Horizontal Active Noise Control Based on Wave Field Reproduction Using a Single Circular Array in 3D Space
Abstract
1. Introduction
2. 2D Wave Field Reproduction in 3D Space Using a Single Circular Array
2.1. Wave Field Reproduction Error with Respect to
2.2. Wave Field Reproduction Error with Radii and
3. Simulation Results
3.1. Single Noise Simulations
3.2. Multifrequency Noise Simulations
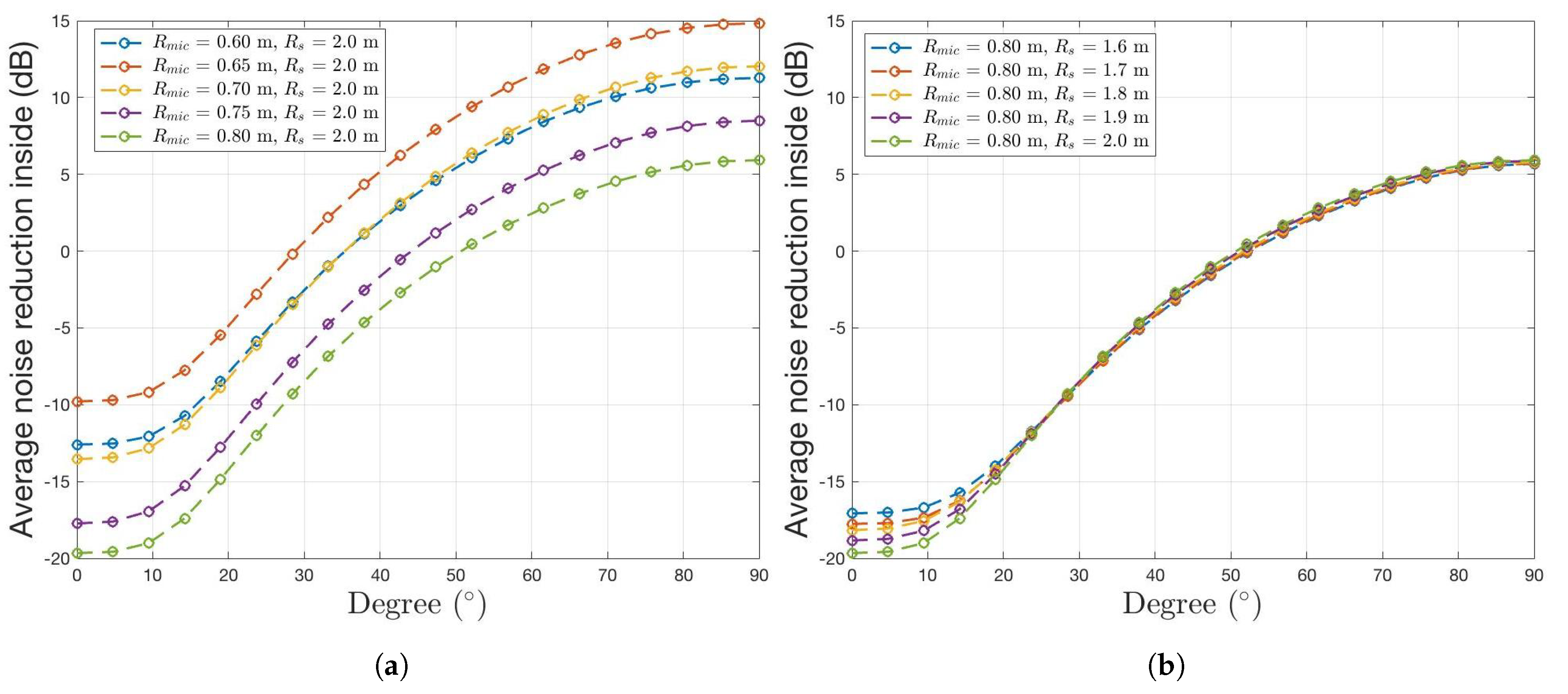
3.3. Noise Reduction with Respect to the Noise Source Angle
4. Comparison between the Simulation and Experimental Results
5. Conclusions
Author Contributions
Funding
Institutional Review Board Statement
Informed Consent Statement
Data Availability Statement
Conflicts of Interest
References
- Elliott, S.J.; Johnson, M.E. Radiation modes and the active control of sound power. J. Acoust. Soc. Am. 1993, 94, 2194–2204. [Google Scholar] [CrossRef]
- Jeon, O.; Kim, H.G.; Wang, S. Optimal Filter Design of a Virtual Mechanical Impedance Control System for Multifrequency Active Sound Power Reduction of Enclosure Panels. IEEE Access 2021, 9, 104227–104241. [Google Scholar] [CrossRef]
- Elliott, S. Signal Processing for Active Control; Elsevier: Amsterdam, The Netherlands, 2000. [Google Scholar]
- Kuo, S.M.; Mitra, S.; Gan, W.S. Active noise control system for headphone applications. IEEE Trans. Control. Syst. Technol. 2006, 14, 331–335. [Google Scholar] [CrossRef]
- Patel, V.; Cheer, J.; Fontana, S. Design and implementation of an active noise control headphone with directional hear-through capability. IEEE Trans. Consum. Electron. 2019, 66, 32–40. [Google Scholar] [CrossRef]
- Parkins, J.W.; Sommerfeldt, S.D.; Tichy, J. Narrowband and broadband active control in an enclosure using the acoustic energy density. J. Acoust. Soc. Am. 2000, 108, 192–203. [Google Scholar] [CrossRef] [PubMed]
- Spors, S.; Ahrens, J. A comparison of wave field synthesis and higher-order ambisonics with respect to physical properties and spatial sampling. J. Audio Eng. Soc. 2008. Available online: http://www.aes.org/e-lib/browse.cfm?elib=14708 (accessed on 25 September 2022).
- Arend, J.M.; Pörschmann, C. Spatial Upsampling of Sparse Head-Related Transfer Function Sets by Directional Equalization-Influence of the Spherical Sampling Scheme; Universitätsbibliothek der RWTH Aachen: Aachen, Germany, 2019. [Google Scholar]
- Start, E.W. Direct Sound Enhancement by Wave Field Synthesis. Ph.D. Thesis, Delft University of Technology, Delft, The Netherlands, 1997. [Google Scholar]
- Ahrens, J. Analytic Methods of Sound Field Synthesis; Springer Science & Business Media: Berlin/Heidelberg, Germany, 2012. [Google Scholar]
- Han, Z.; Wu, M.; Zhu, Q.; Yang, J. Two-dimensional multizone sound field reproduction using a wave domain method. J. Acoust. Soc. Am. 2018, 144, EL185–EL190. [Google Scholar] [CrossRef] [PubMed]
- Poletti, M.A.; Fazi, F. An approach to generating two zones of silence with application to personal sound systems. J. Acoust. Soc. Am. 2015, 137, 598–605. [Google Scholar] [CrossRef] [PubMed]
- Kuntz, A.; Rabenstein, R. An approach to global noise control by wave field synthesis. In Proceedings of the 2004 12th European Signal Processing Conference, Vienna, Austria, 6–10 September 2004; IEEE: Piscataway, NJ, USA, 2004; pp. 1999–2002. [Google Scholar]
- Lapini, A.; Borchi, F.; Carfagni, M.; Argenti, F. Simulation and design of active control systems for acoustic pulse noise. Int. J. Interact. Des. Manuf. (IJIDeM) 2018, 12, 573–584. [Google Scholar] [CrossRef]
- Sun, H.; Abhayapala, T.D.; Samarasinghe, P.N. Active noise control over 3D space with multiple circular arrays. In Proceedings of the 2019 IEEE Workshop on Applications of Signal Processing to Audio and Acoustics (WASPAA), New Paltz, NY, USA, 20–23 October 2019; IEEE: Piscataway, NJ, USA, 2019; pp. 135–139. [Google Scholar]
- Zhang, J.; Abhayapala, T.D.; Zhang, W.; Samarasinghe, P.N.; Jiang, S. Active Noise Control Over Space: A Wave Domain Approach. IEEE/ACM Trans. Audio Speech Lang. Process. 2018, 26, 774–786. [Google Scholar] [CrossRef]
- Okamoto, T. Horizontal 3D sound field recording and 2.5D synthesis with omni-directional circular arrays. In Proceedings of the ICASSP 2019—2019 IEEE International Conference on Acoustics, Speech and Signal Processing (ICASSP), Brighton, UK, 12–17 May 2019; IEEE: Piscataway, NJ, USA, 2019; pp. 960–964. [Google Scholar]
- Abhayapala, T.D.; Gupta, A. Spherical harmonic analysis of wavefields using multiple circular sensor arrays. IEEE Trans. Audio Speech Lang. Process. 2009, 18, 1655–1666. [Google Scholar] [CrossRef]
- Sun, H.; Abhayapala, T.D.; Samarasinghe, P.N. A realistic multiple circular array system for active noise control over 3D space. IEEE/ACM Trans. Audio Speech Lang. Process. 2020, 28, 3041–3052. [Google Scholar] [CrossRef]
- Koyama, S.; Furuya, K.; Wakayama, K.; Shimauchi, S.; Saruwatari, H. Analytical approach to transforming filter design for sound field recording and reproduction using circular arrays with a spherical baffle. J. Acoust. Soc. Am. 2016, 139, 1024–1036. [Google Scholar] [CrossRef] [PubMed]
- Abhayapala, T.D.; Ward, D.B. Theory and design of high order sound field microphones using spherical microphone array. In Proceedings of the 2002 IEEE International Conference on Acoustics, Speech and Signal Processing, Orlando, FL, USA, 13–17 May 2002; IEEE: Piscataway, NJ, USA, 2002; Volume 2, pp. II–1949. [Google Scholar]
- Williams, E.G. Fourier Acoustics: Sound Radiation and Nearfield Acoustical Holography; Academic Press: Cambridge, MA, USA, 1999. [Google Scholar]
- Zhang, J.; Zhang, W.; Abhayapala, T.D. Noise cancellation over spatial regions using adaptive wave domain processing. In Proceedings of the 2015 IEEE Workshop on Applications of Signal Processing to Audio and Acoustics (WASPAA), New Paltz, NY, USA, 18–21 October 2015; IEEE: Piscataway, NJ, USA, 2015; pp. 1–5. [Google Scholar]
- Ahrens, J.; Spors, S. An analytical approach to sound field reproduction using circular and spherical loudspeaker distributions. Acta Acust. United Acust. 2008, 94, 988–999. [Google Scholar] [CrossRef]
- Sun, H.; Abhayapala, T.D.; Samarasinghe, P.N. Time Domain Spherical Harmonic Processing with Open Spherical Microphones Recording. Appl. Sci. 2021, 11, 1074. [Google Scholar] [CrossRef]
- Hahn, N.; Schultz, F.; Spors, S. Time domain sampling of the radial functions in spherical harmonics expansions. IEEE Trans. Signal Process. 2021, 69, 4502–4512. [Google Scholar] [CrossRef]
- Betlehem, T.; Abhayapala, T.D. Theory and design of sound field reproduction in reverberant rooms. J. Acoust. Soc. Am. 2005, 117, 2100–2111. [Google Scholar] [CrossRef] [PubMed]












| Max (dB) | Min (dB) | Average (dB) | |
|---|---|---|---|
| Case1 | 29.4 | 10.2 | 20.1 |
| Case2 | 26.1 | 7.5 | 15.4 |
| Case3 | 16.9 | 1.1 | 4.8 |
Publisher’s Note: MDPI stays neutral with regard to jurisdictional claims in published maps and institutional affiliations. |
© 2022 by the authors. Licensee MDPI, Basel, Switzerland. This article is an open access article distributed under the terms and conditions of the Creative Commons Attribution (CC BY) license (https://creativecommons.org/licenses/by/4.0/).
Share and Cite
Ha, S.; Kim, J.; Kim, H.-g.; Wang, S. Horizontal Active Noise Control Based on Wave Field Reproduction Using a Single Circular Array in 3D Space. Appl. Sci. 2022, 12, 10245. https://doi.org/10.3390/app122010245
Ha S, Kim J, Kim H-g, Wang S. Horizontal Active Noise Control Based on Wave Field Reproduction Using a Single Circular Array in 3D Space. Applied Sciences. 2022; 12(20):10245. https://doi.org/10.3390/app122010245
Chicago/Turabian StyleHa, Sangwoo, Jungwoo Kim, Hyun-guk Kim, and Semyung Wang. 2022. "Horizontal Active Noise Control Based on Wave Field Reproduction Using a Single Circular Array in 3D Space" Applied Sciences 12, no. 20: 10245. https://doi.org/10.3390/app122010245
APA StyleHa, S., Kim, J., Kim, H.-g., & Wang, S. (2022). Horizontal Active Noise Control Based on Wave Field Reproduction Using a Single Circular Array in 3D Space. Applied Sciences, 12(20), 10245. https://doi.org/10.3390/app122010245
