Fault Detection and Isolation of Load Mutation Caused by Electrical Interference of Single-Shaft Combined Cycle Power Plant
Abstract
1. Introduction
2. Fault Analysis of Load Mutation Caused by Electrical Interference
2.1. Pulsing Load-Mutation Fault
2.2. Oscillating Load-Mutation Fault
3. Mathematical Modeling of CCPP
3.1. CCPP Modeling
3.1.1. Gas Turbine
3.1.2. HRSG Modelling
3.1.3. Steam Turbine Modelling
3.2. Fault Setting
4. Results and Discussion of Load Mutation
4.1. Simulation and Analysis of Pulsing Load Mutation
4.2. Simulation and Analysis of Oscillating Load Mutation
4.2.1. Simulation and Analysis of Oscillating Load Mutation
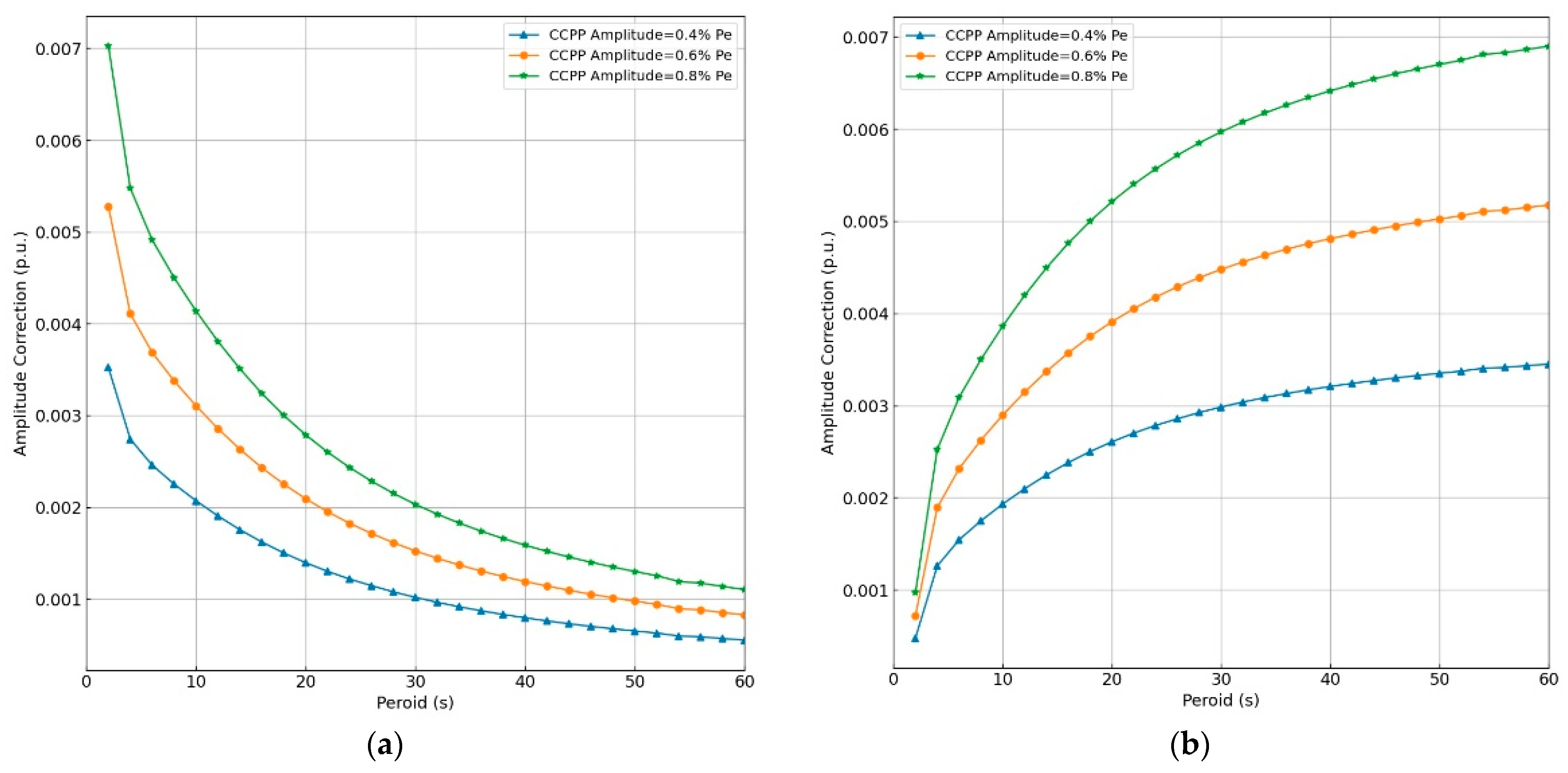
4.2.2. Effect of Load Oscillation Period on the Simulation Results of Two Simulation Models
5. Analysis of Fault Isolation Methods for Pulsing Load Mutation
5.1. Fault Isolation Scheme for Pulsing Load Mutation
5.2. Results and Discussion of Fault Isolation Method
6. Conclusions
Author Contributions
Funding
Institutional Review Board Statement
Data Availability Statement
Conflicts of Interest
References
- Zhu, G.; Neises, T.; Turchi, C.; Bedilion, R. Thermodynamic evaluation of solar integration into a natural gas combined cycle power plant. Renew. Energy 2015, 74, 815–824. [Google Scholar] [CrossRef]
- Wang, Y.; Bhattacharyya, D.; Turton, R. Evaluation of novel configurations of natural gas combined cycle (NGCC) power plants for load-following operation using dynamic modeling and optimization. Energy Fuels 2019, 34, 1053–1070. [Google Scholar] [CrossRef]
- Impram, S.; Nese, S.V.; Oral, B. Challenges of renewable energy penetration on power system flexibility: A survey. Energy Strategy Rev. 2020, 31, 100539. [Google Scholar] [CrossRef]
- Aliyu, M.; AlQudaihi, A.B.; Said, S.A.M.; Habib, M.A. Energy, exergy and parametric analysis of a combined cycle power plant. Therm. Sci. Eng. Prog. 2020, 15, 100450. [Google Scholar] [CrossRef]
- Bahrami, S.; Ghaffari, A.; Genrup, M.; Thern, M. Performance comparison between steam injected gas turbine and combined cycle during frequency drops. Energies 2015, 8, 7582–7592. [Google Scholar] [CrossRef]
- Smith, R.W. Steam turbine cycles and cycle design optimization: Combined cycle power plants. In Advances in Steam Turbines for Modern Power Plants; Woodhead Publishing: Sawston, UK, 2022; pp. 61–102. [Google Scholar]
- Han, Y.; Feng, Y.; Yang, P.; Xu, L.; Zalhaf, A.S. An efficient algorithm for atomic decomposition of power quality disturbance signals using convolutional neural network. Electr. Power Syst. Res. 2022, 206, 107790. [Google Scholar] [CrossRef]
- Tüfekci, P. Prediction of full load electrical power output of a base load operated combined cycle power plant using machine learning methods. Int. J. Electr. Power Energy Syst. 2014, 60, 126–140. [Google Scholar] [CrossRef]
- Ghosh, T.; Martinsen, K.; Dan, P.K. Data-driven beetle antennae search algorithm for electrical power modeling of a combined cycle power plant. In Proceedings of the World Congress on Global Optimization, Metz, France, 8 July 2019. [Google Scholar]
- Lorencin, I.; Anđelić, N.; Mrzljak, V.; Car, Z. Genetic algorithm approach to design of multi-layer perceptron for combined cycle power plant electrical power output estimation. Energies 2019, 12, 4352. [Google Scholar] [CrossRef]
- Siddiqui, R.; Anwar, H.; Ullah, F.; Ullah, R.; Rehman, M.A.; Jan, N.; Zaman, F. Power Prediction of Combined Cycle Power Plant (CCPP) Using Machine Learning Algorithm-Based Paradigm. Wirel. Commun. Mob. Comput. 2021, 2021, 9966395. [Google Scholar] [CrossRef]
- Therkorn, D. Remote monitoring and diagnostic for combined-cycle power plants. In Proceedings of the Turbo Expo: Power for Land, Sea, and Air, Reno, NV, USA, 6 June 2005; Volume 46997, pp. 697–703. [Google Scholar]
- Davallo, H.E.; Bahrevar, R.; Chaibakhsh, A. Fault diagnosis of Combined Cycle Power Plant Using ELM. In Proceedings of the 2019 7th International Conference on Robotics and Mechatronics (ICRoM), Tehran, Iran, 20 November 2019; pp. 40–45. [Google Scholar]
- Berrios, R.; Núñez, F.; Cipriano, A. Fault tolerant measurement system based on Takagi–Sugeno fuzzy models for a gas turbine in a combined cycle power plant. Fuzzy Sets Syst. 2011, 174, 114–130. [Google Scholar] [CrossRef]
- Camporeale, S.; Dambrosio, L.; Milella, A.; Mastrovito, M.; Fortunato, B. Fault diagnosis of combined cycle gas turbine components using feed forward neural networks. In Proceedings of the Turbo Expo: Power for Land, Sea, and Air, Atlanta, GA, USA, 15–17 June 2003; Volume 36843, pp. 549–561. [Google Scholar]
- Finn, J.; Wagner, J.; Bassily, H. Monitoring strategies for a combined cycle electric power generator. Appl. Energy 2010, 87, 2621–2627. [Google Scholar] [CrossRef]
- Al-Tameemi, A.A.; Wang, K.; Li, L.; Zalhaf, A.S. A Convolutional Attention Mechanism-based Capsule Network scheme for Gearbox fault diagnosis using Two directions signals and Noise Environment. In Proceedings of the 2021 IEEE 5th Information Technology, Networking, Electronic and Automation Control Conference (ITNEC), Xi’an, China, 15 October 2021; Volume 5, pp. 91–100. [Google Scholar]
- Yao, K.; Wang, Y.; Fan, S.; Wan, J.; Wu, H.; Cao, Y. Fault Mechanism and Diagnosis Method of Typical Load Mutation Problem of Turbo-generator Set. Front. Energy Res. 2020, 10, 1325. [Google Scholar] [CrossRef]
- Qasem, M.A.; Albagul, A. Performance investigation of the gas turbine with the combined power plant. In Proceedings of the 2021 IEEE 1st International Maghreb Meeting of the Conference on Sciences and Techniques of Automatic Control and Computer Engineering MI-STA, Tripoli, Libya, 25 May 2021; pp. 485–490. [Google Scholar]
- Yang, Q.; Li, S.; Cao, Y. A strong tracking filter based multiple model approach for gas turbine fault diagnosis. J. Mech. Sci. Technol. 2018, 32, 465–479. [Google Scholar] [CrossRef]
- Yang, Q.; Li, S.; Cao, Y. Multiple model-based detection and estimation scheme for gas turbine sensor and gas path fault simultaneous diagnosis. J. Mech. Sci. Technol. 2019, 33, 1959–1972. [Google Scholar] [CrossRef]
- Zhang, G.; Zheng, J.; Yang, Y.; Liu, W. Thermodynamic performance simulation and concise formulas for triple-pressure reheat HRSG of gas–steam combined cycle under off-design condition. Energy Convers. Manag. 2016, 122, 372–385. [Google Scholar] [CrossRef]
- Kiaee, M.; Tousi, A.M. Vector-based deterioration index for gas turbine gas-path prognostics modeling framework. Energy 2021, 216, 119198. [Google Scholar] [CrossRef]











Publisher’s Note: MDPI stays neutral with regard to jurisdictional claims in published maps and institutional affiliations. |
© 2022 by the authors. Licensee MDPI, Basel, Switzerland. This article is an open access article distributed under the terms and conditions of the Creative Commons Attribution (CC BY) license (https://creativecommons.org/licenses/by/4.0/).
Share and Cite
Yao, K.; Wang, Y.; Li, Z.; Li, J.; Wan, J.; Cao, Y. Fault Detection and Isolation of Load Mutation Caused by Electrical Interference of Single-Shaft Combined Cycle Power Plant. Appl. Sci. 2022, 12, 11472. https://doi.org/10.3390/app122211472
Yao K, Wang Y, Li Z, Li J, Wan J, Cao Y. Fault Detection and Isolation of Load Mutation Caused by Electrical Interference of Single-Shaft Combined Cycle Power Plant. Applied Sciences. 2022; 12(22):11472. https://doi.org/10.3390/app122211472
Chicago/Turabian StyleYao, Kun, Ying Wang, Zongjie Li, Jiajia Li, Jie Wan, and Yong Cao. 2022. "Fault Detection and Isolation of Load Mutation Caused by Electrical Interference of Single-Shaft Combined Cycle Power Plant" Applied Sciences 12, no. 22: 11472. https://doi.org/10.3390/app122211472
APA StyleYao, K., Wang, Y., Li, Z., Li, J., Wan, J., & Cao, Y. (2022). Fault Detection and Isolation of Load Mutation Caused by Electrical Interference of Single-Shaft Combined Cycle Power Plant. Applied Sciences, 12(22), 11472. https://doi.org/10.3390/app122211472
