Evolution Law of Three-Dimensional Non-Uniform Temperature Field of Tunnel Construction Using Local Horizontal Freezing Technique
Abstract
:1. Introduction
- (1)
- Theoretical analysis: Trupak [3] and Bakholdin [4] presented the calculation methods of single-piped, single-circle-piped and double-circle-piped steady-state freezing temperature fields. Subsequently, Sanger and Sayles [5,6] optimized the analytical solution of a single-circle-piped freezing temperature field. On this basis, Tobe [7] derived an analytical solution for a multi-circle-piped freezing temperature field, and then Hu [8,9,10,11,12] optimized these analytical solutions. In addition, Aziz [13], Hosseini [14], Jiji [15], Jiang [16] and Cai [17] derived the analytical solution of a single-piped transient freezing temperature field.
- (2)
- Numerical simulation: Yang [18], Yu [19,20], Fu [21] and Cai [22] studied the distribution law of the freezing temperature field of a subway connecting passage by different finite element software. Hong [23] studied the evolution law of the local horizontal freezing temperature field of an underground tunnel with a shallow depth by ABAQUS. Hu [24] studied the distribution law of the cup-type freezing temperature field of the tunnel port and found that the closure of outer-circle pipes was earlier than that of inner-circle pipes.
- (3)
- Model tests: Shang [25] established a rectangular tunnel construction model and found that the outer edge of the frozen wall developed slowly due to the heat dissipation of the model surface. Shi [26] established a shield docking freezing model and determined the positive freezing time. Cai [27] and Duan [28] established a pipe-roof freezing model with different types of freezing pipe and found that the freezing effect of an empty pipe with a double circular freezer was the best. Zhang [29] established a tunnel vertical freezing model and found that the thickness of the basin-type frozen wall upstream was smaller than that downstream.
2. Model Test Design
2.1. Project Overview
2.2. Derivation of Similarity Criteria
2.3. Model Test System
- (1)
- Model box
- (2)
- Freezing system
- (3)
- Temperature measurement system
3. Model Test Results
3.1. Temperature Variation Analysis
3.2. Temperature Field Evolution Perpendicular to Freezing Pipes
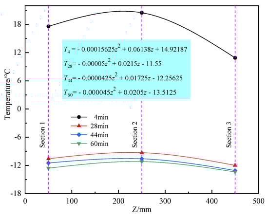
3.3. Temperature Field Evolution Parallel to Freezing Pipes
4. Numerical Simulation Design
4.1. Establishment of Model
4.2. Boundary Conditions
4.3. Material Parameters
5. Numerical Simulation Results
6. Conclusions
Author Contributions
Funding
Data Availability Statement
Acknowledgments
Conflicts of Interest
References
- Li, S.Q.; Gao, L.X.; Chai, S.X. Significance and interaction of factors on mechanical properties of frozen soil. Rock Soil Mech. 2012, 33, 1173–1177. [Google Scholar]
- Hu, X.D.; Wu, Y.H.; Li, X.Y. A field study on the freezing characteristics of freeze-sealing pipe roof used in ultra-shallow buried tunnel. Appl. Sci. 2019, 9, 1532. [Google Scholar] [CrossRef]
- Trupak, N.G. The Freezing of Rock during Drilling; Ugliet Hizdat: Moscow, Russia, 1954. [Google Scholar]
- Bakholdin, B.V. Select the Best Ore Freezing Mode for Construction Purposes; State Press: Moscow, Russia, 1963. [Google Scholar]
- Sanger, F.J. Ground freezing in construction. J. Soil Mech. Found. Div. 1968, 94, 923–950. [Google Scholar] [CrossRef]
- Sanger, F.J.; Sayles, F.H. Thermal and rheological computations for artificially frozen ground construction. Dev. Geotech. Eng. 1979, 26, 311–337. [Google Scholar]
- Tobe, N.; Akimata, O. Temperature distribution formula in frozen soil and its application. Refrigeration 1979, 54, 3–11. [Google Scholar]
- Hu, X.D.; Chen, J.; Wang, Y.; Li, W.P. Analytical solution to steady-state temperature field of single-circle-pipe freezing. Rock Soil Mech. 2013, 34, 874–880. [Google Scholar]
- Hu, X.D.; Yu, J.Z.; Ren, H.; Wang, Y.; Wang, J.T. Analytical solution to steady-state temperature field for straight-row-piped freezing based on superposition of thermal potential. Appl. Therm. Eng. 2017, 111, 223–231. [Google Scholar] [CrossRef]
- Hu, X.D.; Fang, T.; Han, Y.T. Generalized analytical solution to steady-state temperature field of double-circle-piped freezing. J. China Coal Soc. 2017, 42, 2287–2294. [Google Scholar]
- Hu, X.D.; Fang, T.; Zhang, L.Y. Analytical solution to temperature distribution in frozen soil wall with wavy boundaries by single-row- and double-row-piped freezing. Cold Reg. Sci. Technol. 2018, 148, 208–228. [Google Scholar] [CrossRef]
- Hong, Z.Q.; Hu, X.D.; Fang, T. Analytical solution to steady-state temperature field of Freeze-Sealing Pipe Roof applied to Gongbei tunnel considering operation of limiting tubes. Tunn. Undergr. Space Technol. 2020, 105, 103571. [Google Scholar] [CrossRef]
- Aziz, A.; Lunardini, V.J. Perturbation techniques in phase change heat transfer. Appl. Mech. Rev. 1993, 46, 29–68. [Google Scholar] [CrossRef]
- Hosseini, S.M.; Akhlaghi, M.; Shaken, M. Transient heat conduction in functionally graded thick hollow cylinders by analytical method. Heat Mass Transfer. 2007, 43, 669–675. [Google Scholar] [CrossRef]
- Jiji, L.M.; Ganatos, P. Approximate analytical solution for one-dimensional tissue freezing around cylindrical cryoprobes. Int. J. Therm. Sci. 2009, 48, 547–553. [Google Scholar] [CrossRef]
- Jiang, B.S.; Wang, J.G.; Zhou, G.Q. Analytical calculation of temperature field around a single freezing pipe. J. China Univ. Min. Technol. 2009, 38, 463–466. [Google Scholar]
- Cai, H.B.; Xu, L.X.; Yang, Y.G.; Li, L.Q. Analytical solution and numerical simulation of the liquid nitrogen freezing-temperature field of a single pipe. AIP Adv. 2018, 8, 055119. [Google Scholar] [CrossRef]
- Yang, P.; Ke, J.M.; Wang, J.G.; Chow, Y.K.; Zhu, F.B. Numerical simulation of frost heave with coupled water freezing, temperature and stress fields in tunnel excavation. Comput. Geotech. 2006, 33, 330–340. [Google Scholar] [CrossRef]
- Yu, C.Y.; Lu, M.Y. Study on development characteristics of horizontal freezing temperature field in subway connecting passage. IOP Conf. Ser. Earth Environ. Sci. 2020, 619, 012086. [Google Scholar] [CrossRef]
- Yu, C.Y. Research on development law of horizontal freezing temperature field of complex curtain. IOP Conf. Ser. Mater. Sci. Eng. 2020, 780, 032029. [Google Scholar] [CrossRef]
- Fu, Y.; Hu, J.; Wu, Y.W. Finite element study on temperature field of subway connection aisle construction via artificial ground freezing method. Cold Reg. Sci. Technol. 2021, 189, 103327. [Google Scholar] [CrossRef]
- Cai, H.B.; Huang, Y.C.; Pang, T. Finite element analysis on 3D freezing temperature field in metro connected aisle construction. J. Railw. Sci. Eng. 2015, 12, 1436–1443. [Google Scholar]
- Hong, R.B.; Cai, H.B.; Li, M.K. Integrated prediction model of ground surface deformation during tunnel construction using local horizontal freezing technology. Arab. J. Sci. Eng. 2022, 47, 4657–4679. [Google Scholar] [CrossRef]
- Hu, J.; Yang, P. Numerical analysis of temperature field within large-diameter cup-shaped frozen soil wall. Rock Soil Mech. 2015, 36, 523–531. [Google Scholar]
- Shang, H.S.; Yue, F.T.; Shi, R.J. Model test of artificial ground freezing in shallow-buried rectangular cemented soil. Rock Soil Mech. 2014, 35 (Suppl. S2), 149–155+161. [Google Scholar]
- Shi, R.J.; Yue, F.T.; Zhang, Y.; Lu, L. Model test on freezing reinforcement for shield junction Part 1: Distribution characteristics of temperature field in soil stratum during freezing process. Rock Soil Mech. 2017, 38, 368–376. [Google Scholar]
- Cai, H.B.; Liu, Y.J.; Hong, R.B.; Li, M.K.; Wang, Z.J.; Ding, H.L. Model test and numerical simulation analysis on freezing effect of different freezers in freeze-sealing pipe-roof method. Geofluids 2022, 2022, 5350650. [Google Scholar] [CrossRef]
- Duan, Y.; Rong, C.X.; Cheng, H.; Cai, H.B.; Xie, D.Z.; Ding, Y.L. Model test of freezing temperature field of the freeze-sealing pipe roof method under different pipe arrangements. J. Glaciol. Geocryol. 2020, 42, 479–490. [Google Scholar]
- Zhang, J.X.; Qi, Y.; Yang, H.; Song, Y.W. Temperature field expansion of basin-shaped freezing technology in sandy pebble stratum of Beijing. Rock Soil Mech. 2020, 41, 2796–2813. [Google Scholar]
- Cai, H.B.; Li, P.; Wu, Z. Model test of liquid nitrogen freezing-temperature field of improved plastic freezing pipe. J. Cold Reg. Eng. 2020, 34, 04020001. [Google Scholar] [CrossRef]
- Cai, H.B.; Liu, Z.; Li, S.; Zheng, T.L. Improved analytical prediction of ground frost heave during tunnel construction using artificial ground freezing technique. Tunn. Undergr. Space Technol. 2019, 92, 103050. [Google Scholar] [CrossRef]






















| Parameter | Similarity Ratio |
|---|---|
| Geometry (m) | 30 |
| Time (s) | 900 |
| Temperature (°C) | 1 |
| Humidity (%) | 1 |
| Density (kg/m3) | 1 |
| Thermal conductivity (kcal·m−1·d−1·°C−1) | 1 |
| Specific heat (kcal·kg−1·°C−1) | 1 |
| Latent heat of phase change (kcal·kg−1) | 1 |
| Parameter | Density /(kg/m3) | Thermal Conductivity /(kcal/(m °C·d)) | Specific Heat /(kcal/(kg·°C)) | Latent Heat of Phase Change /(kcal/kg) | Freezing Temperature /(°C) | |
|---|---|---|---|---|---|---|
| Mild clay | Unfrozen | 2100 | 23.00 | 0.357 | 8.93 | −1 |
| Frozen | 38.06 | 0.240 | ||||
Publisher’s Note: MDPI stays neutral with regard to jurisdictional claims in published maps and institutional affiliations. |
© 2022 by the authors. Licensee MDPI, Basel, Switzerland. This article is an open access article distributed under the terms and conditions of the Creative Commons Attribution (CC BY) license (https://creativecommons.org/licenses/by/4.0/).
Share and Cite
Pang, C.; Cai, H.; Hong, R.; Li, M.; Yang, Z. Evolution Law of Three-Dimensional Non-Uniform Temperature Field of Tunnel Construction Using Local Horizontal Freezing Technique. Appl. Sci. 2022, 12, 8093. https://doi.org/10.3390/app12168093
Pang C, Cai H, Hong R, Li M, Yang Z. Evolution Law of Three-Dimensional Non-Uniform Temperature Field of Tunnel Construction Using Local Horizontal Freezing Technique. Applied Sciences. 2022; 12(16):8093. https://doi.org/10.3390/app12168093
Chicago/Turabian StylePang, Changqiang, Haibing Cai, Rongbao Hong, Mengkai Li, and Zhe Yang. 2022. "Evolution Law of Three-Dimensional Non-Uniform Temperature Field of Tunnel Construction Using Local Horizontal Freezing Technique" Applied Sciences 12, no. 16: 8093. https://doi.org/10.3390/app12168093
APA StylePang, C., Cai, H., Hong, R., Li, M., & Yang, Z. (2022). Evolution Law of Three-Dimensional Non-Uniform Temperature Field of Tunnel Construction Using Local Horizontal Freezing Technique. Applied Sciences, 12(16), 8093. https://doi.org/10.3390/app12168093

