Hybrid Modeling for Solutions of Sediment Deposition in a Low-Land Reservoir with Multigate Sluice Structure
Abstract
:1. Introduction
2. Reservoir and Sluice Structure
3. Guide-Vane Layout
4. Hybrid Modeling
4.1. Physical Model Tests
4.2. Numerical Simulations
5. Results and Discussion
5.1. Comparisons with Prototype Measurements
5.2. Existing Reservoir Flow Patterns
5.3. Configurating Guide Vanes
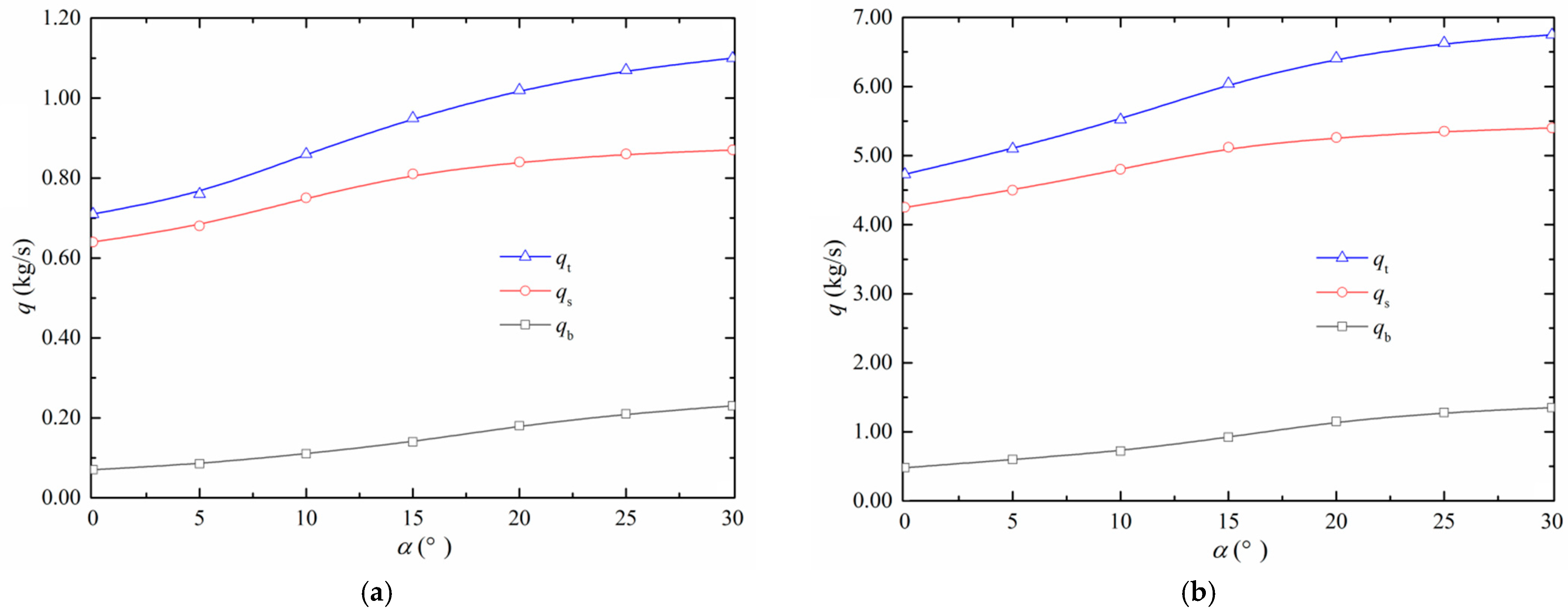
5.4. Sedimentation Patterns and Flushing Efficiency
6. Conclusions
Author Contributions
Funding
Institutional Review Board Statement
Informed Consent Statement
Data Availability Statement
Acknowledgments
Conflicts of Interest
References
- Da Silva, A.M.F.; Yalin, M.S. Fluvial Processes, 2nd ed.; CRC Press, Taylor & Francis Group: London, UK, 2017. [Google Scholar]
- Robert, A. River Process—An Introduction to Fluvial Dynamics, 1st ed.; Routledge: London, UK, 2003. [Google Scholar]
- Chen, Y.; Yang, J.; Yu, J.; Fu, Z.; Chen, Q. Flow expansion and deflection downstream of a symmetric multi-gate sluice structure. KSCE J. Civ. Eng. 2020, 24, 471–482. [Google Scholar] [CrossRef]
- Odgaard, A.J. River Training and Sediment Management with Submerged Vanes-American Society of Civil Engineers; ASCE Press: Reston, VA, USA, 2009. [Google Scholar]
- Lee, B.O.; Fitzpatrick, F.A.; Hoopes, J.A. Effectiveness of submerged vanes for stabilizing streamside bluffs. J. Hydraul. Eng. 2021, 147, 04020093. [Google Scholar] [CrossRef]
- Siefken, S.; Ettema, R.; Posner, A.; Baird, D.; Holste, N.; Dombroski, D.E.; Padilla, R.S. Optimal configuration of rock Vanes and bendway weirs for river bends: Numerical-model insights. J. Hydraul. Eng. 2021, 147, 04021013. [Google Scholar] [CrossRef]
- Marelius, F. Vane Applications and Vane Induced Flow. Ph.D. Thesis, KTH-Royal Institute of Technology, Stockholm, Sweden, 2001. [Google Scholar]
- Wang, Y.; Odgaard, A.J.; Melville, B.W.; Jain, S.C. Sediment control at water intakes. J. Hydraul. Eng. 1996, 122, 353–356. [Google Scholar] [CrossRef]
- Odgaard, A.J.; Kennedy, J.F. River-bend bank protection by submerged vanes. J. Hydraul. Eng. 1983, 109, 1161–1173. [Google Scholar] [CrossRef]
- Odgaard, A.J. River Management with Submerged Vanes. In River System Analysis and Management; Springer: Singapore, 2017; pp. 251–261. [Google Scholar]
- Ouyang, H.-T.; Lai, J.-S. Design optimization of a submerged vane with streamlined profile for sediment management in rivers. J. Mar. Sci. Technol. 2013, 21, 325–332. [Google Scholar]
- Odgaard, A.J.; Wang, Y. Sediment management with submerged vanes. I: Theory. J. Hydraul. Eng. 1991, 117, 267. [Google Scholar] [CrossRef]
- Odgaard, A.J.; Wang, Y. Sediment management with submerged vanes. II: Applications. J. Hydraul. Eng. 1991, 117, 284–302. [Google Scholar] [CrossRef]
- Ouyang, H.-T. Investigation on the dimensions and shape of a submerged vane for sediment management in alluvial channels. J. Hydraul. Eng. 2009, 135, 209–217. [Google Scholar] [CrossRef]
- Ouyang, H.-T.; Lai, J.-S.; Yu, H.; Lu, C.-H. Interaction between submerged vanes for sediment management. J. Hydraul. Res. 2008, 46, 620–627. [Google Scholar] [CrossRef]
- Endreny, T.; Soulman, M. Hydraulic analysis of river training cross-vanes as part of post-restoration monitoring. Hydrol. Earth Syst. Sci. 2011, 15, 2119–2126. [Google Scholar] [CrossRef] [Green Version]
- Radspinner, R.; Diplas, P.; Lightbody, A.F.; Sotiropoulos, F. River training and ecological enhancement potential using in-stream structures. J. Hydraul. Eng. 2010, 136, 967–980. [Google Scholar] [CrossRef]
- Bhuiyan, F.; Hey, R.D.; Wormleaton, P.R. Bank-attached vanes for bank erosion control and restoration of river meanders. J. Hydraul. Eng. 2010, 136, 583–596. [Google Scholar] [CrossRef]
- Han, S.; Ramamurthy, A.; Biron, P.M. Characteristics of flow around open channel 90° bends with vanes. J. Irrig. Drain. Eng. 2011, 137, 668–676. [Google Scholar] [CrossRef]
- Rodríguez-Amaya, C.; Durán-Ariza, A.; Duarte-Méndez, S. Submerged vane technology in Colombia: Five representative projects. Water 2020, 12, 984. [Google Scholar] [CrossRef]
- Aminian, P.; Ahmadi, A.; Emamgholizadeh, S. Experimental investigation on the deviated sediment and flow to sediment bypass tunnels (SBTs) using submerged plates. J. Hydraul. Struct. 2019, 5, 18–31. [Google Scholar]
- Beiramipour, S.; Qaderi, K.; Rahimpour, M.; Ahmadi, M.M.; Kantoush, S.A. Effect of Submerged Vanes in front of Circular Reservoir Intake on Sediment Flushing Cone. Proc. Inst. Civ. Eng. Water Manag. 2021, 174, 252–266. [Google Scholar] [CrossRef]
- Türkben, A.B. Experimental Study of Submerged Vanes in Intakes under Sediment Feeding Conditions. E3S Web Conf. 2018, 40, 03016. [Google Scholar] [CrossRef]
- Barani, G.A.; Sardo, M.S. Experimental investigation of submerged vanes’ shape effect on river-bend stability. J. Hydraul. Struct. 2013, 1, 37–43. [Google Scholar]
- Sharma, H.; Jain, B.; Ahmad, Z. Optimization of submerged vane parameters. Indian Acad. Sci. 2016, 41, 327–336. [Google Scholar] [CrossRef]
- Odgaard, A.J.; Spoljaric, A. Sediment Control by Submerged Vanes. Design basis. In River Meandering; American Geophysical Union: Washington, DC, USA, 1989; Volume 12, pp. 127–151. [Google Scholar]
- Wang, Z.-Y.; Lee, J.H.; Melching, C.S. River Dynamics and Integrated River Management; Springer Science & Business Media: Berlin, Germany, 2014. [Google Scholar]
- Giglou, A.N.; Mccorquodale, J.A.; Solari, L. Numerical study on the effect of the spur dikes on sedimentation pattern. Ain Shams Eng. J. 2018, 9, 2057–2066. [Google Scholar] [CrossRef]
- Ezzeldin, R.M. Numerical and experimental investigation for the effect of permeability of spur dikes on local scour. J. Hydroinform. 2019, 21, 335–342. [Google Scholar] [CrossRef]
- Shih, D.-S.; Lai, T.-Y. Study of Bend Scour and Spur Protection for Fengshan River of Taiwan. In Proceedings of the World Environmental and Water Resources Congress 2020: Hydraulics, Waterways, and Water Distribution Systems Analysis, Henderson, NV, USA, 17–21 May 2020; pp. 220–224. [Google Scholar]
- Hemmati, M.; Daraby, P. Erosion and sedimentation patterns associated with restoration structures of bendway weirs. J. Hydro-Environ. Res. 2019, 22, 19–28. [Google Scholar] [CrossRef]
- Siefken, S. Computational Fluid Dynamics Models of Rio Grande Bends Fitted with Rock Vanes or Bendway Weirs. Master’s Thesis, Colorado State University, Fort Collins, CO, USA, 2019. [Google Scholar]
- Oberhagemann, K.; Haque, A.; Thompson, A. A century of riverbank protection and river training in Bangladesh. Water 2020, 12, 3018. [Google Scholar] [CrossRef]
- Van Vuren, S.; Paarlberg, A.; Havinga, H. The aftermath of “Room for the River” and restoration works: Coping with excessive maintenance dredging. J. Hydro-Environ. Res. 2015, 9, 172–186. [Google Scholar] [CrossRef]
- Heller, V. Scale effects in physical hydraulic engineering models. J. Hydraul. Res. 2011, 49, 293–306. [Google Scholar] [CrossRef]
- Chadwick, A.; Morfett, J.; Borthwick, M. Hydraulics in Civil and Environmental Engineering, 5th ed.; CRC Press: Boca Raton, FL, USA, 2013. [Google Scholar]
- Peakall, J.; Warburton, J. Surface tension in small hydraulic river models—The significance of the Weber number. J. Hydrol. 1996, 35, 199–212. [Google Scholar]
- Maxwell, W.; Hall, C.; Weggel, J. Surface tension in Froude models. J. Hydraul. Div. 1969, 95, 677–704. [Google Scholar] [CrossRef]
- Deltares. Delft3D-Flow, User Manual; Deltares: Delft, The Netherlands, 2014. [Google Scholar]
- Mike21. Sediment Transport and Morphological Modelling—User Guide; DHI Water and Environment: Horsholm, Denmark, 2007. [Google Scholar]
- Telemac-Mascaret. TELEMAC-2D User Manual; EDF: Paris, France, 2007. [Google Scholar]
- Hu, P.; Lei, Y.; Han, J.; Cao, Z.; Liu, H.; He, Z. Computationally efficient modeling of hydro-sediment-morphodynamic processes using a hybrid local time step/global maximum time step. Adv. Water Resour. 2019, 127, 26–38. [Google Scholar] [CrossRef]
- Hu, P.; Lyu, B.; Li, J.; Sun, M.; Li, W.; Cao, Z. A new two-phase shallow water hydro-sediment-morphodynamic model based on the HLLC solver and the hybrid LTS/GMaTS approach. Adv. Water Resour. 2022, 166, 104254. [Google Scholar] [CrossRef]
- Van Rijn, L.C. Principles of Sediment Transport in Rivers, Estuaries and Coastal Seas; Aqua Publications: Amsterdam, The Netherlands, 1993. [Google Scholar]
- Baar, A.W.; Albernaz, M.B.; van Dijk, W.M.; Kleinhans, M.G. Critical dependence of morphodynamic models of fluvial and tidal systems on empirical downslope sediment transport. Nat. Commun. 2019, 10, 4903. [Google Scholar] [CrossRef] [PubMed]
- Rinaldi, M.; Mengoni, B.; Luppi, L.; Darby, S.E.; Mosselman, E. Numerical simulation of hydrodynamics and bank erosion in a river bend. Water Resour. Res. 2008, 44, W09428. [Google Scholar] [CrossRef]
- Yang, S.-Q. Formula for sediment transport in rivers, estuaries, and coastal waters. J. Hydraul. Eng. 2005, 131, 968–979. [Google Scholar] [CrossRef]
- Olsen, N.R. Two-dimensional numerical modelling of flushing processes in water reservoirs. J. Hydraul. Res. 1999, 37, 3–16. [Google Scholar] [CrossRef]
- Partheniades, E. Erosion and deposition of cohesive soils. J. Hydraul. Div. 1965, 91, 105–139. [Google Scholar] [CrossRef]
- Partheniades, E. Turbidity and Cohesive Sediment Dynamics. In Marine Interfaces Ecohydrodynamics; Elsevier Oceanography Series; Elsevier: Amsterdam, The Netherlands, 1986; Volume 42, pp. 515–550. [Google Scholar]


















| Case | Q (m3/s) | S (kg/m3) | Zu (m) | Zd (m) | e (m) | B (=N × bg) (m) |
|---|---|---|---|---|---|---|
| 1 | 32 | 0.026 | 7.75 | 6.49 | 0.5 | 24 (=3 × 8) |
| 2 | 135 | 0.040 | 7.97 | 7.75 | 2.0 | 48 (=6 × 8) |
| 3 | 380 | 0.128 | 10.28 | 9.73 | 4.0 | 48 (=6 × 8) |
| Cross-Section | CS6 | CS5 | Y Axis | CS4 | CS3 | CS2 | CS1 |
|---|---|---|---|---|---|---|---|
| L0 (m) | 280 | 100 | 0 | 110 | 220 | 330 | 700 |
Publisher’s Note: MDPI stays neutral with regard to jurisdictional claims in published maps and institutional affiliations. |
© 2022 by the authors. Licensee MDPI, Basel, Switzerland. This article is an open access article distributed under the terms and conditions of the Creative Commons Attribution (CC BY) license (https://creativecommons.org/licenses/by/4.0/).
Share and Cite
Xie, Q.; Yang, J.; Lundström, T.S.; Chen, J. Hybrid Modeling for Solutions of Sediment Deposition in a Low-Land Reservoir with Multigate Sluice Structure. Appl. Sci. 2022, 12, 9144. https://doi.org/10.3390/app12189144
Xie Q, Yang J, Lundström TS, Chen J. Hybrid Modeling for Solutions of Sediment Deposition in a Low-Land Reservoir with Multigate Sluice Structure. Applied Sciences. 2022; 12(18):9144. https://doi.org/10.3390/app12189144
Chicago/Turabian StyleXie, Qiancheng, James Yang, T. Staffan Lundström, and Jieren Chen. 2022. "Hybrid Modeling for Solutions of Sediment Deposition in a Low-Land Reservoir with Multigate Sluice Structure" Applied Sciences 12, no. 18: 9144. https://doi.org/10.3390/app12189144
APA StyleXie, Q., Yang, J., Lundström, T. S., & Chen, J. (2022). Hybrid Modeling for Solutions of Sediment Deposition in a Low-Land Reservoir with Multigate Sluice Structure. Applied Sciences, 12(18), 9144. https://doi.org/10.3390/app12189144

