Relationship between Unilateral Leg Extension Strength and Dynamic Balance in Healthy Young Men
Abstract
1. Introduction
2. Materials and Methods
2.1. Study Design and Participants
2.2. Unilateral Dynamic Balance
2.3. Unilateral Leg Extension Strength
2.4. Statistical Analysis
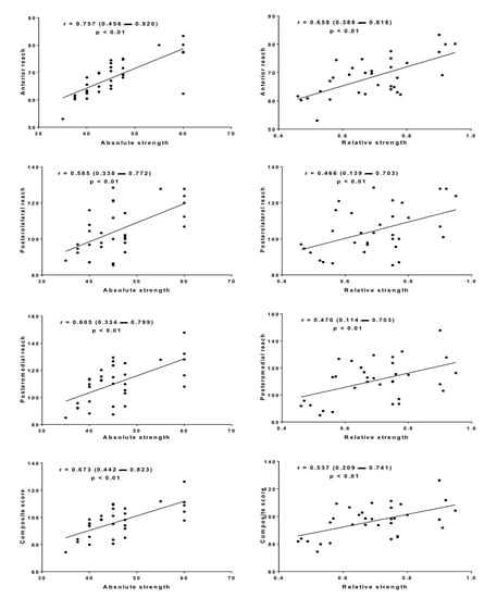
3. Results
4. Discussion
5. Conclusions
Author Contributions
Funding
Institutional Review Board Statement
Informed Consent Statement
Data Availability Statement
Acknowledgments
Conflicts of Interest
References
- Lin, H.W.; Bhattacharyya, N. Balance disorders in the elderly: Epidemiology and functional impact. Laryngoscope 2012, 122, 1858–1861. [Google Scholar] [CrossRef]
- Wearing, J.; Stokes, M.; De Bruin, E.D. Quadriceps muscle strength is a discriminant predictor of dependence in daily activities in nursing home residents. PLoS ONE 2019, 14, e0223016. [Google Scholar] [CrossRef] [PubMed]
- Hammami, R.; Chaouachi, A.; Makhlouf, I.; Granacher, U.; Behm, D.G. Associations between balance and muscle strength, power performance in male youth athletes of different maturity status. Pediatr. Exerc. Sci. 2016, 28, 521–534. [Google Scholar] [CrossRef] [PubMed]
- Blackburn, T.; Guskiewicz, K.M.; Petschauer, M.A.; Prentice, W.E. Balance and joint stability: The relative contributions of proprioception and muscular strength. J. Sport Rehabil. 2000, 9, 315–328. [Google Scholar] [CrossRef]
- Kinzey, S.J.; Armstrong, C.W. The reliability of the star-excursion test in assessing dynamic balance. J. Orthop. Sports Phys. Ther. 1998, 27, 356–360. [Google Scholar] [CrossRef] [PubMed]
- Shum, S.B.; Pang, M.Y. Children with attention deficit hyperactivity disorder have impaired balance function: Involvement of somatosensory, visual, and vestibular systems. J. Pediatr. 2009, 155, 245–249. [Google Scholar] [CrossRef]
- Granacher, U.; Muehlbauer, T.; Gruber, M. A qualitative review of balance and strength performance in healthy older adults: Impact for testing and training. J. Aging Res. 2012, 2012, 708905. [Google Scholar] [CrossRef]
- Vancampfort, D.; Stubbs, B.; Sienaert, P.; Wyckaert, S.; De Hert, M.; Soundy, A.; Probst, M. A comparison of physical fitness in patients with bipolar disorder, schizophrenia and healthy controls. Disabil. Rehabil. 2016, 38, 2047–2051. [Google Scholar] [CrossRef]
- Morrison, S.; Armitano, C.N.; Raffaele, C.T.; Deutsch, S.I.; Neumann, S.A.; Caracci, H.; Urbano, M.R. Neuromotor and cognitive responses of adults with autism spectrum disorder compared to neurotypical adults. Exp. Brain Res. 2018, 236, 2321–2332. [Google Scholar] [CrossRef]
- Hallagin, C.; Garrison, J.C.; Creed, K.; Bothwell, J.M.; Goto, S.; Hannon, J. The relationship between pre-operative and twelve-week post-operative y-balance and quadriceps strength in athletes with an anterior cruciate ligament tear. Int. J. Sports Phys. Ther. 2017, 12, 986–993. [Google Scholar] [CrossRef] [PubMed]
- Bergquist, R.; Weber, M.; Schwenk, M.; Ulseth, S.; Helbostad, J.L.; Vereijken, B.; Taraldsen, K. Performance-based clinical tests of balance and muscle strength used in young seniors: A systematic literature review. BMC Geriatr. 2019, 19, 9. [Google Scholar] [CrossRef]
- Marciniak, R.A.; Ebersole, K.T.; Cornell, D.J. Relationships between balance and physical fitness variables in firefighter recruits. Work 2021, 68, 667–677. [Google Scholar] [CrossRef] [PubMed]
- Booysen, M.J.; Gradidge, P.J.L.; Watson, E. The relationships of eccentric strength and power with dynamic balance in male footballers. J. Sports Sci. 2015, 33, 2157–2165. [Google Scholar] [CrossRef]
- Davlin, C. Dynamic Balance in High Level Athletes. Percept. Mot. Ski. 2004, 98, 1171–1176. [Google Scholar] [CrossRef] [PubMed]
- Plisky, P.J.; Gorman, P.P.; Butler, R.J.; Kiesel, K.B.; Underwood, F.B.; Elkins, B. The reliability of an instrumented device for measuring components of the star excursion balance test. N. Am. J. Sports Phys. Ther. 2009, 4, 92–99. [Google Scholar]
- Myers, H.; Christopherson, Z.; Butler, R.J. Relationship between the lower quarter Y-balance test scores and isokinetic strength testing in patients status post ACL reconstruction. Int. J. Sports Phys. Ther. 2018, 13, 152–159. [Google Scholar] [CrossRef]
- Francis, P.; Gray, K.; Perrem, N. The relationship between concentric hip abductor strength and performance of the Y-balance test (YBT). Int. J. Athl. Ther. Train. 2018, 23, 42–47. [Google Scholar] [CrossRef]
- Ambegaonkar, J.P.; Mettinger, L.M.; Caswell, S.V.; Burtt, A.; Cortes, N. Relationships between core endurance, hip strength, and balance in collegiate female athletes. Int. J. Sports Phys. Ther. 2014, 9, 604–616. [Google Scholar]
- Lee, D.K.; Kim, G.M.; Ha, S.M.; Oh, J.S. Correlation of the Y-balance test with lower-limb strength of adult women. J. Phys. Ther. Sci. 2014, 26, 641–643. [Google Scholar] [CrossRef]
- Hertel, J.; Miller, S.J.; Denegar, C.R. Intratester and intertester reliability during the Star Excursion Balance Tests. J. Sport Rehabil. 2000, 9, 104–116. [Google Scholar] [CrossRef]
- Gribble, P.A.; Hertel, J. Considerations for normalizing measures of the Star Excursion Balance Test. Meas. Phys. Educ. Exerc. Sci. 2003, 7, 89–100. [Google Scholar] [CrossRef]
- Coughlan, G.F.; Fullam, K.; Delahunt, E.; Gissane, C.; Caulfield, B.M. A comparison between performance on selected directions of the star excursion balance test and the Y balance test. J. Athl. Train. 2012, 47, 366–371. [Google Scholar] [CrossRef] [PubMed]
- Plisky, P.J.; Rauh, M.J.; Kaminski, T.W.; Underwood, F.B. Star Excursion Balance Test as a predictor of lower extremity injury in high school basketball players. J. Orthop. Sports Phys. Ther. 2006, 36, 911–919. [Google Scholar] [CrossRef] [PubMed]
- Mayhew, J.L.; Prinster, J.L.; Ware, J.S.; Zimmer, D.L.; Arabas, J.R.; Bemben, M.G. Muscular endurance repetitions to predict bench press strength in men of different training levels. J. Sports Med. Phys. Fit. 1995, 35, 108–113. [Google Scholar]
- Verdijk, L.B.; Van Loon, L.; Meijer, K.; Savelberg, H.H. One-repetition maximum strength test represents a valid means to assess leg strength in vivo in humans. J. Sports Sci. 2009, 27, 59–68. [Google Scholar] [CrossRef]
- Fahs, C.A.; Thiebaud, R.S.; Rossow, L.M.; Loenneke, J.P.; Bemben, D.A.; Bemben, M.G. Relationships between central arterial stiffness, lean body mass, and absolute and relative strength in young and older men and women. Clin. Physiol. Funct. Imaging 2018, 38, 676–680. [Google Scholar] [CrossRef]
- Hopkins, W.G. A Scale of Magnitude for Effect Statistics. 2013. Available online: www.sportsci.org/resource/stats/index.html (accessed on 16 April 2022).
- Fukagawa, N.K.; Wolfson, L.; Judge, J.; Whipple, R.; King, M. Strength is a major factor in balance, gait, and the occurrence of falls. J. Gerontol. Ser. A Biol. Sci. Med. Sci. 1995, 50, 64–67. [Google Scholar] [CrossRef]
- Chtara, M.; Rouissi, M.; Bragazzi, N.L.; Owen, A.L.; Haddad, M.; Chamari, K. Dynamic balance ability in young elite soccer players: Implication of isometric strength. J. Sports Med. Phys. Fit. 2018, 58, 414–420. [Google Scholar] [CrossRef] [PubMed]
- Wilson, B.R.; Robertson, K.E.; Burnham, J.M.; Yonz, M.C.; Ireland, M.L.; Noeh-ren, B. The relationship between hip strength and the Y balance test. J. Sport Rehabil. 2018, 27, 445–450. [Google Scholar] [CrossRef] [PubMed]
- Thorpe, J.L.; Ebersole, K.T. Unilateral balance performance in female collegiate soccer athletes. J. Strength Cond. Res. 2008, 22, 1429–1433. [Google Scholar] [CrossRef] [PubMed]
- Mohammadi, V.; Alizadeh, M.; Gaieni, A. The effects of six weeks strength exercises on static and dynamic balance of young male athletes. Proc. Soc. Behav. Sci. 2012, 31, 247–250. [Google Scholar] [CrossRef][Green Version]
- Norris, B.; Trudelle-Jackson, E. Hip-and thigh-muscle activation during the star excursion balance test. J. Sport Rehabil. 2011, 20, 428–441. [Google Scholar] [CrossRef] [PubMed]
- Ahn, C.S.; Kim, H.S.; Kim, M.C. The effect of the EMG activity of the lower leg with dynamic balance of the recreational athletes with functional ankle instability. J. Phys. Ther. Sci. 2011, 23, 579–583. [Google Scholar] [CrossRef]
- Kaur, N.; Bhanot, K.; Ferreira, G. Lower Extremity and Trunk Electromyographic Muscle Activity During Performance of the Y-Balance Test on Stable and Unstable Surfaces. Int. J. Sports Phys. Ther. 2022, 17, 483–492. [Google Scholar] [CrossRef]
- Gonell, A.C.; Romero, J.A.P.; Soler, L.M. Relationship between the Y balance test scores and soft tissue injury incidence in a soccer team. Int. J. Sports Phys. Ther. 2015, 10, 955–966. [Google Scholar] [PubMed]
- Smith, C.A.; Chimera, N.J.; Warren, M. Association of y balance test reach asymmetry and injury in division I athletes. Med. Sci. Sports Exerc. 2015, 47, 136–141. [Google Scholar] [CrossRef] [PubMed]
- Garrison, J.C.; Bothwell, J.M.; Wolf, G.; Aryal, S.; Thigpen, C.A. Y balance test™ anterior reach symmetry at three months is related to single leg functional performance at time of return to sports following anterior cruciate ligament reconstruction. Int. J. Sports Phys. Ther. 2015, 10, 602–611. [Google Scholar]

| Variables | Mean ± SD | 95% CI |
|---|---|---|
| Age (years) | 21.21 ± 1.24 | 20.81–21.63 |
| Height (m) | 1.74 ± 0.07 | 1.72–1.77 |
| Weight (kg) | 67.30 ± 9.12 | 64.27–70.48 |
| BMI (kg/m2) | 22.04 ± 3.10 | 21.04–23.12 |
| Variables | Mean ± SD | 95% CI |
|---|---|---|
| Y Balance Test (% leg length) | ||
| Anterior (A) | 68.50 ± 6.88 | 66.26–70.86 |
| Posterolateral (PL) | 110.74 ± 14.97 | 105.80–115.46 |
| Posteromedial (PM) | 104.60 ± 13.08 | 100.15–109.23 |
| Composite | 96.66 ± 11.55 | 92.68–100.41 |
| Leg Extension Test | ||
| Absolute Strength | 45.83 ± 7.25 | 43.41–48.18 |
| Relative Strength | 0.70 ± 0.13 | 0.65–0.74 |
| Variables | r2 | Adjusted r2 | p Value |
|---|---|---|---|
| Anterior | |||
| Absolute Strength | 0.574 | 0.560 | <0.001 |
| Relative Strength | 0.433 | 0.415 | <0.001 |
| Posterolateral (PL) | |||
| Absolute Strength | 0.366 | 0.346 | <0.001 |
| Relative Strength | 0.221 | 0.196 | 0.006 |
| Posteromedial (PM) | |||
| Absolute Strength | 0.342 | 0.321 | <0.001 |
| Relative Strength | 0.217 | 0.196 | 0.006 |
| Composite | |||
| Absolute Strength | 0.453 | 0.435 | <0.001 |
| Relative Strength | 0.288 | 0.265 | 0.001 |
Publisher’s Note: MDPI stays neutral with regard to jurisdictional claims in published maps and institutional affiliations. |
© 2022 by the authors. Licensee MDPI, Basel, Switzerland. This article is an open access article distributed under the terms and conditions of the Creative Commons Attribution (CC BY) license (https://creativecommons.org/licenses/by/4.0/).
Share and Cite
Cinarli, F.S.; Adanur, O.; Esen, O.; Barasinska, M.; Cepicka, L.; Gabrys, T.; Karayigit, R. Relationship between Unilateral Leg Extension Strength and Dynamic Balance in Healthy Young Men. Appl. Sci. 2022, 12, 8985. https://doi.org/10.3390/app12188985
Cinarli FS, Adanur O, Esen O, Barasinska M, Cepicka L, Gabrys T, Karayigit R. Relationship between Unilateral Leg Extension Strength and Dynamic Balance in Healthy Young Men. Applied Sciences. 2022; 12(18):8985. https://doi.org/10.3390/app12188985
Chicago/Turabian StyleCinarli, Fahri Safa, Oğuzhan Adanur, Ozcan Esen, Magdalena Barasinska, Ladislav Cepicka, Tomasz Gabrys, and Raci Karayigit. 2022. "Relationship between Unilateral Leg Extension Strength and Dynamic Balance in Healthy Young Men" Applied Sciences 12, no. 18: 8985. https://doi.org/10.3390/app12188985
APA StyleCinarli, F. S., Adanur, O., Esen, O., Barasinska, M., Cepicka, L., Gabrys, T., & Karayigit, R. (2022). Relationship between Unilateral Leg Extension Strength and Dynamic Balance in Healthy Young Men. Applied Sciences, 12(18), 8985. https://doi.org/10.3390/app12188985

