Use of the Dynamic Cone Penetrometer in Compacted Clay–Sand Layers
Abstract
1. Introduction
2. Materials and Sample Preparations
2.1. Materials
2.1.1. Sand
2.1.2. Bentonite
2.2. Sample Preparation Methods
3. Test Methods and Procedures
3.1. Dynamic Cone Penetrometer
3.2. Standard Proctor for Liner Material
3.3. Direct Shear Test
3.4. Consolidation and Swell Characteristics of the Clay–Sand Layers
4. Test Results
5. Discussion
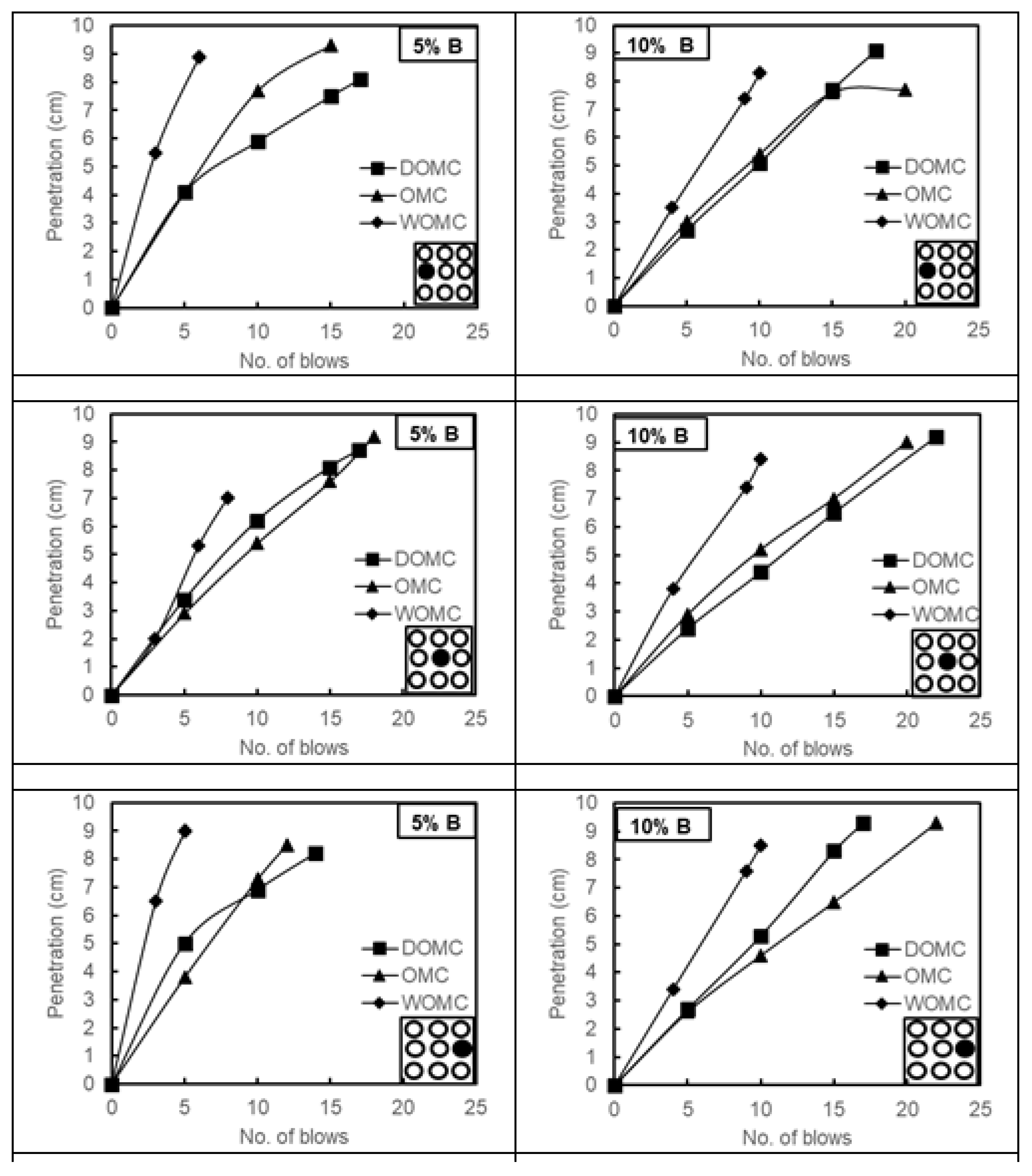
5.1. Dynamic Cone Penetrometer
5.2. Consolidation and Swell Tests
5.3. Shear Strength Tests
5.4. Contours of Equal DCP Penetration
6. Conclusions
Author Contributions
Funding
Data Availability Statement
Acknowledgments
Conflicts of Interest
References
- ASTM D6951/D6951M-18; Standard Test Method for Use of the Dynamic Cone Penetrometer in Shallow Pavement Applications. ASTM International: West Conshohocken, PA, USA, 2018. Available online: www.astm.org/d6951_d6951m-18.html (accessed on 6 November 2022).
- Dafalla, M.; Shaker, A.; Almajed, A.; Kehinde, L. Assessment of shear strength for liner cover layers at different environmental exposures. Jpn. Geotech. Soc. Spéc. Publ. 2021, 9, 118–123. [Google Scholar] [CrossRef]
- Mohamedzein, Y.E.-A.; Al-Rawas, A.A.; Al-Aghbari, M.Y.; Qatan, A.; Al-Rawas, A.-H. Assessment of crushed shales for use as compacted landfill liners. Eng. Geol. 2005, 80, 271–281. [Google Scholar] [CrossRef]
- Obrike, S.E.; Osadebe, C.C.; Omoniyi, S.S. Geotechnical analysis of two Nigerian soils for use as clay liners liners. Bull. Eng. Geol. Environ. 2009, 68, 417–419. [Google Scholar] [CrossRef]
- Langdon, N.J.; Al Hussaini, M.J.; Walden, P.J.; Sangha, C.M. An assessment of permeability of clay liners: Two case histories. Geological society, London. Eng. Geol. Spec. Publ. 2008, 68, 291–297. [Google Scholar]
- Daniel, D.E. Geotechnical Practice for Waste Disposal; Daniel, D.E., Ed.; Chapman & Hall: London, UK, 1993. [Google Scholar]
- Dafalla, M.A. Efficiency of Sand Clay Liners in Controlling Subsurface Water Flow. In Engineering Geology for Society and Territory; Springer: Berlin/Heidelberg, Germany, 2015; pp. 497–499. [Google Scholar] [CrossRef]
- British Standards Institution (BSI). British Standard Methods of Test for Soils for Civil Engineering Purposes; BS 1377-2; British Standards Institution: London, UK, 1990. [Google Scholar]
- ISO 17892-6:2017; Geotechnical Investigation and Testing—Laboratory Testing of Soil—Part 6: Fall Cone Test. European Committee for Standardization: Brussels, Belgium, 2017.
- Hansbo, S. A new approach to determination of shear strength of clays by the fall-cone test. Proc. Roy. SGI 1957, 14, 7–48. [Google Scholar]
- Spagnoli, G. Comparazione delle Prove Penetrometriche Dinamiche in Europa conCorrelazioni Geotecniche. Master Thesis, Universitá degli Studi di Milano Bicocca, Milano, Italy, 2006. An Empirical Correlation Between Different Dynamic Penetrometers. Available online: https://www.researchgate.net/publication/228348623_An_Empirical_Correlation_Between_Different_Dynamic_Penetrometers (accessed on 9 November 2022).
- Spagnoli, G. An Empirical Correlation Between Different Dynamic Penetrometers. Electron. J. Geotech. Eng. 2007, 13, 1–11. [Google Scholar]
- Rehman, M.A.; Desa, S.M.; Rahman, N.A.; Mohd, M.S.F.; Aminuddin, N.A.S.; Taib, A.M.; Karim, O.A.; Awang, S.; Mohtar, W.H.M.W. Correlation between soil erodibility and light penetrometer blows: A case study in Sungai Langat, Malaysia. Phys. Chem. Earth Parts A/B/C 2022, 128, 103262. [Google Scholar] [CrossRef]
- DIN—Deutsches Institut für Normung. Erkundung und Untersuchung des Baugrunds; DIN: Berlin, Germeny, 2002. [Google Scholar]
- Vesic, A.S. Expansion of cavities in infinite soil mass. J. Soil Mech. Found. Div. 1967, 98, 265–290. [Google Scholar] [CrossRef]
- Baligh, M.M. Strain path method. J. Geotechical Eng. 1995, 111, 1108–1136. [Google Scholar] [CrossRef]
- Carter, P.; Booker, J.R.; Yeung, S.K. Cavity expansion in cohesive frictional soils. Geotechique 1986, 36, 349–358. [Google Scholar] [CrossRef]
- Schnaid, F.; Consoli, N.C.; Mantaras, F.M. Assessment of soil parameters from pressuremeter tests in unsaturated soils. Solos E Rochas 1995, 18, 129–137. [Google Scholar]
- Schnaid, F.; Sills, G.C.; Consoli, N.C. Pressuremeter Tests in Unsaturated Soils. In Advances in Site Investigation Practice; Thomas Telford: London, UK, 1996; pp. 586–597. [Google Scholar]
- Teh, C.I.; Houlsby, G.T. An Analytical Study of the Cone Penetration Test in Clay. Geotechnique 1991, 41, 17–34. [Google Scholar] [CrossRef]
- Yu, H.S.; Herrmann, L.R.; Boulanger, R.W. Analysis of steady cone penetration in clay. J. Geotech. Geoenvironmental Eng. 2000, 126, 594–605. [Google Scholar] [CrossRef]
- Jiang, M.J.; Sun, Y.G. Cavity expansion analyses of crushable granular materials with state-dependent dilatancy. Int. J. Numer. Anal. Methods Géoméch. 2012, 36, 723–742. [Google Scholar] [CrossRef]
- Nazem, M.; Carter, J.; Airey, D.; Chow, S. Dynamic analysis of a smooth penetrometer free-falling into uniform clay. Géotechnique 2012, 62, 893–905. [Google Scholar] [CrossRef]
- Collins, R.; Miller, G.A. Cone Penetration Testing in Unsaturated Soils at Two Instrumented Test Sites. In Proceedings of the 6th International Conference on Unsaturated Soils; UNSAT Balkema Lisse; CRC Press: Boca Raton, FL, USA, 2014; pp. 1489–1494. [Google Scholar]
- Presti, D.L.; Squeglia, N.; Cosanti, B. Evaluating Degree Of Compaction Of Levees Using Cone Penetration Testing. J. GeoEngineering 2018, 13, 121–134. [Google Scholar] [CrossRef]
- ASTM D698; Standard Test Methods for Laboratory Compaction Characteristics of Soil Using Standard Effort (12 400 ft-lbf/ft3 (600 kN-m/m3)). D-18 Committee on Soils and Rocks: West Conshohocken, PA, USA, 2000; Volume 4.08.
- ASTM D3080; Standard Test Method for Direct Shear Test of Soils Under Consolidated Drained Conditions. ASTM International: West Conshohocken, PA, USA, 2011. [CrossRef]
- ASTM D4546; Standard Test Method for One Dimensional Swell or Collapse of Soils. ASTM International: West Conshohocken, PA, USA, 2021.
- ASTM D2435/D2435M-11; Standard Test Methods for One-Dimensional Consolidation Properties of Soils Using Incremental Loading. ASTM International: West Conshohocken, PA, USA, 2011.
- Dafalla, M.A. The Compressibility and Swell of Mixtures for Sand-Clay Liners. Adv. Mater. Sci. Eng. 2017, 2017, 3181794. [Google Scholar] [CrossRef]
- Shaker, A.A.; Dafalla, M.; Al-Mahbashi, A.M.; Al-Shamrani, M.A. Predicting Hydraulic Conductivity for Flexible Wall Conditions Using Rigid Wall Permeameter. Water 2022, 14, 286. [Google Scholar] [CrossRef]
- Al-Mahbashi, A.; Dafalla, M.; Shaker, A.; Al-Shamrani, M. Sustainable and Stable Clay Sand Liners over Time. Sustainability 2021, 13, 7840. [Google Scholar] [CrossRef]
- Dafalla, M.; Shaker, A.A.; Elkady, T.; A Alshamrani, M.; Dhowian, A. Effects of confining pressure and effective stress on hydraulic conductivity of sand-clay mixtures. Arab. J. Geosci. 2015, 8, 9993–10001. [Google Scholar] [CrossRef]
- Mollins, L.H. The Design of Bentonite—Sand Mixtures. Ph.D. Thesis, University of Leeds, Leeds, UK, 1996. [Google Scholar]















| Oxides | Concentration (wt %) |
|---|---|
| SiO2 | 55.20 |
| Al2O3 | 17.00 |
| FeO3 | 2.90 |
| Na2O | 1.90 |
| MgO | 4.60 |
| CaO | 0.90 |
| TiO2 | <0.01 |
| K2O | 0.10 |
| Loss of Ignition | 16.70 |
| Total | 99.30 |
| Mixture Bentonite Content | Moisture State | Actual wc (%) | Actual ϒwet (gm/cm3) | Actual ϒdry (gm/cm3) | Measured Cohesion C kPA | Measured Friction Angle φ |
|---|---|---|---|---|---|---|
| 5% B | DOMC | 9.88 | 1.820 | 1.656 | 2.2 | 38.6 |
| OMC | 13.85 | 1.961 | 1.723 | 15.2 | 33.5 | |
| WOMC | 17.33 | 1.895 | 1.615 | 6.5 | 36.4 | |
| 10% B | DOMC | 10.63 | 1.869 | 1.689 | 22.3 | 33.4 |
| OMC | 13.61 | 1.979 | 1.742 | 30 | 33.5 | |
| WOMC | 18.68 | 1.887 | 1.590 | 18 | 34 |
| Mixture Bentonite Content | Moisture State | Compression Index (Cc) | Swelling Index (Cr) |
|---|---|---|---|
| 5% B | DOMC | 0.034 | 0.012 |
| OMC | 0.033 | 0.011 | |
| WOMC | 0.031 | 0.010 | |
| 10% B | DOMC | 0.038 | 0.015 |
| OMC | 0.032 | 0.011 | |
| WOMC | 0.026 | 0.011 |
Publisher’s Note: MDPI stays neutral with regard to jurisdictional claims in published maps and institutional affiliations. |
© 2022 by the authors. Licensee MDPI, Basel, Switzerland. This article is an open access article distributed under the terms and conditions of the Creative Commons Attribution (CC BY) license (https://creativecommons.org/licenses/by/4.0/).
Share and Cite
Dafalla, M.; Shaker, A.; Al-Shamrani, M. Use of the Dynamic Cone Penetrometer in Compacted Clay–Sand Layers. Appl. Sci. 2022, 12, 11547. https://doi.org/10.3390/app122211547
Dafalla M, Shaker A, Al-Shamrani M. Use of the Dynamic Cone Penetrometer in Compacted Clay–Sand Layers. Applied Sciences. 2022; 12(22):11547. https://doi.org/10.3390/app122211547
Chicago/Turabian StyleDafalla, Muawia, Abdullah Shaker, and Mosleh Al-Shamrani. 2022. "Use of the Dynamic Cone Penetrometer in Compacted Clay–Sand Layers" Applied Sciences 12, no. 22: 11547. https://doi.org/10.3390/app122211547
APA StyleDafalla, M., Shaker, A., & Al-Shamrani, M. (2022). Use of the Dynamic Cone Penetrometer in Compacted Clay–Sand Layers. Applied Sciences, 12(22), 11547. https://doi.org/10.3390/app122211547

