Next Article in Journal
FDG PET/CT versus Bone Marrow Biopsy for Diagnosis of Bone Marrow Involvement in Non-Hodgkin Lymphoma: A Systematic Review
Next Article in Special Issue
Dosimetric Characterization of Small Radiotherapy Electron Beams Collimated by Circular Applicators with the New Microsilicon Detector
Previous Article in Journal
Research on Cavitation Characteristics of Two-Throat Nozzle Submerged Jet
Previous Article in Special Issue
Silicon 3D Microdosimeters for Advanced Quality Assurance in Particle Therapy
 
 
Font Type:
Arial Georgia Verdana
Font Size:
Aa Aa Aa
Line Spacing:
Column Width:
Background:
Article

A Large Area Pixelated Silicon Array Detector for Independent Transit In Vivo Dosimetry

1
Centre for Medical Radiation Physics, University of Wollongong, Wollongong, NSW 2522, Australia
2
Illawarra Cancer Care Centre, Wollongong Hospital, Wollongong, NSW 2500, Australia
3
SPA BIT, 02660 Kiev, Ukraine
*
Author to whom correspondence should be addressed.
Appl. Sci. 2022, 12(2), 537; https://doi.org/10.3390/app12020537
Submission received: 9 December 2021 / Revised: 29 December 2021 / Accepted: 30 December 2021 / Published: 6 January 2022
(This article belongs to the Special Issue Detectors for Medical Physics)

Abstract

:

Featured Application

The detector system presented in this work is well suited to be implemented as part of a clinical in vivo dosimetry setup for radiotherapy.

Abstract

A large area pixelated silicon array detector named “MP987” has been developed for in vivo dosimetry. The detector was developed to overcome the non-water equivalent response of EPID (Electronic Portal Imaging Device) dosimetry systems, due to the shortfalls of the extensive corrections required. The detector, readout system and software have all been custom designed to be operated independently from the linac with the array secured directly above the EPID, to be used in combination with the 6 MV imaging system. Dosimetry characterisation measurements of percentage depth dose (PDD), dose rate dependence, radiation damage, output factors (OF), profile measurements, linearity and uniformity were performed. Additionally, the first pre-clinical tests with this novel detector of a transit dosimetry characterization and a collapsed IMRT (intensity-modulated radiation therapy) study are presented. Both PDD and OF measurements had a percentage difference of less than 2.5% to the reference detector. A maximum change in sensitivity of 4.3 ± 0.3% was observed after 30 kGy of gamma accumulated dose. Transit dosimetry measurements through a homogeneous Solid Water phantom had a measured dose within error of the TPS calculations, for field sizes between 3 × 3 cm2 and 10 × 10 cm2. A four-fraction collapsed IMRT plan on a lung phantom had absolute dose pass fractions between the MP987 and TPS (treatment planning system) from 94.2% to 97.4%, with a 5%/5 mm criteria. The ability to accurately measure dose at a transit level, without the need for correction factors derived from extensive commissioning data collection procedures, makes the MP987 a viable alternative to the EPID for in vivo dosimetry. This MP987 is this first of its kind to be successfully developed specifically for a dual detector application.

1. Introduction

The ability to perform in vivo dosimetry for external beam radiotherapy (EBRT) is instinctively desirable, but not mandated in many countries. A review article by Ford and Evans on incident learning systems (ILS) for radiation oncology outlined the recent occurrences of rare but fatal radiation incidents [1]. Ideal in vivo dosimetry systems would identify and quantify a therapeutic radiation incident, and, as a part of an ILS, would be valuable to track treatment outcomes in long term databases, even if errors in delivery were not fatal. A report into the implementation of in vivo dosimetry for EBRT in the UK [2], as well as two recent review articles [3,4], all conclude that electronic portal imaging (EPID) dosimetry is the primary commercially available candidate to measure transit dose, as part of an in vivo dosimetry solution.
EPID dosimetry utilises the flat panel imager, designed to aid in patient positioning, that is available on most modern linacs. There are EPID dosimetry systems that have been used to verify the in vivo dose of patient treatment on a forward [5] or back-projection method [6,7,8]. The hope is that either through calculating the expected dose at the detector level or back projecting the dose through the planning CT, that errors in treatment will be detected. A direct comparison of the forward and back-projected dose distributions reconstructed by the EPID concluded that both can be useful in the identification of in vivo dosimetry errors [9]. Through the implementation of an in vivo EPID dosimetry system in the Netherlands, relevant dosimetry errors, predominately due to changes in patient anatomy, were identified for 1 in every 300 patients treated with intensity-modulated radiation therapy (IMRT) or volumetric modulated arc therapy (VMAT) [10]. Despite this preliminary success, EPID based in vivo dosimetry has yet to have a widespread implementation.
A major fundamental limitation of EPID dosimetry systems is the high Z materials the imager comprises of which induce a non-uniform dose–response as a function of the photon energy spectrum [11]. To mitigate this effect, large amounts of commissioning data are required to form correction factor maps associated with a variable energy spectrum, caused by primary beam attenuation in the patient and beam scatter contributions from the patient and detector itself [3]. The lack of vendor information on how to commission EPID dosimetry, along with the need for better software to perform corrections, has been suggested to be partly responsible for the absence of widespread clinical uptake of EPID dosimetry [3]. Despite this, one of the main motives for recommending an EPID dosimetry system is that it is often already installed on modern linacs [4], making it appear to be a convenient option. The complex commissioning and data correction process could be significantly reduced if vendors offered a water equivalent EPID, but no such system is commercially available. A major limitation to the production of a water equivalent EPID is that attempting to reduce the use of high Z material results in a reduced sensitivity of the imager [12].
Two previous studies have proposed dual detector systems [13,14] where an additional detector, optimised for dosimetry, would be mechanically attached on top of the EPID. Both identified that accurate dosimetry could be performed in these conditions without the EPID negatively impacting the response of the detector, while the additional detector had minimal impact on the quality of EPID images. The first study adopted an array of ionization chambers [13], while the second used a pixelated silicon detector [14]. The use of the pixelated silicon was shown to be capable of performing accurate dosimetry, that could be directly compared with the treatment planning system (TPS) for a plan delivered to a heterogeneous phantom. It was also capable of correctly identifying a 5 mm shift in target positioning and a 5.2% overdose. While this system required no field size or scatter corrections, the detector used did have a high dose rate dependence, a limited sensitive area with a limited sensitivity from each diode and a poor spatial resolution. To make this dual detector system advantageous over the EPID, these issues needed to be addressed. The development of a large area, high sensitivity and spatial resolution, pixelated silicon detector array, with minimal dose rate dependence would allow advancement of transit in vivo dosimetry systems, that avoids the large commissioning work required for EPID dosimetry and allow for co-registration of patient imaging and dose distribution.

2. Materials and Methods

In this work, a new large area pixelated silicon detector, named “Magic Plate-987” (MP987) is presented and used to perform transit dosimetry. To verify the suitability of the MP987 detector and its readout system as a dosimetry tool in EBRT, a comprehensive set of basic characterisation measurements were undertaken to evaluate the performance of the device. Once completed, the MP987 was tested to evaluate its performance in transit dosimetry measurements.
The MP987 detector presented in Figure 1a, comprises 987 diodes, ultrasonically bonded to a 0.5 mm thick fibreglass printed circuit board (PCB). Assembling was achieved by using the patented “drop in” technology adopted from the “Magic Plate” detector [15]. The diodes used to populate the detector have a surface area of 1.5 × 1.5 mm2 and are presented in Figure 1b. They have a low resistivity p-type substrate with a 40 µm thick n-type epitaxial layer. The n-p junction extends as close as possible to the edges of the die, having a sensitive surface area of 1.27 × 1.27 mm2. The large surface area of the sensitive volume and shallow epitaxial depth has three intended purposes: increase the signal to noise ratio for low dose rate measurements, increase radiation hardness and significantly reduce the effect of trapped charge at Si-SiO2 interfaces after exposure to radiation [16].
The MP987 utilises two different detector pitches to maximise the spatial resolution of the detector. The central area consists of a 13 × 13 diode formation at a 5 mm pitch, with the surrounding area having a pitch of 7.5 mm, giving a total detector area of 22.5 × 21 cm2, as displayed in Figure 1a. This allows a balance of high spatial resolution, for measuring small fields at the centre while extending the active area for larger and more conventional field sizes. The dual pitch avoids having to add multiple layers to the PCB, which would be required for routing the pixel connections to the electronic interface if the full surface was at the smaller pitch. Additional layers would increase the PCB thickness, requiring ground planes to avoid cross-talk, which could reduce the water equivalence of the detector and increase the attenuation for the EPID imager. The new PCB results in the MP987 having more than 8 times the number of active pixels and greater than 4.7 times the active area of the original “Magic Plate”.
To handle the large number of active pixels a custom data acquisition system (DAQ) was developed to be capable of reading out up to 1024 channels, on a pulse-by-pulse basis. The system developed was based on the 64-channel analogue front end chip, the AFE0064 (Texas Instrument, Dallas, TX, USA) and the field programable gate array (FPGA) Spartan-6 from Xilinx (USA) [17]. A custom front-end board was developed for the MP987 which consisted of four AFE0064 chips, making each module capable of handling 256 channels. Four 256 channels modules are connected in a star-like network and readout simultaneously by a single FPGA using a common master bus for communication (Figure 2). The FPGA was connected to a computer through a USB 2.0 interface. Custom software and firmware were developed to communicate with the FPGA, receive, decode, and display data in real-time.

2.1. Percentage Depth Dose

The percentage depth dose (PDD) measurement, along with all other measurements presented, used a 6 MV flattened beam delivered by a Clinac IX (Varian Medical Systems, Palo Alto, CA, USA) linear accelerator. The PDD measurements were performed in Solid Water (SW) (Promis Electro Optic, Wijchen, The Netherlands) with the source to surface distance (SSD) kept constant at 100 cm. The response of the MP987 central pixel irradiated with a field size of 10 × 10 cm2 at each measured depth (between 1.5 and 20 cm) was normalised to its response at dmax (1.5 cm depth, reference conditions). The same measurements were made with a Farmer (Scanditronix/Wellhofer FC23-C) ionisation chamber (IC), used as a reference detector.

2.2. Dose Per Pulse

A characterisation of the dose per pulse (DPP) dependence is essential when taking measurements at extended SSD. To characterise the MP987 DPP dependence, the response at varying SSD between 80 to 300 cm, with a constant 1.5 cm of SW buildup used. The response of three central pixels at each measurement distance was normalised to their response at 100 cm SSD, creating the vector S(SSD). Only pixels at the centre were considered, to avoid any introduction of energy dependence due to the varying energy spectrum of the flattened beam. The same set of data were acquired by the Farmer chamber and named Sref (SSD). The dose per pulse dependence is then calculated as the ratio S(SSD)/Sref (SSD). A more detailed description of the method adopted is outlined by Brace et al. [14]. Five repetitions of the measurement were taken, and error bars were calculated as one standard deviation.

2.3. Radiation Damage

The epitaxial diode, adopted to manufacture the original MP121, suffered an uncharacteristic response variation with irradiation by Co-60 gamma rays [15,16]. The new topology of the diode has been designed to mitigate that large variation and obtain a more stable pixel response. To quantify the response stability of the new diode, five test structures have been irradiated in steps of 10 kGy at the ANSTO’s GATRI facility using a 1.2 kGy/h Cobalt-60 source. An initial measurement of the collected charge was taken at the linac’s reference conditions. The same measurement was taken after 10, 20 and 30 kGy of accumulated dose. The charge collected in each subsequent measurement was normalised to the initial measurement and the mean and standard deviation were calculated over the five samples.

2.4. Uniformity

A measure of the uniformity of diode response was performed by delivering a beam of 30 × 30 cm2 with the detector placed at 10 cm depth in SW. Three irradiations of 200 MU each were delivered, the cumulative response of each diode after each delivery was averaged. Each pixel’s average response after three measurements was then normalised to the average value of all the pixels. The standard deviation of these normalised values was taken as a measure of the uniformity. The normalised values were used to equalise future measurements, to account for any variation in pixel sensitivity. This is the same procedure adopted by Aldosari et al. [17]. A separate dark field measurement is not required as the pre-amplifier allows for an automatic subtraction of the baseline sampled before each measurement assuming that temperature is not changing.

2.5. Output Factor

Output factors (OF) for the MP987 were performed in SW and compared to the ionisation chamber CC04 (IBA Dosimetry, Schwarzenbruck, Germany). Field sizes between 3 × 3 cm2 and 20 × 20 cm2 were delivered three times each and averaged. The detectors were placed at 10 cm depth, 100 cm SSD with 10 cm of backscatter material. The response at all field sizes was normalised to the response of the 10 × 10 cm2 field.

2.6. Profiles

Central axis (CAX) profiles for 3 × 3, 5 × 5 and 10 × 10 cm2 fields were acquired and compared with the response of a PFD3G Photon diode (IBA Dosimetry, Schwarzenbruck, Germany). These measurements were taken in the same conditions adopted for the OF.

2.7. Linearity

With the diode at reference conditions a range of deliveries between 5 and 1000 MU were delivered. Each measurement is repeated three times and the average collected charge versus nominal MU was plotted. The linearity was quantified by a linear fit and its R2 value. The linearity can also provide the calibration factor assuming the measurements were taken at reference conditions (6 MV photon beam, field size of 10 × 10 cm2, SSD of 100 cm and 1.5 cm depth in a solid water phantom).
Calibration of the charge collected by the MP987 to the dose used in the proceeding measurements was performed with a different in-phantom measurement. The MP987 was placed at 10 cm depth inside SW at 100 cm SSD, and 100 MU was delivered three times with a 10 × 10 cm2 field. A reference measurement with a CC04 was used to find the ratio between the dose at 10 cm depth to the reference condition. The charge calibration for the MP987 was not done directly at the reference condition because at dmax the MP987 can saturate, unless using a very small integration time. Therefore, this methodology allows for the use of a larger integration that reduces noise in the system that is important for application with EPID.

2.8. Transit Dosimetry Characterisation

To validate the use of the MP987 as a transit dosimeter, a series of square fields from 1 × 1 to 20 × 20 cm2 were delivered to a 15 cm thick SW phantom. Figure 2 shows the MP987 placed and secured above the EPID with 7 mm of build-up (a standard 30 × 30 cm2 solid water slab) above the detector and 5 mm between the detector and the EPID surface. The surface of the MP987 was set to 150 cm SSD and the centre of the SW was placed at isocentre.
The Philips Pinnacle3 treatment planning system (Version 16.0) was used to calculate the predicted dose–response at the detector level using the same methodology adopted in [14]. The phantom was CT scanned and the DICOM image was padded with additional voxels to extend the field of view. The full volume of the detector is represented in the extended CT dataset by adding a 12 mm thick water equivalent slab (7 mm of build up plus 5 mm of MP987 PCB and supporting material) at SSD of 150 cm. The dose was then scored at the plane located at 7 mm depth inside the water block and extracted from the treatment plan after a complete simulation of the treatment. As the dose gradient in the buildup region above the detector is large and there is a margin of uncertainty of the real position of the MP987 in respect to the extended CT dataset, an evaluation of the error produced by this uncertainty has been simulated using the TPS. The error bars are calculated as half the difference in dose between the slices at 6 and 8 mm deep.

2.9. IMRT Transit Dosimetry Study

A four-segment, IMRT lung treatment was delivered to a heterogeneous lung phantom with a 2 cm diameter spherical target made of SW. All deliveries were delivered from a gantry angle of 0 degrees (collapsed IMRT). The MP987 was used to measure the transit dose from each of the four segments, in the dual detector configuration. A screenshot of the lung phantom CT scan with the imported detector block is displayed in Figure 3. A full description of the phantom used can be found in [14]. A prescription of 36 Gy in 6 fractions was set to the PTV. The dose overlay extracted from the TPS was used for comparison with the MP987, using the same procedure adopted for the homogeneous SW phantom of Section 2.8. The dose calculated by the TPS for each segment was output separately to allow dose verification to be performed.
The dose–response was compared between the MP987 and the TPS through gamma analysis [18] using two separate criteria, 3%/3 mm and 5%/5 mm (dose/distance to agreement). To allow gamma analysis between the two data sets, the MP987 data were interpolated to a 1 mm grid size using a radial basis function [19], to match the dose grid size of the TPS. The quoted distance to agreement used is in reference to the distance of the field, as it would be at the plane of the isocentre.
The four segments were first delivered as planned, with the target at isocentre, then again with a deliberate target misalignment introduced. The target was shifted laterally 5 mm off isocentre for the error treatment, to see if the dosimetry was sensitive enough to detect this target misalignment.

3. Results

3.1. Percentage Depth Dose

PDD curves for both the MP987 and the reference Farmer IC are presented in Figure 4. It is shown that for the full range of measured data there is less than a 2.5% difference between the MP987 and the IC reference value. This close agreement, even when at the greatest depth of 20 cm, indicates that there are no strong combined effects of the energy dependence and DPP of the diodes to a flattened 6 MV beam.

3.2. Dose Per Pulse

The DPP dependence of the MP987 is presented in Figure 5. All three samples show a similar and small dose rate dependence of less than ±5%, for the whole measurement range. The greatest gradient of dependence occurs in the high dose rate range. While a stable response, within 2%, is observed in the area that corresponds to an SSD of 140 to 300 cm. As this is the typical range of DPP the MP987 would be used in as a transit detector, the DPP dependence is therefore likely to be negligible, unlike previously observed with the MP121 [8,11].

3.3. Radiation Damage

A maximum change in sensitivity of 4.3% ± 0.3% of the MP987 diode’s response is observed at 30 kGy of accumulated dose (Figure 6). This is a significant improvement in respect to the previous generation of diodes which showed an increase in sensitivity of 200% [15]. The result validates the hypothesis of reducing the area of Si-SiO2 interfaces, identified as the cause of an increase in sensitivity with accumulated dose [16]. The small variation in response of less than ±2% at exposures of 20 kGy, along with the small DPP dependence suggests this detector does not require any pre-irradiation.

3.4. Uniformity

The average standard deviation of the variation in the response of each diode was 0.4% over three successive measurements. The standard deviation of the response in the diodes across the whole detector was 4.4% and after the equalisation procedure, a uniform response is obtained.

3.5. Output Factor

Output factors for the MP987 are presented and compared to the CC04 IC in Figure 7. An agreement within error is observed even for the smallest measured field size of 3 × 3 cm2. An over-response of less than 3% is observed for field sizes larger than the reference 10 × 10 cm2. The large sensitive volume of the diodes produces the over-response observed at large field sizes, due to the softer spectrum of the primary and scattered radiation beam [20].

3.6. Profiles

Relative profiles for the MP987 are presented and compared to a PFD3G photon diode in Figure 8. A close agreement for the two data sets is observed at all three field sizes. The agreement is generally within error for the in-field region, but close agreement is still observed for points in the penumbra and there is no significant over response of the tail of the profile, as is observed in EPID profile measurements [11].

3.7. Linearity

Response of the MP987 was measured with respect to varying delivered doses between 5 and 1000 Gy at isocentre. A linear fit for the full range of MU resulted in an R2 value of 1. The equation of conversion for MU to charge collected (Q), at the linac reference condition was Q = 240 * MU (pC). This gives a calibration factor of 24,000 pC/Gy.

3.8. Tranist Dosimetry Characterisation—Field Factor

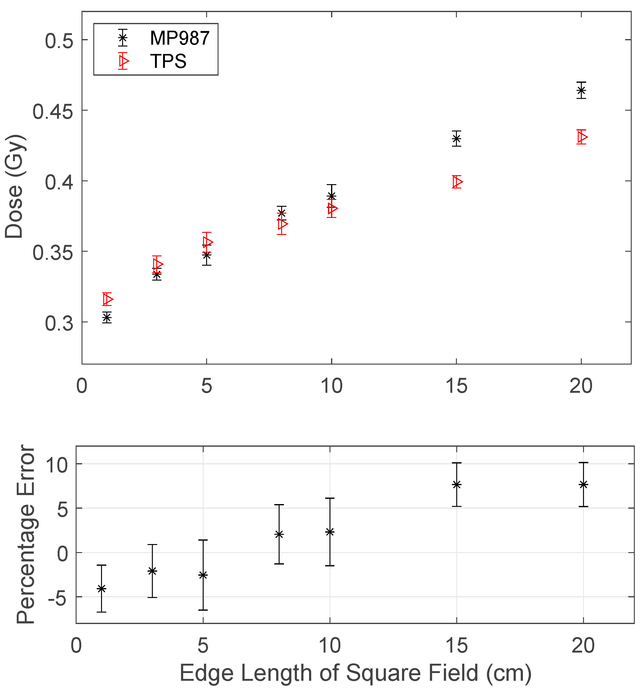
The transit dose measured at the centre of the field when the beam irradiates the homogeneous SW Phantom and compared to the TPS calculations is presented in Figure 9. It can be observed that for field sizes between 3 × 3 cm2 and 10 × 10 cm2, the MP987 and TPS agree within error. However, the MP987 does measure a greater dose than the TPS for the two largest field sizes. This results from the combination of increased scatter radiation from the SW phantom at the larger fields and the presence of the couch, which the TPS does not include in the calculations. As the DPP dependence was shown to increase the response of the MP987 to lower dose rates (Figure 5), it could not be the cause of this over-response. The observed over-response for the MP987 in the output factor measurements of approximately 3% does however account for half of the discrepancy, reducing the difference from the TPS data to less than 4%.

3.9. IMRT Transit Dosimetry Study

The pass rates for the gamma analysis of the IMRT treatment between the MP987 and TPS is presented in Table 1. With the criteria of 5%/5 mm, the segment with the closest agreement was segment 3, with a pass rate of 97.4% and the worst agreement was in segment 1, with a pass rate of 94.2%. When the criteria are restricted to 3%/3 mm, a good pass rate is still maintained with values from 89.3% to 93.9% for the four segments.
Figure 10 displays the dose maps for segment 3 for the MP987 with and without the deliberate target shift, the TPS dose map and the associated gamma maps. In the gamma maps presented in Figure 10d,e the greyscale represents how closely the dose at the position agrees between the two maps, with white showing complete agreement. When the specified criteria fails at a point the pixel is displayed as red. This red does not show how far from agreement the point was. For the standard delivery, the gamma map Figure 10d shows that the dose in the centre of the field is within the agreement of the TPS value. Most fail points are all located in the penumbras or tail of the field. This may be in part attributed to the interpolation of the MP987 data to match the required 1 mm grid size, which may not reconstruct the shape of the penumbra accurately.
The 5 mm alignment error results in little difference in pass rates at the 5%/5 mm criteria (less than 1% reduction compared to the regular delivery) but is more prominent with the 3%/3 mm criteria. With the more stringent criteria, the reduction in the pass rate from the correctly delivered plan is reduced by 3.7%, on average for the four segments. It can be observed in the dose map in Figure 10c that the target has moved, but only the shift of the high-density gold fiducial results in additional fail points Figure 10e, when using a 5%/5 mm criteria. The misalignment of the target therefore creates a measurable difference in dose at the level of the MP987, but may not necessarily fail a gamma analysis. This highlights the advantage of having a dual detector system, where imaging performed with the EPID can quantify any shift in a target, as previously demonstrated [14].

4. Discussion

The MP987 has shown to be suitable for performing a wide variety of phantom dosimetry measurements. The results not only demonstrate the dosimetric characteristics of the detector but the capability of the custom DAQ to perform real-time readout on a pulse-by-pulse basis for close to 1000 channels. Measurements carried out in phantom proved that most of the limitations from the previous generation of diodes adopted in the “Magic Plate” detector, associated with dose per pulse dependence and stability with radiation damage, are negligible in the new MP987 diodes. The reduction in these effects brings the technology closer towards a correction free in vivo dosimetry solution. Additionally, it has been demonstrated that MP987 is uniquely suited to the intended application of transit dosimetry. When a homogeneous phantom is used as the target, measured and predicted dose at the EPID level for field sizes between 3 × 3 and 10 × 10 cm2 agreed within error. While correction factors may be required for larger field sizes, the discrepancy remains within 3% for field sizes up to 20 × 20 cm2. In the first pre-clinical test pass rates for absolute dose gamma analysis of the four segments of a step and shoot IMRT plan showed between 94.2% and 97.4% pass fractions with a 5%/5 mm criteria. While this collapsed IMRT study is not a comprehensive assessment of multiple patient plans on a truly anthropomorphic phantom, it is still considered by the authors to be a significant result that will motive future in vivo dosimetry studies with the MP987.
The spatial resolution of MP987 may be too sparse for beamlets with their penumbra falling in the peripheral area of the detector. The high sensitivity of the diodes and the real-time multichannel electrometer performing pulse by pulse acquisition makes the detector uniquely suited to perform analysis at each control point of the delivery. Future developments of the MP987 include the mechanical setup to secure the system above the EPID without triggering the collision sensor and allowing the rotation of the linac’s gantry and allow delivery in clinical settings.
A potential additional application of the MP987 system is in high dose rate (HDR) brachytherapy source tracking. The compact mechanical setup, the large area and the high sensitivity make it uniquely suitable for this application. Therefore, both a fully integrated dual detector for in vivo dosimetry in external beam radiotherapy and HDR brachytherapy source tracking will be the subject of future work with the MP987.

5. Conclusions

The novel, large active area MP987, a custom-built pixelated silicon array detector, with readout system and software has been successfully developed and shown to be well suited to performing dosimetry in EBRT. Characterisation measurements of PDD and OF had a percentage difference of less than 2.5% to the reference detector. A negligible dose per pulse dependence was observed, unlike in earlier implementations of the drop-in technology, showing the MP987 has improved dosimetry characteristics as well as better spatial resolution and active area. The first pre-clinical test on the MP987 show that it can perform transit dosimetry, without requiring the extensive use of correction factors, as with modern EPID dosimetry systems. An absolute dose gamma analysis between the MP987 and the predicted transit dose from the TPS had up to 97.4% pass rate for a lung phantom when a 5%/5 mm criteria were used (suitable for detecting potentially harmful dose errors). The MP987 is an easy to implement in vivo dosimetry tool for EBRT that has the potential to perform real-time, independent dose verification.

Author Contributions

The authors contributed in the following roles: Conceptualization, A.B.R. and M.P.; investigation, O.J.B., I.F., J.A.D., T.C., D.W. and M.P.; methodology, O.J.B., T.C., D.W. and M.P.; software, O.J.B., I.F. and S.A.; formal analysis, O.J.B. and A.T.L.; visualization, O.J.B.; writing—original draft preparation, O.J.B.; writing—review and editing, O.J.B., S.A., A.B.R. and M.P.; supervision, D.W., A.B.R. and M.P.; project administration, A.B.R. and M.P.; funding acquisition, A.B.R. and M.P.; A.P. contribution to M.P. fabrication under CMRP design. All authors have read and agreed to the published version of the manuscript.

Funding

This research has been conducted with the support of the Australian Government Research Training Program Scholarship.

Institutional Review Board Statement

Not applicable.

Informed Consent Statement

Not applicable.

Data Availability Statement

Not applicable.

Acknowledgments

The authors would like to acknowledge Illawarra Cancer Care Centre for facilitating this work.

Conflicts of Interest

The authors declare no conflict of interest.

References

  1. Ford, E.C.; Evans, S.B. Incident learning in radiation oncology: A review. Med. Phys. 2018, 45, e100–e119. [Google Scholar] [CrossRef] [PubMed] [Green Version]
  2. MacDougall, N.D.; Graveling, M.; Hansen, V.N.; Brownsword, K.; Morgan, A. In vivo dosimetry in UK external beam radiotherapy: Current and future usage. Br. J. Radiol. 2017, 90, 20160915. [Google Scholar] [CrossRef] [Green Version]
  3. Olaciregui-Ruiz, I.; Beddar, S.; Greer, P.; Jornet, N.; McCurdy, B.; Paiva-Fonseca, G.; Mijnheer, B.; Verhaegen, F. In vivo dosimetry in external beam photon radiotherapy: Requirements and future directions for research, development, and clinical practice. Phys. Imaging Radiat. Oncol. 2020, 15, 108–116. [Google Scholar] [CrossRef]
  4. Esposito, M.; Villaggi, E.; Bresciani, S.; Cilla, S.; Falco, M.D.; Garibaldi, C.; Russo, S.; Talamonti, C.; Stasi, M.; Mancosu, P. Estimating dose delivery accuracy in stereotactic body radiation therapy: A review of in-vivo measurement methods. Radiother. Oncol. 2020, 149, 158–167. [Google Scholar] [CrossRef] [PubMed]
  5. Berry, S.L.; Polvorosa, C.; Cheng, S.; Deutsch, I.; Chao, K.S.C.; Wuu, C.S. Initial clinical experience performing patient treatment verification with an electronic portal imaging device transit dosimeter. Int. J. Radiat. Oncol. Biol. Phys. 2014, 88, 204–209. [Google Scholar] [CrossRef] [PubMed]
  6. Francois, P.; Boissard, P.; Berger, L.; Mazal, A. In vivo dose verification from back projection of a transit dose measurement on the central axis of photon beams. Phys. Medica 2011, 27, 1–10. [Google Scholar] [CrossRef] [PubMed]
  7. Celi, S.; Costa, E.; Wessels, C.; Mazal, A.; Fourquet, A.; Francois, P. EPID based in vivo dosimetry system: Clinical experience and results. J. Appl. Clin. Med. Phys. 2016, 17, 262–276. [Google Scholar] [CrossRef] [PubMed]
  8. Wendling, M.; McDermott, L.N.; Mans, A.; Sonke, J.J.; van Herk, M.; Mijnheer, B.J. A simple backprojection algorithm for 3D in vivo EPID dosimetry of IMRT treatments. Med. Phys. 2009, 36, 3310–3321. [Google Scholar] [CrossRef] [PubMed] [Green Version]
  9. Bedford, J.L.; Hanson, I.M.; Hansen, V.N. Comparison of forward- and back-projection in vivo EPID dosimetry for VMAT treatment of the prostate. Phys. Med. Biol. 2018, 63, 025008. [Google Scholar] [CrossRef] [PubMed]
  10. Mijnheer, B.; Olaciregui-Ruiz, I.; Rozendaal, R.; Spreeuw, H.; van Herk, M.; Mans, A. Current status of 3D EPID-based in vivo dosimetry in The Netherlands Cancer Institute. J. Phys. 2015, 573, 12014. [Google Scholar] [CrossRef]
  11. Greer, P.B. Correction of pixel sensitivity variation and off-axis response for amorphous silicon EPID dosimetry. Med. Phys. 2005, 32, 3558–3568. [Google Scholar] [CrossRef] [PubMed]
  12. Blake, S.J.; McNamara, A.L.; Deshpande, S.; Holloway, L.; Greer, P.B.; Kuncic, Z.; Vial, P. Characterization of a novel EPID designed for simultaneous imaging and dose verification in radiotherapy. Am. Assoc. Phys. Med. 2013, 40, 091902. [Google Scholar] [CrossRef] [PubMed]
  13. Deshpande, S.; McNamara, A.L.; Holloway, L.; Metcalfe, P.; Vial, P. Feasibility study of a dual detector configuration concept for simultaneous megavoltage imaging and dose verification in radiotherapy. Med. Phys. 2015, 42, 1753–1764. [Google Scholar] [CrossRef] [PubMed]
  14. Brace, O.J.; Alhujaili, S.; Deshpande, S.; Davis, J.A.; Vial, P.; Metcalfe, P.; Rosenfeld, A.B.; Petasecca, M. Feasibility of a dual detector system to perform transit dosimetry and MV imaging in-vivo. J. Instrum. 2019, 14, P01019. [Google Scholar] [CrossRef]
  15. Wong, J.H.D.; Fuduli, I.; Carolan, M.; Petasecca, M.; Lerch, M.L.F.; Perevertaylo, V.L.; Metcalfe, P.; Rosenfeld, A.B. Characterization of a novel two dimensional diode array the “magic plate” as a radiation detector for radiation therapy treatment. Med. Phys. 2012, 39, 2544–2558. [Google Scholar] [CrossRef] [PubMed]
  16. Aldosari, A.H.; Espinoza, A.; Robinson, D.; Fuduli, I.; Porumb, C.; Alshaikh, S.; Carolan, M.; Lerch, M.L.F.; Perevertaylo, V.; Rosenfeld, A.B.; et al. Characterization of an innovative p-type epitaxial diode for dosimetry in modern external beam radiotherapy. IEEE Trans. Nucl. Sci. 2013, 60, 4705–4712. [Google Scholar] [CrossRef]
  17. Aldosari, A.H.; Petasecca, M.; Espinoza, A.; Newall, M.; Fuduli, I.; Porumb, C.; Alshaikh, S.; Alrowaili, Z.A.; Weaver, M.; Metcalfe, P.; et al. A two dimensional silicon detectors array for quality assurance in stereotactic radiotherapy: MagicPlate-512. Med. Phys. 2014, 41, 091707. [Google Scholar] [CrossRef] [PubMed]
  18. Low, D.A.; Harms, W.B.; Mutic, S.; Purdy, J.A. A technique for the quantitative evaluation of dose distributions. Med. Phys. 1998, 25, 656–661. [Google Scholar] [CrossRef] [PubMed]
  19. Torres, C.E.; Barba, L.A. Fast radial basis function interpolation with Gaussians by localization and iteration. J. Comput. Phys. 2009, 228, 4976–4999. [Google Scholar] [CrossRef]
  20. Saini, A.S.; Zhu, T.C. Energy dependence of commercially available diode detectors for in-vivo dosimetry. Med. Phys. 2007, 34, 1704–1711. [Google Scholar] [CrossRef] [PubMed]
Figure 1. (a) MP987 PCB populated with diodes; (b) Schematic of the top surface of diodes used to populate MP987. Blue area represents active n+ region 1.27 × 1.27 mm2, total chip size 1.5 × 1.5 mm2. At the right corner is a contact pad to p+ substrate.
Figure 1. (a) MP987 PCB populated with diodes; (b) Schematic of the top surface of diodes used to populate MP987. Blue area represents active n+ region 1.27 × 1.27 mm2, total chip size 1.5 × 1.5 mm2. At the right corner is a contact pad to p+ substrate.
Applsci 12 00537 g001
Figure 2. Experimental setup of the dual detector to measure transit dose through the homogenous SW phantom.
Figure 2. Experimental setup of the dual detector to measure transit dose through the homogenous SW phantom.
Applsci 12 00537 g002
Figure 3. DICOM image of lung phantom as viewed in TPS software, with padded area extension and 12 mm thick water equivalent layer added at 150 cm SSD to represent the MP987. Image converted to grayscale and pixel values inverted.
Figure 3. DICOM image of lung phantom as viewed in TPS software, with padded area extension and 12 mm thick water equivalent layer added at 150 cm SSD to represent the MP987. Image converted to grayscale and pixel values inverted.
Applsci 12 00537 g003
Figure 4. Percentage depth dose curves of MP987 and Farmer IC and the percentage difference between them ([MP987-IC]/IC * 100). Error bars represent one standard deviation (SD) of the measured values over five repetitions.
Figure 4. Percentage depth dose curves of MP987 and Farmer IC and the percentage difference between them ([MP987-IC]/IC * 100). Error bars represent one standard deviation (SD) of the measured values over five repetitions.
Applsci 12 00537 g004
Figure 5. Dose per pulse dependence of three central pixels of the MP987, labeled 1, 2 and 3. Error bars represent one SD of the measured values over three repetitions.
Figure 5. Dose per pulse dependence of three central pixels of the MP987, labeled 1, 2 and 3. Error bars represent one SD of the measured values over three repetitions.
Applsci 12 00537 g005
Figure 6. The effect of accumulated dose on charge collected by MP987 for 6 MV beam. Error bars represent 1 SD.
Figure 6. The effect of accumulated dose on charge collected by MP987 for 6 MV beam. Error bars represent 1 SD.
Applsci 12 00537 g006
Figure 7. Output factor measured with the MP987 and CC04 IC and the corresponding percentage difference. Error bars represent 1 SD of the measured value.
Figure 7. Output factor measured with the MP987 and CC04 IC and the corresponding percentage difference. Error bars represent 1 SD of the measured value.
Applsci 12 00537 g007
Figure 8. Normalized profiles measured with the MP987 compared with a photon diode. Values are normalized to the 10 × 10 cm2 fields response. Error bars represent one SD of the measured values.
Figure 8. Normalized profiles measured with the MP987 compared with a photon diode. Values are normalized to the 10 × 10 cm2 fields response. Error bars represent one SD of the measured values.
Applsci 12 00537 g008
Figure 9. Transit dose measured with the MP987 compared to TPS predicted response with 7 mm of SW buildup. Error bars represent 1 SD of the measured value for MP987 and error of TPS considered as the deviation in response for ±0.5 mm in buildup.
Figure 9. Transit dose measured with the MP987 compared to TPS predicted response with 7 mm of SW buildup. Error bars represent 1 SD of the measured value for MP987 and error of TPS considered as the deviation in response for ±0.5 mm in buildup.
Applsci 12 00537 g009
Figure 10. Transit dose maps measured/calculated at the dual detector level for segment 3 of the IMRT treatment (a) MP987; (b) TPS; (c) MP987 with 5 mm misalignment error introduced. Additionally, the gamma maps (red represents fail points) for (d) MP987 compared to TPS; (e) MP987 with error compared to TPS.
Figure 10. Transit dose maps measured/calculated at the dual detector level for segment 3 of the IMRT treatment (a) MP987; (b) TPS; (c) MP987 with 5 mm misalignment error introduced. Additionally, the gamma maps (red represents fail points) for (d) MP987 compared to TPS; (e) MP987 with error compared to TPS.
Applsci 12 00537 g010
Table 1. Gamma analysis pass rate for MP987 measured map, compared to TPS calculation for each segment of the IMRT delivery. Both the standard delivery and the introduction of the deliberate 5 mm misalignment were presented.
Table 1. Gamma analysis pass rate for MP987 measured map, compared to TPS calculation for each segment of the IMRT delivery. Both the standard delivery and the introduction of the deliberate 5 mm misalignment were presented.
DeliveryPass Rate (%)
3%/3 mm5%/5 mm
Segment 189.394.2
Segment 1–5 mm shift84.393.7
Segment 293.096.6
Segment 2–5 mm shift90.296.5
Segment 393.997.4
Segment 3–5 mm shift92.397.3
Segment 490.995.4
Segment 4–5 mm shift85.594.5
Publisher’s Note: MDPI stays neutral with regard to jurisdictional claims in published maps and institutional affiliations.

Share and Cite

MDPI and ACS Style

Brace, O.J.; Fuduli, I.; Alnaghy, S.; Le, A.T.; Davis, J.A.; Causer, T.; Wilkinson, D.; Perevertaylo, A.; Rosenfeld, A.B.; Petasecca, M. A Large Area Pixelated Silicon Array Detector for Independent Transit In Vivo Dosimetry. Appl. Sci. 2022, 12, 537. https://doi.org/10.3390/app12020537

AMA Style

Brace OJ, Fuduli I, Alnaghy S, Le AT, Davis JA, Causer T, Wilkinson D, Perevertaylo A, Rosenfeld AB, Petasecca M. A Large Area Pixelated Silicon Array Detector for Independent Transit In Vivo Dosimetry. Applied Sciences. 2022; 12(2):537. https://doi.org/10.3390/app12020537

Chicago/Turabian Style

Brace, Owen J., Iolanda Fuduli, Saree Alnaghy, Albert T. Le, Jeremy A. Davis, Trent Causer, Dean Wilkinson, Aleksandr Perevertaylo, Anatoly B. Rosenfeld, and Marco Petasecca. 2022. "A Large Area Pixelated Silicon Array Detector for Independent Transit In Vivo Dosimetry" Applied Sciences 12, no. 2: 537. https://doi.org/10.3390/app12020537

APA Style

Brace, O. J., Fuduli, I., Alnaghy, S., Le, A. T., Davis, J. A., Causer, T., Wilkinson, D., Perevertaylo, A., Rosenfeld, A. B., & Petasecca, M. (2022). A Large Area Pixelated Silicon Array Detector for Independent Transit In Vivo Dosimetry. Applied Sciences, 12(2), 537. https://doi.org/10.3390/app12020537

Note that from the first issue of 2016, this journal uses article numbers instead of page numbers. See further details here.

Article Metrics

Back to TopTop