]; therefore, the receiver model shown in the literature of [18] was chosen.
For the intelligent receiver model proposed in reference [18], its composition is shown in the following Figure 4. The intelligent receiver is composed of a feature extraction module and an original binary bit data recovery module. The feature extraction module is composed of DenseNet [19]. Compared with a traditional convolutional neural network, the dense neural network connects all feature extraction layers through a unique dense connection mechanism. Each layer is connected with all channel dimensions of the previous layer, and this layer is then used as the input of the next layer to achieve feature reuse. At the same time, DenseNet improves the gradient back propagation, making the network easier to train. In addition, the densely-connected network reduces the network parameters to some extent and because of the densely-connected mechanism, it has fewer parameters than the traditional convolutional network, because it does not need to re-learn the redundant feature map.
For the binary data recovery module, the literature in [18] uses multiple binary classifiers to convert the decoding problem into a probability problem between 0 and 1, through the softmax activation function in the following formula. In other words, for the input IQ data, the binary bit data of a corresponding bit is fixed, so that when the data volume increases, the intelligent receiver can achieve accurate decoding through significant training:
s o f t max ( x i ) = exp ( x i ) j exp ( x j )
The intelligent receiver network structure is shown in Figure 5 below. The model extracts IQ data features through DenseNet, uses a dense connection mechanism to achieve a reuse of the IQ data, and achieves per-bit decoding through multiple binary classifiers. The TransitionBlock in this model represents the densely connected block and the DenseBlock represents the densely connected layer. Figure 5 contains four dense connection blocks and four dense connection layers. The K in TransitionBlock (K) represents the size of the convolution core in the TransitionBlock. For the convolution kernel settings in the TransitionBlock, please refer to the literature of [18]. For the 1D IQ data input to the model, it is first passed through 64 1D convolutional kernels of the size 31 × 1 for the initial feature extraction and filtering, and then the features are input to the feature extraction layer consisting of four TransitionBlocks as well as the DenseBlock for the in-depth feature extraction, and finally, the binary bits are decoded by bit by constructing multiple binary classifiers.

3. Transmitter Data Clipping

The MIMO system shown above can be simplified into the basic framework shown in Figure 6 below. The original bit data is encoded by the source, transmitted to the wireless channel after the channel coding, and then decoded by the corresponding receiver. When the mode of the source coding and channel coding is not considered, the process of the source coding and channel coding can be further simplified into the following formula:
Y 1 = f 1 ( X )
Y 2 = f 2 ( Y 1 )
In the above equation, f 1 and f 2 represent the source coding and channel coding processes, respectively. The data sent by the transmitter can be further expressed as the following equation:
Y 2 = g ( X ) = f 2 ( f 1 ( x ) )
With the rapid development of communication system theory, source coding improves the effectiveness of information transmission, and channel coding improves the reliability of communication. The original bit data is sent to the channel after being converted by a rigorous formula. The architecture of the receiver of the communication system is shown in Figure 7 below.
As shown in Figure 7a, the conventional receiver mainly includes channel decoding and source decoding in the decoding process. The model shown in Figure 7b is an intelligent receiver model. Compared with the traditional receiver with a detailed formula derivation to realize the decoding, the intelligent receiver model often uses the strong nonlinear data fitting ability of a convolutional neural network (CNN), long short-term memory (LSTM) and other deep learning networks to decode the received data.
Another reason why the intelligent receiver can decode accurately is that the data at the transmitter side is derived by a rigorous formula, and the data input to the neural network still has a certain regularity even under the noise interference, so that the neural network can realize the process of channel decoding and source decoding at the same time after significant training, and then complete the decoding. Taking the intelligent receiver based on a CNN designed in the literature of [18] as an example, which converts IQ data into a one-dimensional matrix input to the network, it achieves the extraction of the input data features through a densely connected convolutional network (DenseNet), and sets multiple binary classifiers in the fully connected layer to achieve the bit-by-bit recovery of the original bit signal. In the task of image classification or reconstruction by a CNN, the image an often pre-scaled to maintain the same size. In addition, as shown in Figure 8a, the CNN can still recognize the animal “sheep” in the image by cutting the image. In the task of image recognition, the size of an image is reduced by reducing and cropping the image, and the CNN model still has the ability to recognize graphic information. The CNN-based decoding mode adopted in the literature of [18] is the same as the principle of image recognition and the classification task. The CNN can still realize decoding after cutting the image. Consequently, for receivers using the same model, as shown in Figure 8b, we will now explore whether the intelligent receiver model designed based on a CNN has an accurate decoding capability when reducing the data at the transmitter of the communication system.
Unlike the image data reduction method, in order to reduce the IQ data sent by the transmitter in the communication system, this study only considers reducing the data at the transmitter through clipping. Additionally, where end cropping is the simplest way to reduce the data, this paper proposes an equal interval reduction in the launch data. Assuming that the length of the data Y 2 at the transmitting end is eight and the data is trimmed at equal intervals of four bits, the trimmed data is S . The trimming process can be realized as shown in Figure 9. The trimmed data s is expressed as follows by the formula:
S = g 1 ( Y 2 )
g 1 ( ) in the above equation indicates that Y 2 is cropped at equal intervals through the matrix shown in Figure 9. Previous research work, such as in the literature of [18], has shown that intelligent receivers have the ability to extract the original bit information from the transmitter-side data that is interfered by the channel. For equidistant clipping, combining Formula (8) with Figure 9, we find that the process can be realized by relevant formulas, and that the data after the equidistant clipping still retains a certain regularity. Moreover, the data at the transmitter side is reduced in an orderly manner, i.e., for the intelligent receiver the inputs are changed in an orderly manner and the equal-interval cropping retains a large amount of information. Therefore, when the data at the transmitting end decreases in order, we believe that under the condition of strong nonlinear fitting of the receiving neural network, it can recover the original data by finding the relationship between the clipped data and the original binary bit data.

4. Simulation Result

In this section, we will explore whether the intelligent receiver had the performance of accurate decoding when the data at the transmitter side was reduced in the communication system. For this reason, we designed two ways to reduce the data at the transmitter side, namely, data end cropping and data equal interval cropping, for multiple input multiple output MIMO systems.
In the experimental setup of the communication system, we used the MIMO communication system similar to that in document [18]. At the transmitter side, the original number of binary bits was 32, first (7, 4) with Hamming coding, a modulation method using BPSK modulation, after a modulation of the signal into the STBC coding module, then after Alamouti space-time coding to form a two-way length of 56 code streams. An up sampling module was set at the receiving end, and the number of sampling points of each symbol was 8.
The design of the intelligent receiver was the same as in the literature of [18], where the receiver input data was the IQ data arriving at the receiver after channel interference and the output data was the original 32-bit length binary bit data.
First, we explored whether the intelligent receiver had an accurate decoding ability when reducing the data at the transmitter in the AWGN channel. In this experiment, the data after the STBC encoding was end-cropped and the data was reduced in the process shown in Figure 10a. The original transmitter sent data as a two-way code stream of length 56, and the data length of each stream was cut from the end to 2, 4, 6 and 8, respectively. There were two reasons for conducting the end data cropping experiment first. On the one hand, end cropping is the easiest way to implement data cropping. On the other hand, when the end clipped data is small (e.g., the cropped data length is two), if the intelligent receiver can achieve accurate decoding, it will provide a theoretical basis for the later, equally-spaced data clipping, i.e., when there is a small amount of data reduction, while the depth receiver still has the ability to accurately decode.
The results of the clipping experiment at the end of the transmitter data are shown in Figure 11a below.
With the increase in clipped data at the end of the data, the decoding accuracy of the intelligent receiver decreased. When the clipped data at the end was two, it could be observed that the BER of the intelligent receiver was between the decoding BER of the deep receiver under the complete data and the decoding BER of the traditional receiver. This shows that the intelligent receiver still had a certain decoding ability when the data was reduced in a small amount, and the intelligent receiver could accurately complete the decoding through the nonlinear fitting ability of the neural network. Moreover, its decoding performance was better than the traditional decoding methods. When the end data cropping exceeded two, the decoding BER of the intelligent receiver was higher than that of the conventional receiver, which indicates that as the end cropped data increased, the missing information increased and the receiver was unable to extract features from the missing data; therefore, its decoding capability decreased.
Then, the reasons for the receiver’s inability to decode accurately when the end-crop data lengths were 4, 6, and 8 were investigated. Since the receiver in the literature of [18] used bit-by-bit decoding, when the intelligent receiver input data with end-crop data lengths of 4, 6, and 8, the last 3 bits of the end of the output data were removed, and only the decoding ability of the intelligent receiver for the first 29 bits of the binary bit data was investigated when the end-crop was applied. From Figure 11b, we can find that the smart receiver decoding capability approximated the decoding performance with no data cropping, which indicates that the smart receiver could extract information from the missing data for a bit-by-bit recovery when the data was cropped at the end of the transmitter. In addition, for the reduced data at the transmitter side, which contained information from the original binary bit data, the intelligent receiver decoding could not accurately decode the missing part of the data when the number of cuts was high. For the un-missing data, its decoding performance was close to that of the intelligent receiver under the complete data. The above experimental results provide a basis for the subsequent equally-spaced tailoring of the data at the transmitting end. When the number of the transmitter data was reduced by a small amount (e.g., trimmed data two in Figure 6a), the intelligent receiver still had the ability to extract information from the missing data to achieve accurate decoding.
In the Rayleigh channel, we cut the data at equal intervals as shown in Figure 10b, and cut the data length into 2, 4, 7, 8, and 14. Taking the cropped data length of 2 in Figure 10b as an example, for a stream of length of 56, it was first divided into two equal parts, and then the end data was cropped by 1. For the other stream, the settings were the same as the above to ensure that the intelligent receiver could extract the data features at the same location.
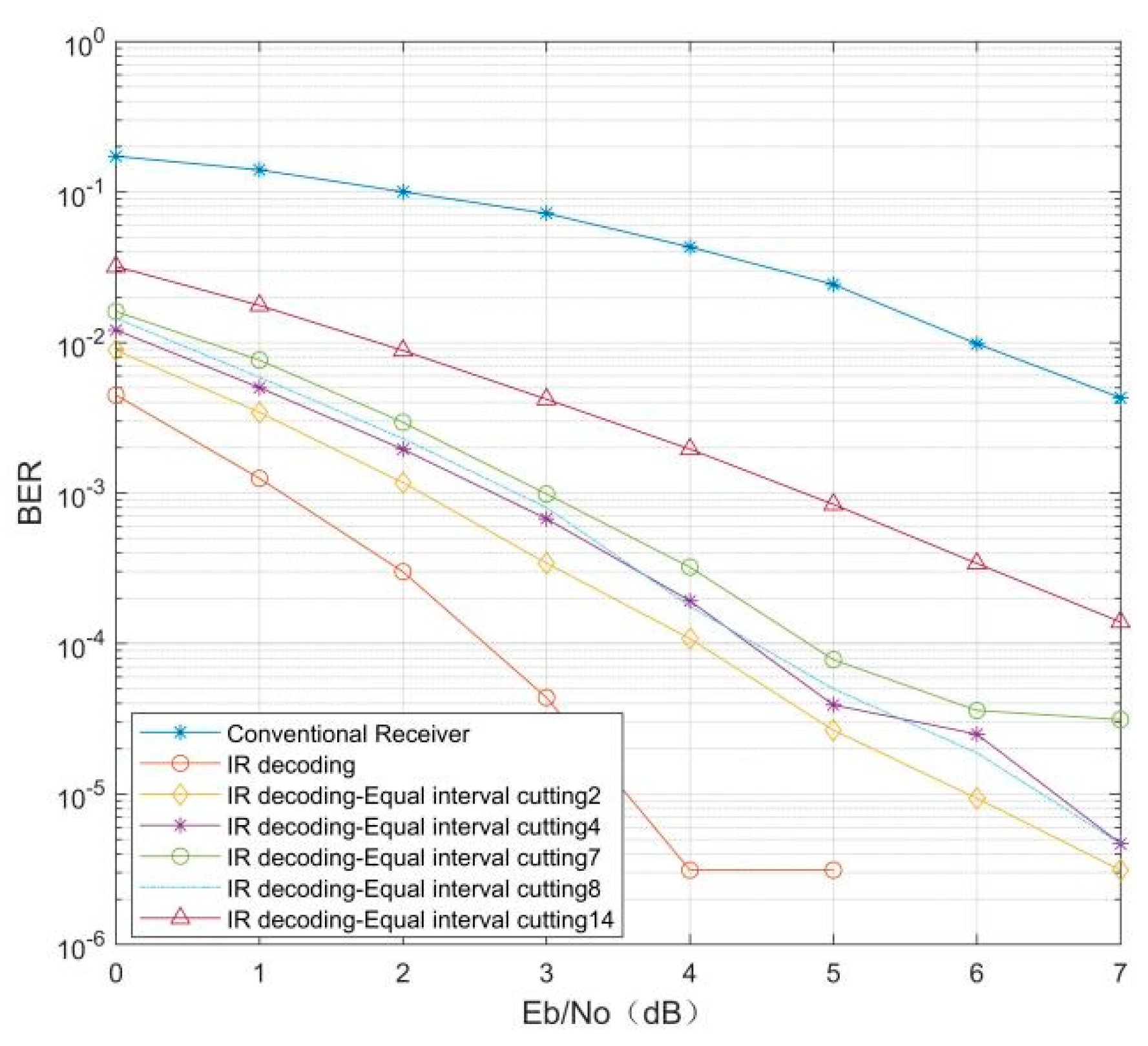
The simulation results are shown in Figure 12 below. When the number of the data cropping was 4, 7 and 8, the decoding performance of the intelligent receiver was close and its decoding performance was much better than that of the conventional receiver. Comparing the cropping number length of 7, and 8, it can be observed that the BER of cropping number 8 was lower than that of cropping number 7. By observing the comparison of the cropped data in Figure 13, we can find the reason for this phenomenon. When the equal interval cropping was performed, the data and parity bits were cropped when the cropped data length was 7, while only the parity bits were cropped when the cropped data length was 8; therefore, the BER of the cropped data length 8 was lower than that of the cropped data length 7. An extreme example was the cropped data length of 14. We can observe that the check bits and data bits containing information in the original data were heavily and regularly cropped; therefore, the receiver decoding effect was the worst when the cropped data length was 14, but its decoding performance was still better than the traditional decoding method, which indicates that the intelligent receiver still had the ability to decode accurately even if the data bits containing information were cropped during the equally-spaced data cropping process. In addition, comparing Figure 11 and Figure 12, although there were differences in the channels, it can still be found that when the data were cropped by the same number, split cropping had a great advantage over end cropping. The reason for this is that split cropping is more regular compared to the end cropping method, and for intelligent receivers, it is easier to extract features from the data to achieve accurate decoding.

5. Conclusions

A large amount of data transmission is one of the challenges of communication systems, and this paper explored whether an intelligent receiver with reduced transmit-side data had the ability to recover data accurately. It was concluded that the communication system consisting of intelligent receivers, not only has the advantage of a low BER, but also has another advantage of reducing the data at the transmitting end. In other words, a communication system consisting of end-to-end intelligent receivers has the same advantage as semantic communication, i.e., a reduction in transmit-side data, which provide new ideas for reducing the amount of data transmitted by a system. In addition, unlike semantic communication that optimizes coding to reduce the transmit-side data, end-to-end smart receivers achieve a transmit-side data reduction by a simple cropping of the data after channel coding.
To demonstrate that an end-to-end intelligent receiver still has the ability to decode effectively with reduced transmit-side data, we proposed two ways to reduce the transmit-side data, namely, a transmit-side data end-crop and an equal-interval data cut, and we verified that the receiver has the ability to decode accurately when a small amount of transmit-side data is end-cropped, but the receiver decoding ability decreases as the number of cuts increases. In contrast, for the equal-interval cropping of data, the receiver has the ability to recover the original information bits from the cropped data. With equal-interval cropping, the receiver still has a high decoding performance while reducing the data at the transmitter side, and this performance is better than the conventional decoding method.
The next work will investigate whether the receiver has the ability to decode accurately under data cropping using different coding methods, such as BLAST, STTC and differential space-time coding in MIMO systems. In addition, the optimal data cropping method corresponding to different channel coding methods, and the optimal data cropping size corresponding to the current cropping method, will be continued to be investigated.

Author Contributions

Conceptualization, A.W.; data curation, M.W. and Y.Z.; formal analysis, M.W., A.W. and Y.Z.; investigation, J.C.; methodology, M.W., A.W. and Y.Z.; project administration, A.W.; software, M.W. and Y.Z.; supervision, A.W.; writing—original draft, A.W.; writing—review and editing, Y.Z. All authors have read and agreed to the published version of the manuscript.

Funding

This research was funded by the Natural Science Foundation of China, ‘Theory and method of marine communication channel identification and model optimization’, Project No. U19B2015 and Shaanxi Province Key Industrial Innovation Chain Project, ‘Emergency rescue key technology research and equipment development for high-rise building mega-fire’, Project No. 2019ZDLSF07-06.

Institutional Review Board Statement

Not applicable.

Informed Consent Statement

Not applicable.

Data Availability Statement

Not applicable.

Conflicts of Interest

The authors declare no conflict of interest. The funders had no role in the design of the study, in the collection, analyses, or interpretation of data, in the writing of the manuscript, or in the decision to publish the results.

References

  1. Dong, Y.; Niu, K.; Dai, J.; Wang, S.; Yuan, Y. Joint source and channel coding using double polar codes. IEEE Commun. Lett. 2021, 25, 2810–2814. [Google Scholar] [CrossRef]
  2. Yang, M.; Bian, C.; Kim, H.-S. Deep joint source channel coding for wireless image transmission with OFDM. In Proceedings of the ICC 2021-IEEE International Conference on Communications, Montreal, QC, Canada, 14–23 June 2021; IEEE: Manhattan, NY, USA, 2021; pp. 1–6. [Google Scholar]
  3. Zheng, B.; You, C.; Mei, W.; Zhang, R. A survey on channel estimation and practical passive beamforming design for intelligent reflecting surface aided wireless communications. IEEE Commun. Surv. Tutor. 2022, 24, 1035–1071. [Google Scholar] [CrossRef]
  4. Dovelos, K.; Matthaiou, M.; Ngo, H.Q.; Bellalta, B. Channel estimation and hybrid combining for wideband terahertz massive MIMO systems. IEEE J. Sel. Areas Commun. 2021, 39, 1604–1620. [Google Scholar] [CrossRef]
  5. Weng, Z.; Qin, Z. Semantic communication systems for speech transmission. IEEE J. Sel. Areas Commun. 2021, 39, 2434–2444. [Google Scholar] [CrossRef]
  6. Xie, H.; Qin, Z.; Li, G.Y.; Juang, B.H. Deep learning enabled semantic communication systems. IEEE Trans. Signal Process. 2021, 69, 2663–2675. [Google Scholar] [CrossRef]
  7. Li, G.; Liu, F.; Sharma, A.; Khalaf, O.I.; Alotaibi, Y.; Alsufyani, A.; Alghamdi, S. Research on the natural language recognition method based on cluster analysis using neural network. Math. Probl. Eng. 2021, 2021, 9982305. [Google Scholar] [CrossRef]
  8. Radford, A.; Kim, J.W.; Hallacy, C.; Ramesh, A.; Goh, G.; Agarwal, S.; Sastry, G.; Askell, A.; Mishkin, P.; Clark, J.; et al. Learning transferable visual models from natural language supervision. In Proceedings of the International Conference on Machine Learning, Virtual Event, 18–24 July 2021; PMLR: New York, NY, USA, 2021; pp. 8748–8763. [Google Scholar]
  9. Hong, D.; Han, Z.; Yao, J.; Gao, L.; Zhang, B.; Plaza, A.; Chanussot, J. SpectralFormer: Rethinking hyperspectral image classification with transformers. IEEE Trans. Geosci. Remote Sens. 2021, 60, 3130716. [Google Scholar] [CrossRef]
  10. Machado, G.R.; Silva, E.; Goldschmidt, R.R. Adversarial machine learning in image classification: A survey toward the defender’s perspective. ACM Comput. Surv. 2021, 55, 1–38. [Google Scholar] [CrossRef]
  11. Jiang, P.; Wen, C.K.; Jin, S.; Li, G.Y. Dual CNN-based channel estimation for MIMO-OFDM systems. IEEE Trans. Commun. 2021, 69, 5859–5872. [Google Scholar] [CrossRef]
  12. Miao, P.; Yin, W.; Peng, H.; Yao, Y. Study of the performance of deep learning-based channel equalization for indoor visible light communication systems. Photonics 2021, 8, 453. [Google Scholar] [CrossRef]
  13. Janu, D.; Singh, K.; Kumar, S. Machine learning for cooperative spectrum sensing and sharing: A survey. Trans. Emerg. Telecommun. Technol. 2022, 33, e4352. [Google Scholar] [CrossRef]
  14. Mohanakurup, V.; Baghela, V.S.; Kumar, S.; Srivastava, P.K.; Doohan, N.V.; Soni, M.; Awal, H. 5G Cognitive Radio Networks Using Reliable Hybrid Deep Learning Based on Spectrum Sensing. Wirel. Commun. Mob. Comput. 2022, 2022, 1830497. [Google Scholar] [CrossRef]
  15. Honkala, M.; Korpi, D.; Huttunen, J.M.J. DeepRx: Fully convolutional deep learning receiver. IEEE Trans. Wirel. Commun. 2021, 20, 3925–3940. [Google Scholar] [CrossRef]
  16. Ye, H.; Li, G.Y.; Juang, B.H. Power of deep learning for channel estimation and signal detection in OFDM systems. IEEE Wirel. Commun. Lett. 2017, 7, 114–117. [Google Scholar] [CrossRef]
  17. Gao, X.; Jin, S.; Wen, C.K.; Li, G.Y. ComNet: Combination of deep learning and expert knowledge in OFDM receivers. IEEE Commun. Lett. 2018, 22, 2627–2630. [Google Scholar] [CrossRef]
  18. Zheng, S.; Chen, S.; Yang, X. DeepReceiver: A deep learning-based intelligent receiver for wireless communications in the physical layer. IEEE Trans. Cogn. Commun. Netw. 2020, 7, 5–20. [Google Scholar] [CrossRef]
  19. İncetaş, M.O.; Uçar, M.; Uçar, E.; Köse, U. A novel image Denoising approach using super resolution densely connected convolutional networks. Multimed. Tools Appl. 2022, 81, 33291–33309. [Google Scholar] [CrossRef]
Figure 1. Basic structure of MIMO transmitter.
Figure 1. Basic structure of MIMO transmitter.
Applsci 12 11706 g001
Figure 2. Alamouti space-time coding principle.
Figure 2. Alamouti space-time coding principle.
Applsci 12 11706 g002
Figure 3. MIMO wireless channel model.
Figure 3. MIMO wireless channel model.
Applsci 12 11706 g003
Figure 4. Principle of intelligent receiver model.
Figure 4. Principle of intelligent receiver model.
Applsci 12 11706 g004
Figure 5. Network structure of intelligent receiver.
Figure 5. Network structure of intelligent receiver.
Applsci 12 11706 g005
Figure 6. Basic framework of transmitter of traditional communication system.
Figure 6. Basic framework of transmitter of traditional communication system.
Applsci 12 11706 g006
Figure 7. The architecture of the receiver of the communication system.
Figure 7. The architecture of the receiver of the communication system.
Applsci 12 11706 g007
Figure 8. Data cutting idea. (a) CNN recognition under different input data. (b) Data clipping idea at transmitter.
Figure 8. Data cutting idea. (a) CNN recognition under different input data. (b) Data clipping idea at transmitter.
Applsci 12 11706 g008
Figure 9. Matrix multiplication to realize equal interval cutting of data.
Figure 9. Matrix multiplication to realize equal interval cutting of data.
Applsci 12 11706 g009
Figure 10. Data cutting method at the transmitting end.
Figure 10. Data cutting method at the transmitting end.
Applsci 12 11706 g010
Figure 11. Data end-crop receiver performance. (a) Intelligent receiver performance under different cropped data in AWGN channel. (b) Performance of different end-crop receivers with end data removed.
Figure 11. Data end-crop receiver performance. (a) Intelligent receiver performance under different cropped data in AWGN channel. (b) Performance of different end-crop receivers with end data removed.
Applsci 12 11706 g011aApplsci 12 11706 g011b
Figure 12. Intelligent receiver performance under different cropped data in Rayleigh channel.
Figure 12. Intelligent receiver performance under different cropped data in Rayleigh channel.
Applsci 12 11706 g012
Figure 13. Comparison of equally spaced cropped data.
Figure 13. Comparison of equally spaced cropped data.
Applsci 12 11706 g013
Publisher’s Note: MDPI stays neutral with regard to jurisdictional claims in published maps and institutional affiliations.

Share and Cite

MDPI and ACS Style

Wang, M.; Wang, A.; Zhang, Y.; Chai, J. Research on the Performance of an End-to-End Intelligent Receiver with Reduced Transmitter Data. Appl. Sci. 2022, 12, 11706. https://doi.org/10.3390/app122211706

AMA Style

Wang M, Wang A, Zhang Y, Chai J. Research on the Performance of an End-to-End Intelligent Receiver with Reduced Transmitter Data. Applied Sciences. 2022; 12(22):11706. https://doi.org/10.3390/app122211706

Chicago/Turabian Style

Wang, Mingbo, Anyi Wang, Yuzhi Zhang, and Jing Chai. 2022. "Research on the Performance of an End-to-End Intelligent Receiver with Reduced Transmitter Data" Applied Sciences 12, no. 22: 11706. https://doi.org/10.3390/app122211706

APA Style

Wang, M., Wang, A., Zhang, Y., & Chai, J. (2022). Research on the Performance of an End-to-End Intelligent Receiver with Reduced Transmitter Data. Applied Sciences, 12(22), 11706. https://doi.org/10.3390/app122211706

Note that from the first issue of 2016, this journal uses article numbers instead of page numbers. See further details here.

Article Metrics

Back to TopTop