Extraction of Polyphenols from Olive Leaves Employing Deep Eutectic Solvents: The Application of Chemometrics to a Quantitative Study on Antioxidant Compounds
Abstract
1. Introduction
2. Materials and Methods
2.1. Chemicals
2.2. Plant Material
2.3. Synthesis of DES
2.4. Process Optimization and Batch Extraction Procedure
2.5. Determination of Total Polyphenol
2.6. Liquid Chromatography–Tandem-Mass Spectrometry (LC–MS/MS)
2.7. Statistics
3. Results and Discussion
3.1. DES Synthesis
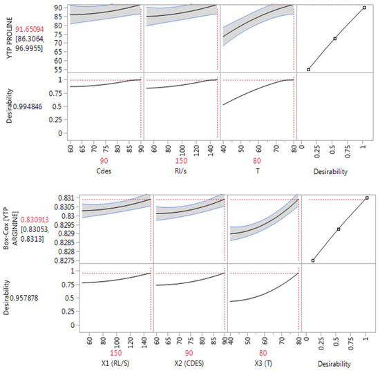
3.2. Extraction Process Optimization
3.3. Total Polyphenol Analysis
3.4. Extract Quantification
4. Conclusions
Author Contributions
Funding
Conflicts of Interest
Nomenclature
| CDES | Proportion of DES/water (%: w/v) |
| Cw | Water concentration (%, v/v) |
| RL/S | Liquid-to-solid ratio (mL ) |
| HBD:HBA | Molar ratio (dimensionless) |
| T | Temperature (°C) |
| YTP | Yield in total polyphenols (mg GAE ) |
Abbreviations
| ANOVA | Analysis of variance |
| Arg | Arginine |
| CV | Coefficient of variance |
| DES | Deep eutectic solvent |
| Dm | Dry mass (g) |
| GAE | Gallic acid equivalents |
| GL | Glycerol |
| HBA | Hydrogen bond acceptor |
| HBD | Hydrogen bond donor |
| LTTMs | Low-transition temperature mixtures |
| Lys | Lysine |
| OLL | Olive leaves |
| Pro | Proline |
References
- Lebersorger, S.; Schneider, F. Discussion on the methodology for determining food waste in household waste composition studies. J. Waste Manag. 2011, 31, 1924–1933. [Google Scholar] [CrossRef]
- Cicatiello, C.; Franco, S.; Pancino, B.; Blasi, E. The value of food waste: An exploratory study on retailing. J. Retail. Consum. Serv. 2016, 30, 96–104. [Google Scholar] [CrossRef]
- Eriksson, M.; Strid, I.; Hansson, P.A. Carbon footprint of food waste management options in the waste hierarchy—a Swedish case study. J. Clean. Prod. 2015, 93, 115–125. [Google Scholar] [CrossRef]
- Papargyropoulou, E.; Lozano, R.; Steinberger, J.K.; Wright, N.; Ujang, Z.B. The food waste hierarchy as a framework for the management of food surplus and food waste. J. Clean. Prod. 2014, 76, 106–115. [Google Scholar] [CrossRef]
- Mirabella, N.; Castellani, V.; Sala, S. Current options for the valorization of food manufacturing waste: A review. J. Clean. Prod. 2014, 65, 28–41. [Google Scholar] [CrossRef]
- Bonilla, J.; Vargas, F.C.; Gomes de Oliveira, T.; Makishi, G.L.D.A.; Sobral, P.J.D.A. Recent patents on the application of bioactive compounds in food: A short review. Curr. Opin. Food Sci. 2015, 5, 1–7. [Google Scholar] [CrossRef]
- Abaza, L.; Taamalli, A.; Nsir, H.; Zarrouk, M. Olive Tree (Olea europeae L.) Leaves: Importance and Advances in the Analysis of Phenolic Compounds. Antioxidants 2015, 4, 682–698. [Google Scholar] [CrossRef] [PubMed]
- Rahmanian, N.; Jafari, S.M.; Wani, T.A. A comprehensive review on the bioactive profile, dehydration, Extraction and application of the bioactive components of olive leaves. Trends Food Sci. Technol. 2015, 42, 150–172. [Google Scholar] [CrossRef]
- Dias, R.; Oliveira, H.; Fernandes, I.; Simal-Gandara, J.; Perez-Gregorio, R. Recent advances in extracting phenolis compounds from food and their use in disease prevention and cosmetics. Crit. Rev. Food Sci. Nutr. 2021, 61, 1130–1151. [Google Scholar] [CrossRef]
- Niki, E.; Yoshida, Y.; Saito, Y.; Noguchi, N. Lipid peroxidation: Mechanisms, inhibition, and biological effects. Biochem. Biophys. Res. Commun. 2005, 338, 668–676. [Google Scholar] [CrossRef]
- Caleja, C.; Barros, L.; Antonio, A.L.; Oliveira, M.B.P.P.; Ferreira, I.C.F.R. A comparative study between natural and synthetic antioxidants: Evaluation of their performance after incorporation into biscuits. Food Chem. 2017, 216, 342–346. [Google Scholar] [CrossRef]
- Sindhi, V.; Gupta, V.; Sharma, K.; Bhatnagar, S.; Kumari, R.; Dhaka, N. Potential applications of antioxidants. J. Pharm. Res. 2013, 7, 828–835. [Google Scholar] [CrossRef]
- Mollica, A.; Zenginb, G.; Stefanuccia, A.; Ferrantea, C.; Menghinia, L.; Orlandoa, G.; Brunettia, L.; Locatellia, M.; Dimmitoa, M.P.; Novellinoc, E.; et al. Nutraceutical potential of Corylus avellana daily supplements for obesity and related dysmetabolism. J. Funct. Foods 2018, 47, 562–574. [Google Scholar] [CrossRef]
- Dykes, L.; Rooney, L.L.; Waniska, R.D.; Rooney, W.L. Phenolic Compounds and Antioxidant Activity of Sorghum Grains of Varying Genotypes. J. Agric. Food Chem. 2005, 53, 6813–6818. [Google Scholar] [CrossRef]
- Do, Q.D.; Angkawijaya, A.E.; Tran-Nguyen, P.L.; Huynh, L.H.; Soetaredjo, F.E.; Ismadji, S.; Ju, Y.-H. Effect of extraction solvent on total phenol content, total flavonoids content, and antioxidant activity of Limnophila aromatic. J. Food Drug Anal. 2013, 22, 296–302. [Google Scholar] [CrossRef]
- Pena-Pereira, F.; Namieśnik, J. Ionic Liquids and Deep Eutectic Mixtures: Sustainable Solvents for Extraction Processes. Chem. Sustain. Chem. 2014, 7, 1784–1800. [Google Scholar] [CrossRef]
- Shishov, A.; Bulatov, A.; Locatelli, M.; Carradori, S.; Andruch, V. Application of deep eutectic solvents in analytical chemistry. Michrochem. J. 2017, 135, 33–38. [Google Scholar] [CrossRef]
- Merone, G.M.; Tartaglia, A.; Rosato, E.; D’Ovidio, C.; Kabir, A.; Ulusoy, H.I.; Savini, F.; Locatelli, M. Ionic Liquids in Analytical Chemistry: Applications and Recent Trends. Curr. Anal. Chem. 2021, 17, 1340–1355. [Google Scholar] [CrossRef]
- Abbott, P.; Boothby, D.; Capper, G.; Davies, D.L.; Rasheed, R.K. Deep Eutectic Solvents Formed between Choline Chloride and Carboxylic Acids: Versatile Alternatives to Ionic Liquids. J. Am. Chem. Soc. 2004, 126, 9142–9147. [Google Scholar] [CrossRef]
- Paiva, A.; Craveiro, R.; Aroso, I.; Martins, M.; Reis, R.L.; Duarte, A.R.C. Natural Deep Eutectic Solvents − Solvents for the 21st Century. ACS Sustain. Chem. Eng. 2014, 2, 1063–1071. [Google Scholar] [CrossRef]
- Cunha, S.C.; Fernandes, J. Extraction techniques with deep eutectic solvents. Trends Anal. Chem. 2018, 105, 225–239. [Google Scholar] [CrossRef] [PubMed]
- Bezerra, M.A.; Santelli, R.E.; Oliveira, E.P.; Villar, L.S.; Escaleira, L.A. Response surface methodology (RSM) as a tool for optimization in analytical chemistry. Talanta 2008, 76, 965–977. [Google Scholar] [CrossRef]
- Garg, L.K.; Reddy, V.S.; Sait, S.S.; Krishnamurthy, T.; Vali, S.J.; Reddy, A.M. Quality by Design: Design of Experiments Approach Prior to the Validation of a Stability-Indicating HPLC Method for Montelukast. Chromatographia 2013, 76, 1697–1706. [Google Scholar] [CrossRef]
- Yetilmezsoya, K.; Demirel, S.; Vanderbei, R.J. Response surface modeling of Pb (II) removal from aqueous solution by Pistacia vera L.: Box–Behnken experimental design. J. Hazard. Mater. 2009, 171, 551–562. [Google Scholar] [CrossRef]
- Joseph Davidson, M.; Balasubramanian, K.; Tagore, G.R.N. Surface roughness prediction of flow-formed AA6061 alloy by design of experiments. J. Mater. Process. Technol. 2008, 202, 41–46. [Google Scholar] [CrossRef]
- Karakashov, B.; Grigorakis, S.; Loupassaki, S.; Makris, D.P. Optimisation of polyphenol extraction from Hypericum perforatum (St. John’s Wort) using aqueous glycerol and response surface methodology. J. Appl. Res. Med. Arom. Plants 2015, 2, 1–8. [Google Scholar] [CrossRef]
- García, A.; Rodríguez-Juan, E.; Rodríguez-Gutiérrez, G.; Rios, J.J.; Fernández-Bolaños, J. Extraction of phenolic compounds from virgin olive oil by deep eutectic solvents (DESs). Food Chem. 2016, 197, 554–561. [Google Scholar] [CrossRef]
- Dai, Y.; Van Spronsen, J.; Witkamp, G.J.; Verpoorte, R.; Hae Choi, Y. Natural Deep Eutectic Solvents as New Potential Media for Green Technology. Anal. Chim. Acta 2013, 766, 61–68. [Google Scholar] [CrossRef]
- Xia, B.; Yan, D.; Bai, Y.; Xie, J.; Cao, Y.; Liao, D.; Lin, L. Determination of phenolic acids in Prunella vulgaris L. a safe and green extraction method using alcohol-based deep eutectic solvents. Anal. Methods 2015, 7, 9354–9364. [Google Scholar] [CrossRef]
- Glass, G.V.; Peckham, P.D.; Sanders, J.R. Consequences of failure to meet assumptions underlying the fixed effects analyses of variance and covariance. Educ. Res. Rev. 2012, 42, 237–288. [Google Scholar] [CrossRef]
- Tsai, A.C.; Liou, M.; Simak, M.; Cheng, P.E. On hyperbolic transformations to normality. Comput. Stat. Data Anal. 2017, 115, 250–266. [Google Scholar] [CrossRef]
- Malaeb, Z.A. A SAS code to correct for non-normality and non-constant variance in regression and anova models using the Box–Cox method of power transformation. Environ. Monit. Assess. 1997, 47, 255–273. [Google Scholar] [CrossRef]
- Asar, Ö.; Ilk, O.; Dag, O. Estimating Box-Cox power transformation parameter via goodness of fit tests. Commun. Stat. Simul. Comput. 2014, 46, 91–105. [Google Scholar] [CrossRef]
- Ishak, N.A.M.; Ahmad, S. Estimating Optimal Parameter of Box-Cox Transformation in Multiple Regression with Non-normal Data. In Regional Conference on Science, 1st ed.; Technology and Social Sciences (RCSTSS 2016), Yacob, N.A., Mohd Noor, N.A., Mohd Yunus, N.Y., Lob Yussof, R., Zakaria, S.A.K.Y., Eds.; Springer: Singapore, 2018; pp. 1039–1046. [Google Scholar] [CrossRef]
- Bischoff, W.; Miller, F. Optimal designs which are efficient for lack of fit tests. Ann. Stat. 2006, 34, 2015–2025. [Google Scholar] [CrossRef][Green Version]
- Ramić, M.; Vidović, S.; Zeković, Z.; Vladić, J.; Cvejin, A.; Pavlić, A. Modeling and optimization of ultrasound-assisted extraction of polyphenolic compounds from Aronia melanocarpa by-products from filter-tea factory. Ultrason. Sonochem. 2014, 23, 360–368. [Google Scholar] [CrossRef] [PubMed]
- Rakotondramasy-Rabesiaka, L.; Havet, J.L.; Porte, C.; Fauduet, H. Estimation of effective diffusion and transfer rate during the protopine extraction process from Fumaria offcinalis L. Sep. Purif. Technol. 2010, 76, 126–131. [Google Scholar] [CrossRef]
- Katsampa, P.; Valsamedou, E.; Grigorakis, S.; Makris, D. A green ultrasound-assisted extraction process for the recovery of antioxidant polyphenols and pigments from onion solid wastes using Box–Behnken experimental design and kinetics. Ind. Crop. Prod. 2015, 77, 535–543. [Google Scholar] [CrossRef]
- Chakroun, D.; Grigorakis, S.; Loupassaki, S.; Makris, D.P. Enhanced-performance extraction of olive (Olea europaea) leaf polyphenols using L-lactic acid/ammonium acetate deep eutectic solvent combined with β_cyclodextrin: Screening, optimisation, temperature effects and stability. Biomass Convers. Biorefinery 2021, 11, 1125–1136. [Google Scholar] [CrossRef]
- Vetal, M.D.; Lade, V.G.; Rathod, V.K. Extraction of ursolic acid from Ocimum sanctum by ultrasound: Process intensification and kinetic studies. Chem. Eng. Process. Process. Intensif. 2013, 69, 24–30. [Google Scholar] [CrossRef]
- Dedousi, M.; Mamoudaki, V.; Grigorakis, S.; Makris, D.P. Ultrasound-assisted extraction of polyphenolic antioxidants from olive (Olea europaea) leaves using a novel glycerol/sodium-potassium tartrate low-transition temperature mixture (LTTM). Environments 2017, 4, 31. [Google Scholar] [CrossRef]
- Dai, Y.; Rozema, E.; Verpoorte, R.; Choi, Y.H. Application of natural deep eutectic solvents to the extraction of anthocyanins from Catharanthus roseus with high extractability and stability replacing conventional organic solvents. J. Chromatogr. A 2016, 1434, 50–56. [Google Scholar] [CrossRef] [PubMed]
- Dai, Y.; van Spronsen, J.; Witkamp, G.J.; Verpoorte, R.; Choi, Y.H. Ionic liquids and deep eutectic solvents in natural products research: Mixtures of solids as extraction solvents. J. Nat. Prod. 2013, 76, 2162–2173. [Google Scholar] [CrossRef] [PubMed]
- Jancheva, M.; Grigorakis, S.; Loupassaki, S.; Makris, D.P. Optimised extraction of antioxidant polyphenols from Satureja thymbra using newly designed glycerol-based natural low-transition temperature mixtures (LTTMs). J. Appl. Res. Med. Aromat. Plants 2017, 6, 31–40. [Google Scholar] [CrossRef]
- Dai, Y.; Witkamp, G.J.; Verpoorte, R.; Choi, Y.H. Tailoring properties of natural deep eutectic solvents with water to facilitate their applications. Food Chem. 2015, 187, 14–19. [Google Scholar] [CrossRef] [PubMed]
- Slim, Z.; Jancheva, M.; Grigorakis, S.; Makris, D.P. Polyphenol extraction from Origanum dictamnus using low-transition temperature mixtures composed of glycerol and organic salts: Effect of organic anion carbon chain length. Chem. Eng. Commun. 2018, 205, 1494–1506. [Google Scholar] [CrossRef]
- Ajila, C.M.; Brar, S.K.; Verma, M.; Tyagi, R.D.; Godbout, S.; Valero, J.R. Extraction and Analysis of Polyphenols: Recent trends. Crit. Rev. Biotechnol. 2011, 31, 227–249. [Google Scholar] [CrossRef] [PubMed]
- Bi, W.; Tian, M.; Row, K.H. Evaluation of alcohol-based deep eutectic solvent in extraction and determination of flavonoids with response surface methodology optimization. J. Chromatogr. A 2013, 1285, 22–30. [Google Scholar] [CrossRef] [PubMed]
- Fanali, C.; Della Posta, S.; Dugo, L.; Gentili, A.; Mondello, L.; De Gara, L. Choline-chloride and betaine-based deep eutectic solvents for green extraction of nutraceutical compounds from spent coffee ground. J. Pharm Biomed. Anal. 2020, 189, 113421–113445. [Google Scholar] [CrossRef] [PubMed]
- Rente, D.; Paiva, A.; Duarte, A.R. The Role of Hydrogen Bond Donor on the Extraction of Phenolic Compounds from Natural Matrices Using Deep Eutectic Systems. Molecules 2021, 26, 2336. [Google Scholar] [CrossRef] [PubMed]
- Gironi, F.; Piemonte, V. Temperature and solvent effects on polyphenol extraction process from chestnut tree wood. Chem. Eng. Res. Des. 2011, 89, 857–862. [Google Scholar] [CrossRef]
- Vergara-Salinas, J.R.; Peérez-Jimeénez, J.; Torres, J.L.; Agosin, E.; Peérez-Correa, J.R. Effects of Temperature and Time on Polyphenolic Content and Antioxidant Activity in the Pressurized Hot Water Extraction of Deodorized Thyme (Thymus vulgaris). J. Agric. Food Chem. 2012, 60, 10920–10929. [Google Scholar] [CrossRef] [PubMed]
- Bucić-Kojić, A.; Planinić, M.; Tomas, S.; Bilić, M.; Veli, D. Study of solid–liquid extraction kinetics of total polyphenols from grape seeds. J. Food Eng. 2007, 81, 236–242. [Google Scholar] [CrossRef]
- Cacace, J.E.; Mazza, G. Mass transfer process during extraction of phenolic compounds from milled berries. J. Food Eng. 2003, 59, 379–389. [Google Scholar] [CrossRef]
- Pedreschi, F.; Travisany, X.; Reyes, C.; Troncoso, E.; Pedreschi, E. Kinetics of extraction of reducing sugar during blanching of potato slices. J. Food Eng. 2009, 91, 443–447. [Google Scholar] [CrossRef]
- Ho, C.H.; Cacace, J.E.; Mazza, G. Mass transfer during pressurized low polarity water extraction of lignans from flaxseed meal. J. Food Eng. 2008, 89, 64–71. [Google Scholar] [CrossRef]
- Kottaras, P.; Koulianos, M.; Makris, D.P. Low-transition temperature mixtures (LTTMs) made of bioorganic molecules: Enhanced extraction of antioxidant phenolics from industrial cereal solid wastes. Recycling 2017, 2, 3. [Google Scholar] [CrossRef]
- Francisco, M.; van den Bruinhorst, A.; Kroon, M.C. Low-transition-temperature mixtures (LTTMs): A new generation of designer solvents. Angew. Chem. Int. Ed. 2013, 52, 3074–3085. [Google Scholar] [CrossRef]
- Özcan, M.M.; Matthäus, B. A review: Benefit and bioactive properties of olive (Olea europaea L.) leaves. Eur. Food Res. Technol. 2016, 243, 89–99. [Google Scholar] [CrossRef]
- Benavente-García, O.; Castillo, J.; Lorente, J.; Ortuño, A.; Del Rio, J.A. Antioxidant activity of phenolics extracted from Olea europaea L. leaves. Food Chem. 2000, 68, 457–462. [Google Scholar] [CrossRef]
- Karkovíc Markovíc, A.; Toríc, J.; Barbaríc, M.; JokobušícBrala, C. Hydroxytyrosol, Tyrosol and Derivatives and Their Potential Effects on Human Health. Molecules 2019, 24, 2001. [Google Scholar] [CrossRef]
- Dai, Y.; Verpoorte, R.; Choi, Y.H. Natural deep eutectic solvents providing enhanced stability of natural colorants from safflower (Carthamus tinctorius). Food Chem. 2014, 159, 116–121. [Google Scholar] [CrossRef] [PubMed]
- Quirantes-Piné, R.; Zurek, G.; Barrajón-Catalán, E.; Bäßmann, C.; Micol, V.; Segura-Carretero, A.; Fernández-Gutiérrez, A. A metabolite-profiling approach to assess the uptake and metabolism of phenolic compounds from olive leaves in SKBR3 cells by HPLC–ESI-QTOF-MS. J. Pharm. Biomed. Anal. 2013, 72, 121–126. [Google Scholar] [CrossRef]
- Talhaoui, N.; Taamalli, A.; Gómez-Caravaca, A.M.; Fernández-Gutiérrez, A.; Segura-Carretero, A. Phenolic compounds in olive leaves: Analytical determination, biotic and abiotic influence, and health benefits. Int. Food Res. 2015, 77, 92–108. [Google Scholar] [CrossRef]
- Vinha, A.F.; Ferreres, F.; Silva, B.M.; Valentão, P.; Gonçalves, A.; Pereira, J.A.; Oliveira, M.B.; Seabra, R.M.; Andrade, P.B. Phenolic profiles of Portuguese olive fruits (Olea europaea L.): Influences of cultivar and geographical origin. Food Chem. 2005, 89, 561–568. [Google Scholar] [CrossRef]
- Cittan, M.; Çelik, A. Development and Validation of an Analytical Methodology Based on Liquid Chromatography–Electrospray Tandem Mass Spectrometry for the Simultaneous Determination of Phenolic Compounds in Olive Leaf Extract. J. Chromatogr. Sci. 2018, 56, 336–343. [Google Scholar] [CrossRef]
- Ahmad-Qasem, M.H.; Cánovas, J.; Barrajón-Catalán, E.; Micol, V.; Cárcel, J.A.; García-Pérez, J.V. Kinetic and compositional study of phenolic extraction from olive leaves (var. Serrana) by using power ultrasound. Innov. Food Sci. Emerg. Technol. 2013, 17, 120–129. [Google Scholar] [CrossRef]
- Brahmi, F.; Mechri, B.; Dhibi, M.; Hammami, M. Variations in phenolic compounds and antiradical scavenging activity of Olea europaea leaves and fruits extracts collected in two different seasons. Ind. Crops Prod. 2013, 49, 256–264. [Google Scholar] [CrossRef]
- Ortega-García, F.; Peragón, J. Phenol Metabolism in the Leaves of the Olive Tree (Olea europaea L.) cv. Picual, Verdial, Arbequina, and Frantoio during Ripening. J. Agric. Food Chem. 2010, 58, 12440–12448. [Google Scholar] [CrossRef] [PubMed]
- Lee, O.H.; Lee, B.Y.; Lee, J.; Lee, H.B.; Son, J.Y.; Park, C.S.; Shetty, K.; Kim, Y.C. Assessment of phenolics-enriched extract and fractions of olive leaves and their antioxidant activities. Bioresour. Technol. 2009, 100, 6107–6113. [Google Scholar] [CrossRef] [PubMed]
- Afaneh, I.; Yateem, H.; Al-Rimawi, F. Effect of Olive Leaves Drying on the Content of Oleuropein. Am. J. Anal. Chem. 2015, 6, 246–252. [Google Scholar] [CrossRef]
- Yuan, J.J.; Wang, C.Z.; Ye, Z.; Tao, R.; Zhang, Y.S. Enzymatic Hydrolysis of Oleuropein from Olea europea (Olive) Leaf Extract and Antioxidant Activities. Molecules 2015, 20, 2903–2921. [Google Scholar] [CrossRef] [PubMed]
- Meirinhos, J.; Silva, B.M.; Valentão, P.; Seabra, R.M.; Pereira, J.A.; Dias, A.; Andrade, P.B.; Ferreres, F. Analysis and quantification of flavonoidic compounds from Portuguese olive (Olea europaea L.) leaf cultivars. Nat. Prod. Res. 2005, 19, 189–195. [Google Scholar] [CrossRef] [PubMed]
- Liakopoulos, G.; Karabourniotis, G. Boron deficiency and concentrations and composition of phenolic compounds in Olea europaea leaves: A combined growth chamber and field study. Tree Physiol. 2005, 25, 307–315. [Google Scholar] [CrossRef] [PubMed]
- Savournin, C.; Baghdikian, B.; Elias, R.; Dargouth-Kesraoui, F.; Boukef, K.; Balansard, G. Rapid High-Performance Liquid Chromatography Analysis for the Quantitative Determination of Oleuropein in Olea europaea Leaves. J. Agric. Food Chem. 2001, 49, 618–621. [Google Scholar] [CrossRef] [PubMed]
- Japón-Luján, R.; Luque-Rodríguez, J.M.; Luque De Castro, M.D. Dynamic ultrasound-assisted extraction of oleuropein and related biophenols from olive leaves. J. Chromatogr. A 2006, 1108, 76–82. [Google Scholar] [CrossRef] [PubMed]
- Goulas, V.; Exarchou, V.; Troganis, A.N.; Psomiadou, E.; Fotsis, T.; Briasoulis, E.; Gerothanassis, I.P. Phytochemicals in olive-leaf extracts and their antiproliferative activity against cancer and endothelial cells. Mol. Nutr. Food Res. 2009, 53, 600–608. [Google Scholar] [CrossRef]
- Talhaoui, N.; Vezza, T.; Gómez-Caravaca, A.M.; Fernández-Gutiérrez, A.; Gálvez, J.; Segura-Carretero, A. Phenolic compounds and in vitro immunomodulatory properties of three Andalusian olive leaf extracts. J. Funct. Foods 2016, 22, 270–277. [Google Scholar] [CrossRef]





| Independent Variables | Code Units | Coded Variable Level | ||
|---|---|---|---|---|
| −1 | 0 | +1 | ||
| RL/S (mL ) | X1 | 50 | 100 | 150 |
| CDES (%, w/v) | X2 | 60 | 75 | 90 |
| T (°C) | X3 | 40 | 60 | 90 |
| Compounds | Equation of External Calibration Curve | Correlation Coefficient | Molecular Ion | Fragment Ion 1 | Fragment Ion 2 |
|---|---|---|---|---|---|
| M-1 | (quantifier) | (qualifier) | |||
| Oleuropein | Y = 4920.6x + 109,162 | r² = 0.9957 | 539 | 275 | 377 |
| Hydroxytyrosol | Y = 425.38x − 1387.8 | r² = 0.9994 | 153 | 122.2 | 123.2 |
| Tyrosol | y = 1977.8x − 5810.1 | r² = 0.9992 | 137 | 106.2 | 119.1 |
| Luteolin-7-O-glucoside | Y = 8567.3x + 10782 | r² = 0.9996 | 447 | 284 | 285 |
| Rutin | y = 13,579.286x + 100,080.787 | r² = 0.9984 | 609 | 300 | 270.9 |
| Design Point | Independent Variables | Polyphenols Yield (YTP, mg GAE dm) | |||||||
|---|---|---|---|---|---|---|---|---|---|
| RL/S (X1, mL ) | CDES (X2, % w/v) | T (X3, °C) | GL–Lys | GL–Pro | GL–Arg | ||||
| Measured | Predicted | Measured | Predicted | Measured * | Predicted * | ||||
| 1 | 50(−1) | 90(+1) | 60(0) | 124.58 | 123.65 | 78.59 | 79.84 | 80.86 | 78.68 |
| 2 | 100(0) | 75(0) | 60(0) | 131.91 | 133.49 | 73.99 | 74.63 | 73.11 | 74.81 |
| 3 | 50(−1) | 75(0) | 40(−1) | 101.50 | 100.40 | 61.87 | 62.28 | 70.10 | 72.61 |
| 4 | 150(+1) | 75(0) | 80(+1) | 191.60 | 139.70 | 87.81 | 87.40 | 114.93 | 112.39 |
| 5 | 50(−1) | 75(0) | 80(+1) | 146.70 | 144.40 | 79.21 | 77.80 | 95.53 | 96.93 |
| 6 | 150(+1) | 90(+1) | 60(0) | 165.21 | 160.89 | 84.39 | 84.63 | 88.07 | 89.81 |
| 7 | 50(−1) | 60(−1) | 60(0) | 92.37 | 96.70 | 67.45 | 67.20 | 75.96 | 74.23 |
| 8 | 100(0) | 60(−1) | 80(+1) | 153.50 | 151.47 | 76.79 | 78.45 | 98.03 | 98.37 |
| 9 | 150(+1) | 60(−1) | 60(0) | 146.00 | 146.93 | 78.86 | 77.61 | 74.91 | 77.10 |
| 10 | 100(0) | 90(+1) | 40(−1) | 120.32 | 122.36 | 72.41 | 70.76 | 74.51 | 74.17 |
| 11 | 100(0) | 60(−1) | 40(−1) | 114.00 | 110.77 | 59.77 | 59.61 | 67.40 | 66.60 |
| 12 | 100(0) | 75(0) | 60(0) | 136.65 | 133.49 | 75.92 | 74.63 | 76.62 | 74.81 |
| 13 | 150(+1) | 75(0) | 40(−1) | 136.26 | 138.60 | 66.48 | 67.89 | 72.62 | 71.14 |
| 14 | 100(0) | 75(0) | 60(0) | 131.91 | 133.49 | 73.99 | 74.63 | 74.69 | 74.81 |
| 15 | 100(0) | 90(+1) | 80(+1) | 177.54 | 180.79 | 86.80 | 86.96 | 107.16 | 107.96 |
| DES | Second Order Polynomial Equations | r2 | p |
|---|---|---|---|
| GL–Lys | YTP = 133.49 + 10.22 X1 + 21.86 X2 + 24.78 X3 + 10.04 | 0.99 | 0.0002 |
| GL–Pro | YTP = 74.63 + 4.91 X1 + 3.80 X2 + 8.76 X3 | 0.98 | 0.0006 |
| GL–Arg | YTP = 0.83 + 2.64 × 10 −4 X1 + 1.55 × 10 −4 X2 + 9.06 × 10 −4 X3 + 1.98 × 10 −4 4.36 × 10 −4 | 0.99 | 0.0002 |
| DES | Interval Predicted Values (mg g−1) | Observed Value * (mg g−1) | Optimal Conditions | ||
|---|---|---|---|---|---|
| RL/S (mL ) | CDES (%, w/v) | T (°C) | |||
| GL–Lys | 188.39 ± 0.37 | 150 | 90 | 80 | |
| GL–Pro | 95.97 ± 0.74 | 150 | 90 | 80 | |
| GL–Arg | a b | 0.83002 ± 0.47 a 100.01 1.98 b | 150 | 90 | 80 |
| Solvent | Phenolic Compounds Concentrations µg ) | ||||
|---|---|---|---|---|---|
| Tyrosol | Hydroxytyrosol | Oleuropein | Luteolin-7-O-Glucoside | Rutin | |
| 70% aq.EtOH | 19398.64 ± 362.12 | 205.78 ± 9.11 | 7381.03 ± 52.14 | 1418.64 ± 28.74 | 714.63 ± 18.25 |
| GL–Lys | 53420.23 ± 1135.12 | 1687.95 ± 2.4 | n.d | 1377.14 ± 17.25 | 286.69 ± 0.69 |
| GL–Pro | 27358.48 ± 175.71 | 231.95 ± 9.8 | 7908.10 ± 59.45 | 997.84 ± 80.51 | 463.06 ± 4.92 |
| GL–Arg | 28312.65 ± 445.30 | 2686.44 ± 7.9 | n.d | 1564.97 ± 63.98 | 268.59 ± 33.82 |
Publisher’s Note: MDPI stays neutral with regard to jurisdictional claims in published maps and institutional affiliations. |
© 2022 by the authors. Licensee MDPI, Basel, Switzerland. This article is an open access article distributed under the terms and conditions of the Creative Commons Attribution (CC BY) license (https://creativecommons.org/licenses/by/4.0/).
Share and Cite
Akli, H.; Grigorakis, S.; Kellil, A.; Loupassaki, S.; Makris, D.P.; Calokerinos, A.; Mati, A.; Lydakis-Simantiris, N. Extraction of Polyphenols from Olive Leaves Employing Deep Eutectic Solvents: The Application of Chemometrics to a Quantitative Study on Antioxidant Compounds. Appl. Sci. 2022, 12, 831. https://doi.org/10.3390/app12020831
Akli H, Grigorakis S, Kellil A, Loupassaki S, Makris DP, Calokerinos A, Mati A, Lydakis-Simantiris N. Extraction of Polyphenols from Olive Leaves Employing Deep Eutectic Solvents: The Application of Chemometrics to a Quantitative Study on Antioxidant Compounds. Applied Sciences. 2022; 12(2):831. https://doi.org/10.3390/app12020831
Chicago/Turabian StyleAkli, Hamida, Spyros Grigorakis, Abdessamie Kellil, Sofia Loupassaki, Dimitris P. Makris, Antony Calokerinos, Abderrahmane Mati, and Nikos Lydakis-Simantiris. 2022. "Extraction of Polyphenols from Olive Leaves Employing Deep Eutectic Solvents: The Application of Chemometrics to a Quantitative Study on Antioxidant Compounds" Applied Sciences 12, no. 2: 831. https://doi.org/10.3390/app12020831
APA StyleAkli, H., Grigorakis, S., Kellil, A., Loupassaki, S., Makris, D. P., Calokerinos, A., Mati, A., & Lydakis-Simantiris, N. (2022). Extraction of Polyphenols from Olive Leaves Employing Deep Eutectic Solvents: The Application of Chemometrics to a Quantitative Study on Antioxidant Compounds. Applied Sciences, 12(2), 831. https://doi.org/10.3390/app12020831

