Effect of Doping on the Bandgap of the Organic–Inorganic Hybrid Ferroelectric Material [C6N2H18]Bi1−xSbxI5 (0.0 < x < 1.0)
Abstract
1. Introduction
2. Experiment
Preparation of Multicomponent Hybrid Ferroelectric Films
- (1)
- The prepared [C6N2H18]BiI5 and [C6N2H18]SbI5 powders were removed and placed on a hot plate for heating. The purpose of this step was to remove the moisture present in the powders due to moisture and the excess HI.
- (2)
- The molecular masses of the two materials [C6N2H18]BiI5 and [C6N2H18]SbI5 were calculated and mixed in different molar ratios of 0.8:0.2, 0.6:0.4, 0.5:0.5, 0.4:0.6, and 0.2:0.8.
- (3)
- The mixed powder was completely dissolved in DMF solution at a concentration of 500 mg/mL. Magnetic stirring or sonication could be used to speed up this process.
- (4)
- The completely dissolved ferroelectric mixture was filtered through a 0.22 μm filter to obtain a solution for spin-coating.
- (5)
- The spin-coating method is described in the supporting literature and is not repeated here.
3. Results and Discussion
3.1. X-ray Diffraction Characterization of Single Ferroelectric Films
3.2. XRD Characterization of Multicomponent Hybrid Ferroelectric Films
3.3. Study on the Morphology of Multicomponent Hybrid Ferroelectric Films
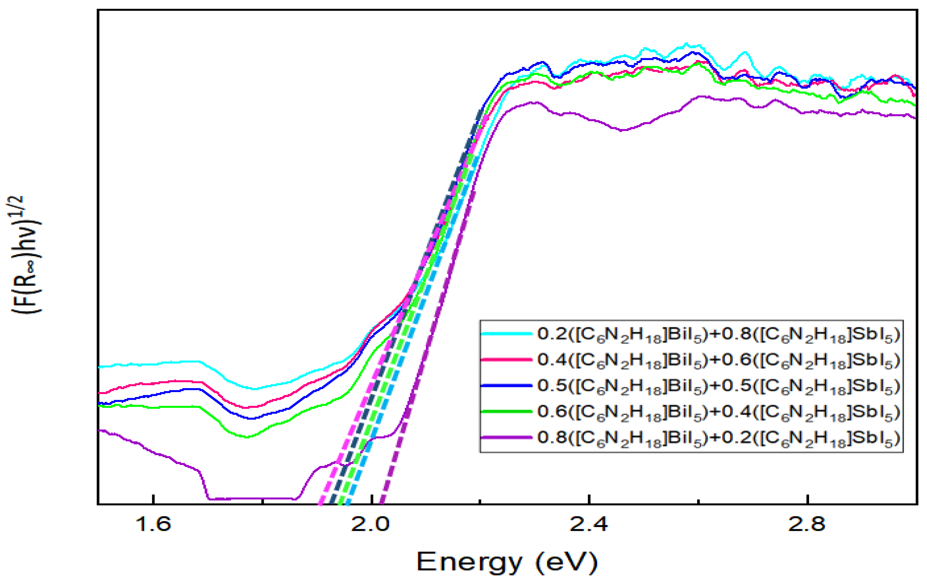
3.4. Study of Photophysical Properties of Multicomponent Hybrid Ferroelectric Thin Films
3.5. Calculation of Theoretical Bandgap Values for Multicomponent Hybrid Ferroelectric Materials
4. Conclusions
Supplementary Materials
Author Contributions
Funding
Institutional Review Board Statement
Informed Consent Statement
Data Availability Statement
Acknowledgments
Conflicts of Interest
References
- Lee, M.M.; Teuscher, J.; Miyasaka, T.; Murakami, T.N. Efficient Hybrid Solar Cells Based on MesoSuperstructured Organometal Halide Perovskites. Science 2012, 338, 643–647. [Google Scholar] [CrossRef] [PubMed]
- Ye, L.; Fan, B.H.; Zhang, S.Q.; Li, S.; Yang, B.; Qin, Y.; Zhang, H.; Hou, J. Perovskite-polymer hybrid solar cells with near-infrared external quantum efficiency over 40%. Sci. China Mater. 2015, 58, 953–960. [Google Scholar] [CrossRef]
- Cho, K.T.; Paek, S.; Grancini, G.; Roldán-Carmona, C.; Gao, P.; Lee, Y.; Nazeeruddin, M.K. Nazeeruddin. Highly efficient perovskite solar cells with a compositionally engineered perovskite/hole transporting material interface. Energy Environ. Sci. 2017, 10, 621–627. [Google Scholar] [CrossRef]
- Zheng, X.; Hou, Y.; Bao, C.; Yin, J.; Yuan, F.; Huang, Z.; Song, K.; Liu, J.; Troughton, J.; Gasparini, N.; et al. Managing grains and interfaces via ligand anchoring enables 22.3%-efficiency inverted perovskite solar cells. Nature Energy 2020, 5, 131–140. [Google Scholar] [CrossRef]
- Li, X.; Bi, D.; Yi, C.; Decoppet, J.D. A vacuum flash-assisted solution process for high-efficiency large-area perovskite solar cells. Science 2016, 353, 58–62. [Google Scholar] [CrossRef] [PubMed]
- Zhang, H.Y.; Wei, Z.; Li, P.F.; Tang, Y.Y.; Liao, W.Q.; Ye, H.Y.; Cai, H.; Xiong, R.-G. The narrowest band gap ever observed in molecular ferroelectrics: Hexane-1,6-diammonium pentaiodobismuth(iii). Angew. Chem. Int. Ed. 2018, 57, 526–530. [Google Scholar] [CrossRef]
- Li, K.; Zhang, W.; Guo, K.; Cui, R.; Deng, C.; Wang, X. Modulating light absorption and multiferroic properties of BiFeO3-based ferroelectric films by the introduction of the ZnO layer. Mater. Res. Express 2022, 9, 036402. [Google Scholar]
- Nechache, R.; Harnagea, C.; Li, S.; Cardenas, L.; Huang, W.; Chakrabartty, J.; Rosei, F. Bandgap tuning of multiferroic oxide solar cells. Nat. Photonics 2015, 9, 61–67. [Google Scholar] [CrossRef]
- Chang, J.; Lin, Z.; Zhu, H.; Isikgor, F.H.; Xu, Q.-H.; Zhang, C.; Hao, Y.; Ouyang, J. Enhancing the Photovoltaic Performance of Planar Heterojunction Perovskite Solar Cells by Doping the Perovskite Layer with Alkali Metal Ions. J. Mater. Chem. A 2016, 4, 16546–16552. [Google Scholar] [CrossRef]
- Tang, Z.; Bessho, T.; Awai, F.; Kinoshita, T.; Maitani, M.; Jono, R.; Murakami, T.N.; Wang, H.; Kubo, T.; Uchida, S.; et al. Hysteresis-free perovskite solar cells made of potassium-doped organometal halide perovskite. Sci. Rep. 2017, 7, 12183. [Google Scholar] [CrossRef] [PubMed]
- Zhao, W.G.; Yao, Z.; Yu, F.Y.; Yang, D.; Liu, S. Alkali Metal Doping for Improved CH3NH3PbI3 Perovskite Solar Cells. Adv. Sci. 2018, 5, 1700131. [Google Scholar] [CrossRef] [PubMed]
- Tang, Z.; Uchida, S.; Bessho, T.; Kinoshita, T.; Wang, H.; Awai, F.; Jono, R.; Maitani, M.M.; Nakazaki, J.; Kubo, T.; et al. Modulations of various alkali metal cations on organometal halide perovskites and their influence on photovoltaic performance. Nano Energy 2018, 45, 184–192. [Google Scholar] [CrossRef]
- Luo, Y. First-Principles Study of Doped Two-Dimensional Ferroelectric Materials In2Se3. Master’s thesis, University of Science and Technology of China, Hefei, China, 1 April 2021. [Google Scholar]
- Zhang, Q. Research on Optoelectronic Properties of Bismuth Titanate-Based Ferroelectric Materials and Their Applications. Master’s Thesis, University of Electronic Science and Technology, Chengdu, China, 1 March 2020. [Google Scholar]
- Sun, H.L.; Huang, C.G.; Zhengang, G. Structural and physical properties of magnetically ionized Fe doped barium titanate ferroelectric materials. J. Artif. Cryst. 2014, 43, 1662–1667. [Google Scholar]
- Gao, J.X.; Hua, X.N.; Chen, X.G.; Mei, G.Q.; Liao, W.Q. [C6N2H18][SbI5]: A lead-free hybrid halide semiconductor with exceptional dielectric relaxation. Inorg. Chem. 2019, 58, 4337–4343. [Google Scholar] [CrossRef] [PubMed]
- Fabian, D.M.; Ardo, S. Hybrid organic-inorganic solar cells based on bismuth iodide and 1,6-hexanediammonium dication. J. Mater. Chem. A 2016, 4, 6837–6841. [Google Scholar] [CrossRef]
- Filip, M.R.; Eperon, G.E.; Snaith, H.J.; Giustino, F. Steric engineering of metal-halide perovskites with tunable optical band gaps. Nat. Commun. 2014, 15, 5757. [Google Scholar] [CrossRef] [PubMed]






Publisher’s Note: MDPI stays neutral with regard to jurisdictional claims in published maps and institutional affiliations. |
© 2022 by the authors. Licensee MDPI, Basel, Switzerland. This article is an open access article distributed under the terms and conditions of the Creative Commons Attribution (CC BY) license (https://creativecommons.org/licenses/by/4.0/).
Share and Cite
Guo, X.; Zhu, J.; Zou, X.; Huang, W.; Zhang, C.; Zhou, Z.; Wang, J.; Wang, H.; Zhang, H. Effect of Doping on the Bandgap of the Organic–Inorganic Hybrid Ferroelectric Material [C6N2H18]Bi1−xSbxI5 (0.0 < x < 1.0). Appl. Sci. 2022, 12, 10454. https://doi.org/10.3390/app122010454
Guo X, Zhu J, Zou X, Huang W, Zhang C, Zhou Z, Wang J, Wang H, Zhang H. Effect of Doping on the Bandgap of the Organic–Inorganic Hybrid Ferroelectric Material [C6N2H18]Bi1−xSbxI5 (0.0 < x < 1.0). Applied Sciences. 2022; 12(20):10454. https://doi.org/10.3390/app122010454
Chicago/Turabian StyleGuo, Xin, Jialin Zhu, Xiaoping Zou, Wenqi Huang, Chunqian Zhang, Zixiao Zhou, Junqi Wang, Hao Wang, and Hanmiao Zhang. 2022. "Effect of Doping on the Bandgap of the Organic–Inorganic Hybrid Ferroelectric Material [C6N2H18]Bi1−xSbxI5 (0.0 < x < 1.0)" Applied Sciences 12, no. 20: 10454. https://doi.org/10.3390/app122010454
APA StyleGuo, X., Zhu, J., Zou, X., Huang, W., Zhang, C., Zhou, Z., Wang, J., Wang, H., & Zhang, H. (2022). Effect of Doping on the Bandgap of the Organic–Inorganic Hybrid Ferroelectric Material [C6N2H18]Bi1−xSbxI5 (0.0 < x < 1.0). Applied Sciences, 12(20), 10454. https://doi.org/10.3390/app122010454

