Multi-Population Differential Evolution Algorithm with Uniform Local Search
Abstract
:1. Introduction
- A novel multi-population DE with multi-strategies is proposed to solve multimodal problems.
- The soft-island model is applied to exchange information between subpopulations for improving population diversity.
- The uniform local search is used to improve the local search capability of the population.
2. Differential Evolution
2.1. Mutation
- DE/rand/1:
- DE/best/1:
- DE/current-to-rand/1:
- DE/current-to-best/1
- DE/current-to-pbest/1where i = 1, 2, …, NP, random different integer r1, r2, r3, r4, and r5 [1, NP]. The control parameter Fi[0, 1]. The xbest is the best vector at generation G. xpbest is one of the best top 100 p% of individuals.
2.2. Crossover
2.3. Selection
3. Previous Work
4. The Proposed Algorithm
4.1. Soft-Island Model
4.2. Uniform Local Search
4.3. MUDE (Multi-Population Differential Evolution)
| Algorithm 1: MUDE algorithm |
| Input: NP, D, P, f Output: The population’s best solution: fitbest 1. Generate the population p by the Equation (1); 2. Calculate the individual function values fit; 3. Strategy pool Sp = {Sp1, Sp2, …, Spn}, set uCRi = 0.5, uFi = 0.5 fi = 0, Fesi = 0 for each strategy; 4. FES = NP; 5. while FES ≤ MaxFes 6. The population p is the randomly divided k subpopulation, p = {p1, p2, …, pk}; 7. Calculate Fi and Cri for each subpopulation; 8. Pick a Spi for each subpopulation according to evolutionary ratio; 9. Perform strategy Spi for pi; 10. Migrate individual between subpopulation by probability P of SIM; 11. Perform the local exploration from each p by ULS; 12. end while 13. Return fitbest. |
5. Experimental Results
5.1. Benchmark Functions and Experimental Setting
- Dimension: D = 30;
- Population size: NP = 100;
- Scaling factor: Fi = N(uFi, 0.1);
- Crossover: CRi = N(uCRi, 0.1);
- Three different mutation strategies: Equations (1), (5), and (6);
- Termination criterion of function evaluations
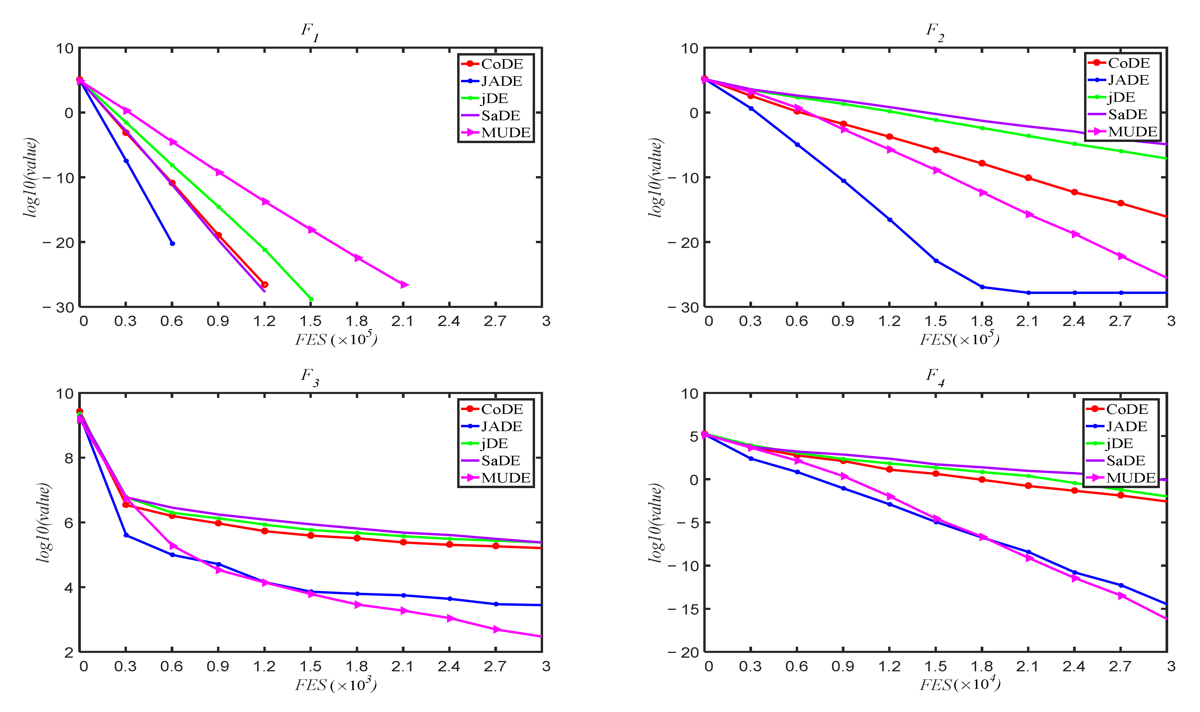
5.2. Experimental Results and Comparisons with Other DE Variants
5.3. Result with Different Probabilistics among Islands
5.4. Experimental on D = 10, 30, 50
5.5. Comparison with other EAs
6. Conclusions
Author Contributions
Funding
Institutional Review Board Statement
Informed Consent Statement
Conflicts of Interest
References
- Storn, R.; Price, K. Differential Evolution–A Simple and Efficient Heuristic for Global Optimization over Continuous Spaces. J. Glob. Optim. 1997, 11, 341–359. [Google Scholar] [CrossRef]
- Diab, D.M.; El Hindi, K.M. Using Differential Evolution for Fine Tuning Naïve Bayesian Classifiers and Its Application for Text Classification. Appl. Soft Comput. 2017, 54, 183–199. [Google Scholar] [CrossRef]
- Pan, J.S.; Liu, N.; Chu, S.C. A Hybrid Differential Evolution Algorithm and Its Application in Unmanned Combat Aerial Vehicle Path Planning. IEEE Access 2020, 8, 17691–17712. [Google Scholar] [CrossRef]
- Al-Sakkaf, A.; Mohammed Abdelkader, E.; Mahmoud, S.; Bagchi, A. Studying Energy Performance and Thermal Comfort Conditions in Heritage Buildings: A Case Study of Murabba Palace. Sustainability 2021, 13, 12250. [Google Scholar] [CrossRef]
- Baioletti, M.; Milani, A.; Santucci, V. Variable Neighborhood Algebraic Differential Evolution: An Application to The Linear Ordering Problem with Cumulative Costs. Inf. Sci. 2020, 507, 37–52. [Google Scholar] [CrossRef]
- Deng, W.; Xu, J.; Song, Y.; Xhao, H. Differential Evolution Algorithm with Wavelet Basis Function and Optimal Mutation Strategy for Complex Optimization Problem. Appl. Soft Comput. 2021, 100, 106724. [Google Scholar] [CrossRef]
- Al-Dabbagh, R.D.; Neri, F.; Idris, N.; Baba, M.S. Algorithmic Design Issues in Adaptive Differential Evolution Schemes: Review and Taxonomy. Swarm Evol. Comput. 2018, 43, 284–311. [Google Scholar] [CrossRef]
- Mohamed, A.W.; Suganthan, P.N. Real-parameter Unconstrained Optimization Based on Enhanced Fitness-adaptive Differential Evolution Algorithm with Novel Mutation. Soft Comput. 2018, 22, 3215–3235. [Google Scholar] [CrossRef]
- Sun, G.; Li, C.; Deng, L. An adaptive regeneration framework based on search space adjustment for differential evolution. Neural Comput. Appl. 2021, 33, 9503–9519. [Google Scholar] [CrossRef]
- Deng, W.; Shang, S.; Cai, X.; Zhao, H.; Song, Y.; Xu, J. An improved differential evolution algorithm and applications to optimization problems. Soft Comput. 2021, 25, 5277–5298. [Google Scholar] [CrossRef]
- Deng, W.; Shang, S.; Cai, X.; Zhao, H.; Zhou, Y.; Chen, H.; Deng, W. Quantum differential evolution with cooperative coevolution framework and hybrid mutation strategy for large scale optimization. Knowl. Based Syst. 2021, 224, 107080. [Google Scholar] [CrossRef]
- Vafashoar, R.; Meybodi, M.R. A multi-population differential evolution algorithm based on cellular learning automata and evolutionary context information for optimization in dynamic environments. Appl. Soft Comput. 2020, 88, 106009. [Google Scholar] [CrossRef]
- Tan, X.; Lee, H.A.; Shin, S.Y. Cooperative Coevolution Differential Evolution Based on Spark for Large-Scale Optimization Problems. J. Inf. Commun. Converg. Eng. 2021, 19, 155–160. [Google Scholar] [CrossRef]
- Alsalibi, B.; Mirjalili, S.; Abualigah, L.; Ismael yahya, R.; Gandomi, A.H. A comprehensive survey on the recent variants and applications of membrane-inspired evolutionary algorithms. Arch. Comput. Methods Eng. 2022, 29, 3041–3057. [Google Scholar] [CrossRef]
- Holland, J.H. Genetic algorithms. Sci. Am. 1992, 267, 66–73. [Google Scholar] [CrossRef]
- Song, B.; Wang, Z.; Zou, L. An improved PSO algorithm for smooth path planning of mobile robots using continuous high-degree Bezier curve. Appl. Soft Comput. 2021, 100, 106960. [Google Scholar] [CrossRef]
- Li, Z.; Lin, X.; Zhang, Q.; Liu, H. Evolution strategies for continuous optimization: A survey of the state-of-the-art. Swarm Evol. Comput. 2020, 56, 100694. [Google Scholar] [CrossRef]
- Delahaye, D.; Chaimatanan, S.; Mongeau, M. Simulated Annealing: From Basics to Applications. In Handbook of Metaheuristics; Springer: Cham, Switzerland, 2019; pp. 1–35. [Google Scholar] [CrossRef]
- Laguna, M. Tabu search. In Handbook of Heuristics; Springer: Cham, Switzerland, 2018; pp. 741–758. [Google Scholar] [CrossRef]
- Youssef, H.; Sait, S.M.; Adiche, H. Evolutionary algorithms, simulated annealing and tabu search: A comparative study. Eng. Appl. Artif. Intell. 2001, 14, 167–181. [Google Scholar] [CrossRef]
- Meng, Z.; Pan, J.S.; Tseng, K.K. PaDE: An Enhanced Differential Evolution Algorithm with Novel Control Parameter Adaptation Schemes for Numerical Optimization. Knowl. Based Syst. 2019, 168, 80–99. [Google Scholar] [CrossRef]
- Pant, M.; Zaheer, H.; Garcia-Hernandez, L.; Abraham, A. Differential Evolution: A review of more than two decades of research. Eng. Appl. Artif. Intell. 2020, 90, 103479. [Google Scholar] [CrossRef]
- Kachitvichyanukul, V. Comparison of three evolutionary algorithms: GA, PSO, and DE. Ind. Eng. Manag. Syst. 2012, 11, 215–223. [Google Scholar] [CrossRef]
- Meng, Z.; Pan, J.S. HARD-DE: Hierarchical ARchive Based Mutation Strategy with Depth Information of Evolution for The Enhancement of Differential Evolution on Numerical Optimization. IEEE Access 2019, 7, 12832–12854. [Google Scholar] [CrossRef]
- Ronkkonen, J.; Kukkonen, S.; Price, K.V. Real-Parameter Optimization with Differential Evolution. In Proceedings of the 2005 IEEE Congress on Evolutionary Computation, Edinburgh, UK, 2–5 September 2005; pp. 192–199. [Google Scholar] [CrossRef]
- Gämperle, R.; Müller, S.D.; Koumoutsakos, P. A Parameter Study for Differential Evolution. Advances in Intelligent Systems, Fuzzy Systems. Evol. Comput. 2002, 10, 293–298. Available online: https://www.cse-lab.ethz.ch/wp-content/uploads/2008/04/gmk_wseas_2002.pdf (accessed on 10 October 2002).
- Omran, M.G.H.; Salman, A.; Engelbrecht, A.P. Self-adaptive Differential Evolution. In Lecture Notes in Computer Science, Proceedings of the International Conference on Computational and Information Science (CIS 2005), Xi’an, China, 15–19 December 2005; Springer: Berlin/Heidelberg, Germany, 2005; pp. 192–199. [Google Scholar] [CrossRef]
- Abbass, H.A. The Self-adaptive Pareto Differential Evolution Algorithm. In Proceedings of the 2002 Congress on Evolutionary Computation (CEC′02), Honolulu, HI, USA, 12–17 May 2002; pp. 831–836. [Google Scholar] [CrossRef]
- Brest, J.; Greiner, S.; Boskovic, B.; Mernik, M.; Zumer, V. Self-adapting Control Parameters in Differential Evolution: A Comparative Study on Numerical Benchmark Problems. IEEE Trans. Evol. Comput. 2006, 10, 646–657. [Google Scholar] [CrossRef]
- Zhang, J.; Sanderson, A.C. JADE: Adaptive Differential Evolution with Optional External Archive. IEEE Trans. Evol. Comput. 2009, 13, 945–958. [Google Scholar] [CrossRef]
- Qin, A.K.; Huang, V.L.; Suganthan, P.N. Differential Evolution Algorithm with Strategy Adaptation for Global Numerical Optimization. IEEE Trans. Evol. Comput. 2008, 13, 398–417. [Google Scholar] [CrossRef]
- Wang, Y.; Cai, Z.; Zhang, Q. Differential Evolution with Composite Trial Vector Generation Strategies and Control Parameters. IEEE Trans. Evol. Comput. 2011, 15, 55–66. [Google Scholar] [CrossRef]
- Peng, H.; Wu, Z.; Deng, C. Enhancing Differential Evolution with Commensal Learning and Uniform Local Search. Chin. J. Electron. 2017, 26, 725–733. [Google Scholar] [CrossRef]
- Shang, R.; Wang, Y.; Wang, J.; Jiao, L.; Wang, S.; Qi, L. A Multi-Population Cooperative Coevolutionary Algorithm for Multi-objective Capacitated Arc Routing Problem. Inf. Sci. 2014, 277, 609–642. [Google Scholar] [CrossRef]
- Wu, G.; Mallipeddi, R.; Suganthan, P.N.; Wang, R.; Chen, H. Differential Evolution with Multi-population Based Ensemble of Mutation Strategies. Inf. Sci. 2016, 329, 329–345. [Google Scholar] [CrossRef]
- Tong, L.; Dong, M.; Jing, C. An improved multi-population ensemble differential evolution. Neurocomputing 2018, 290, 130–147. [Google Scholar] [CrossRef]
- Li, X.; Wang, L.; Jiang, Q.; Li, N. Differential evolution algorithm with multi-population cooperation and multi-strategy integration. Neurocomputing 2021, 421, 285–302. [Google Scholar] [CrossRef]
- Akhmedova, S.; Stanovov, V.; Semenkin, E. Soft Island model for population-based optimization algorithms. In Lecture Notes in Computer Science, Proceedings of the International Conference on Swarm Intelligence, Shanghai, China, 17–22 June 2018; Springer: Cham, Switzerland, 2018; pp. 68–77. [Google Scholar] [CrossRef]
- Peng, H.; Tan, X.; Deng, C.; Peng, S. SparkCUDE: A Spark-based Differential Evolution for Large-scale Global Optimisation. Int. J. High Perform. Syst. Archit. 2017, 7, 211–222. [Google Scholar] [CrossRef]
- Fang, K.T.; Lin, D.K.J.; Winker, P.; Zhang, Y. Uniform Design: Theory and Application. Technometrics 2000, 42, 237–248. [Google Scholar] [CrossRef]
- Suganthan, P.N.; Hansen, N.; Liang, J.J.; Deb, K.; Chen, Y.P.; Auger, A.; Tiwari, S. Problem Definitions and Evaluation Criteria for the CEC 2005 Special Session on Real-Parameter Optimization; Technical Report; Nanyang Technological University: Singapore, 2005; Available online: https://scholar.google.com/scholar?as_q=Problem+Definitions+and+Evaluation+Criteria+for+the+CEC+2005+Special+Session+on+Real-parameter+Optimization&as_occt=title&hl=en&as_sdt=0%2C31 (accessed on 30 May 2005).
- Eftimov, T.; Korošec, P. Introduction to Statistical Analysis. In Deep Statistical Comparison for Meta-Heuristic Stochastic Optimization Algorithms; Springer: Cham, Switzerland, 2022; pp. 23–31. [Google Scholar] [CrossRef]









| No | 1 | 2 | 3 | 4 | 5 | 6 |
|---|---|---|---|---|---|---|
| 1 | 1 | 2 | 3 | 4 | 5 | 6 |
| 2 | 2 | 4 | 6 | 1 | 3 | 5 |
| 3 | 3 | 6 | 2 | 5 | 1 | 4 |
| 4 | 4 | 1 | 5 | 2 | 6 | 3 |
| 5 | 5 | 3 | 1 | 6 | 4 | 2 |
| 6 | 6 | 5 | 4 | 3 | 2 | 1 |
| 7 | 7 | 7 | 7 | 7 | 7 | 7 |
| CoDE | JADE | jDE | SaDE | MUDE | ||||||
|---|---|---|---|---|---|---|---|---|---|---|
| F | Mean | Std | Mean | Std | Mean | Std | Mean | Std | Mean | Std |
| F1 | 0.00 × 10+0 | 0.00 × 10+0 | 0.00 × 10+0 | 0.00 × 10+0 | 0.00 × 10+0 | 0.00 × 10+0 | 0.00 × 10+0 | 0.00 × 10+0 | 0.00 × 10+0 | 0.00 × 10+0 |
| F2 | 6.76 × 10−16 | 1.40 × 10−15 | 8.20 × 10−29 | 5.60 × 10−29 | 1.07 × 10−6 | 2.09 × 10−6 | 2.00 × 10−5 | 3.31 × 10−5 | 2.44 × 10−26 | 6.20 × 10−26 |
| F3 | 1.08 × 10+5 | 5.93 × 10+4 | 7.47 × 10+3 | 6.40 × 10+3 | 1.78 × 10+5 | 1.00 × 10+5 | 4.37 × 10+5 | 2.66 × 10+5 | 2.98 × 10+2 | 1.19 × 10+3 |
| F4 | 6.56 × 10−3 | 1.17 × 10−2 | 1.23 × 10−13 | 5.69 × 10−13 | 3.52 × 10−2 | 9.40 × 10−2 | 4.63 × 10+0 | 5.65 × 10+0 | 5.93 × 10−17 | 2.56 × 10−16 |
| F5 | 4.00 × 10+2 | 3.13 × 10+2 | 2.60 × 10−7 | 1.16 × 10−6 | 3.99 × 10+2 | 2.96 × 10+2 | 2.24 × 10+3 | 6.13 × 10+2 | 1.67 × 10−4 | 6.30 × 10−4 |
| F6 | 8.05 × 10−9 | 3.98 × 10−8 | 1.09 × 10+1 | 2.76 × 10+1 | 2.68 × 10+1 | 2.74 × 10+1 | 5.37 × 10+1 | 2.85 × 10+1 | 3.70 × 10+0 | 1.46 × 10+1 |
| F7 | 4.70 × 10+3 | 2.83 × 10−12 | 4.70 × 10+3 | 2.73 × 10−12 | 4.70 × 10+3 | 2.95 × 10−12 | 4.70 × 10+3 | 9.47 × 10−13 | 5.91 × 10−3 | 5.55 × 10−3 |
| F8 | 2.02 × 10+1 | 1.18 × 10−1 | 2.09 × 10+1 | 2.02 × 10−1 | 2.09 × 10+1 | 5.03 × 10−2 | 2.09 × 10+1 | 5.09 × 10−2 | 2.09 × 10+1 | 4.56 × 10−2 |
| F9 | 0.00 × 10+0 | 0.00 × 10+0 | 0.00 × 10+0 | 0.00 × 10+0 | 0.00 × 10+0 | 0.00 × 10+0 | 0.00 × 10+0 | 0.00 × 10+0 | 3.55 × 10−14 | 6.55 × 10−14 |
| F10 | 4.14 × 10+1 | 1.23 × 10+1 | 2.47 × 10+1 | 5.17 × 10+0 | 5.57 × 10+1 | 8.76 × 10+0 | 3.94 × 10+1 | 9.75 × 10+0 | 2.40 × 10+1 | 1.03 × 10+1 |
| F11 | 1.35 × 10+1 | 3.62 × 10+0 | 2.58 × 10+1 | 1.66 × 10+0 | 2.77 × 10+1 | 1.66 × 10+0 | 2.18 × 10+1 | 8.20 × 10+0 | 1.74 × 10+1 | 7.14 × 10+0 |
| F12 | 2.82 × 10+3 | 2.67 × 10+3 | 6.65 × 10+3 | 4.79 × 10+3 | 9.14 × 10+3 | 8.39 × 10+3 | 3.78 × 10+3 | 3.16 × 10+3 | 1.61 × 10+3 | 1.97 × 10+3 |
| F13 | 1.51 × 10+0 | 2.52 × 10−1 | 1.44 × 10+0 | 1.23 × 10−1 | 1.67 × 10+0 | 1.35 × 10−1 | 4.49 × 10+0 | 3.48 × 10−1 | 2.04 × 10+0 | 2.38 × 10−1 |
| F14 | 1.22 × 10+1 | 4.50 × 10−1 | 1.22 × 10+1 | 3.08 × 10−1 | 1.30 × 10+1 | 1.64 × 10−1 | 1.29 × 10+1 | 1.67 × 10−1 | 1.23 × 10+1 | 2.85 × 10−1 |
| F15 | 4.24 × 10+2 | 6.63 × 10+1 | 3.84 × 10+2 | 9.43 × 10+1 | 3.68 × 10+2 | 7.48 × 10+1 | 3.92 × 10+2 | 5.72 × 10+1 | 4.00 × 10+2 | 6.45 × 10+1 |
| F16 | 8.83 × 10+1 | 7.10 × 10+1 | 1.06 × 10+2 | 1.32 × 10+2 | 7.99 × 10+1 | 2.01 × 10+1 | 6.53 × 10+1 | 2.46 × 10+1 | 6.37 × 10+1 | 3.66 × 10+1 |
| F17 | 8.28 × 10+1 | 7.18 × 10+1 | 1.43 × 10+2 | 1.42 × 10+2 | 1.30 × 10+2 | 1.91 × 10+1 | 6.22 × 10+1 | 3.52 × 10+1 | 6.22 × 10+1 | 7.99 × 10+1 |
| F18 | 9.00 × 10+2 | 2.09 × 10+1 | 9.04 × 10+2 | 9.97 × 10−1 | 9.04 × 10+2 | 7.96 × 10−1 | 8.46 × 10+2 | 5.72 × 10+1 | 9.04 × 10+2 | 2.34 × 10−1 |
| F19 | 9.04 × 10+2 | 8.48 × 10−1 | 9.04 × 10+2 | 1.13 × 10+0 | 9.04 × 10+2 | 8.23 × 10−1 | 8.51 × 10+2 | 5.91 × 10+1 | 9.04 × 10+2 | 2.55 × 10−1 |
| F20 | 9.05 × 10+2 | 1.18 × 10+0 | 9.04 × 10+2 | 9.83 × 10−1 | 9.04 × 10+2 | 9.64 × 10−1 | 8.51 × 10+2 | 5.82 × 10+1 | 9.04 × 10+2 | 2.22 × 10−1 |
| F21 | 5.00 × 10+2 | 9.91 × 10−14 | 5.00 × 10+2 | 6.46 × 10−14 | 5.00 × 10+2 | 8.61 × 10−14 | 5.00 × 10+2 | 5.80 × 10−14 | 5.00 × 10+2 | 6.14 × 10−14 |
| F22 | 8.58 × 10+2 | 2.68 × 10+1 | 8.69 × 10+2 | 2.08 × 10+1 | 8.74 × 10+2 | 1.83 × 10+1 | 9.21 × 10+2 | 1.51 × 10+1 | 8.64 × 10+2 | 1.77 × 10+1 |
| F23 | 5.34 × 10+2 | 4.00 × 10−4 | 5.34 × 10+2 | 2.48 × 10−13 | 5.34 × 10+2 | 1.39 × 10−4 | 5.34 × 10+2 | 2.92 × 10−4 | 5.34 × 10+2 | 2.58 × 10−13 |
| F24 | 2.00 × 10+2 | 2.90 × 10−14 | 2.00 × 10+2 | 2.90 × 10−14 | 2.00 × 10+2 | 2.90 × 10−14 | 2.00 × 10+2 | 2.90 × 10−14 | 2.00 × 10+2 | 2.90 × 10−14 |
| F25 | 1.64 × 10+3 | 4.95 × 10+0 | 1.63 × 10+3 | 3.52 × 10+0 | 1.63 × 10+3 | 4.41 × 10+0 | 1.65 × 10+3 | 3.42 × 10+0 | 2.09 × 10+2 | 5.27 × 10−1 |
| −/+/≈ | 8/12/5 | 6/11/8 | 3/14/8 | 5/14/6 | ||||||
| Algorithm | CoDE | JADE | jDE | SaDE | MUDE |
|---|---|---|---|---|---|
| Ranking | 2.84 | 2.84 | 3.54 | 3.36 | 2.24 |
| P | 0 | 0.2 | 0.4 | 0.6 | 0.8 | 0.9 | 1.0 |
|---|---|---|---|---|---|---|---|
| Ranking | 4.22 | 3.98 | 4.28 | 3.86 | 3.72 | 3.82 | 4.12 |
| D = 10 | D = 30 | D = 50 | |||||||
|---|---|---|---|---|---|---|---|---|---|
| F | Mean | Std | Time | Mean | Std | Time | Mean | Std | Time |
| F1 | 0.00 × 10+0 | 0.00 × 10+0 | 3.54 × 10+1 | 0.00 × 10+0 | 0.00 × 10+0 | 4.84 × 10+1 | 0.00 × 10+0 | 0.00 × 10+0 | 5.18 × 10+1 |
| F2 | 0.00 × 10+0 | 0.00 × 10+0 | 3.66 × 10+1 | 2.44 × 10−26 | 6.20 × 10−26 | 5.93 × 10+1 | 3.43 × 10−6 | 1.17 × 10−5 | 6.91 × 10+1 |
| F3 | 5.82 × 10−26 | 1.68 × 10−26 | 5.10 × 10+1 | 2.98 × 10+2 | 1.19 × 10+3 | 5.88 × 10+1 | 1.88 × 10+5 | 8.69 × 10+4 | 6.17 × 10+1 |
| F4 | 0.00 × 10+0 | 0.00 × 10+0 | 4.43 × 10+1 | 5.93 × 10−17 | 2.56 × 10−16 | 6.15 × 10+1 | 4.79 × 10+0 | 4.08 × 10+0 | 8.45 × 10+1 |
| F5 | 0.00 × 10+0 | 0.00 × 10+0 | 6.57 × 10+1 | 1.67 × 10−4 | 6.30 × 10−4 | 6.31 × 10+1 | 1.61 × 10+3 | 5.74 × 10+2 | 7.15 × 10+1 |
| F6 | 6.98 × 10−21 | 2.34 × 10−20 | 3.77 × 10+1 | 3.70 × 10+0 | 1.46 × 10+1 | 4.90 × 10+1 | 3.11 × 10+1 | 1.93 × 10+1 | 5.22 × 10+1 |
| F7 | 6.91 × 10−4 | 2.41 × 10−3 | 3.75 × 10+1 | 5.91 × 10−3 | 5.55 × 10−3 | 5.97 × 10+1 | 4.04 × 10−3 | 8.45 × 10−3 | 9.15 × 10+1 |
| F8 | 2.03 × 10+1 | 5.80 × 10−2 | 4.21 × 10+1 | 2.09 × 10+1 | 4.56 × 10−2 | 7.04 × 10+1 | 2.12 × 10+1 | 3.09 × 10−2 | 8.92 × 10+1 |
| F9 | 0.00 × 10+0 | 0.00 × 10+0 | 3.88 × 10+1 | 3.55 × 10−14 | 6.55 × 10−14 | 5.35 × 10+1 | 1.17 × 10−2 | 1.94 × 10−2 | 5.71 × 10+1 |
| F10 | 2.01 × 10+0 | 1.00 × 10+0 | 3.97 × 10+1 | 2.40 × 10+1 | 1.03 × 10+1 | 6.53 × 10+1 | 4.90 × 10+1 | 1.44 × 10+1 | 6.73 × 10+1 |
| F11 | 1.65 × 10+0 | 1.16 × 10+0 | 2.43 × 10+2 | 1.74 × 10+1 | 7.14 × 10+0 | 5.00 × 10+2 | 3.97 × 10+1 | 1.13 × 10+1 | 9.88 × 10+2 |
| F12 | 1.55 × 10+0 | 4.54 × 10+0 | 9.85 × 10+1 | 1.61 × 10+3 | 1.97 × 10+3 | 1.65 × 10+2 | 1.17 × 10+4 | 8.93 × 10+3 | 3.52 × 10+2 |
| F13 | 3.09 × 10−1 | 5.65 × 10−2 | 4.46 × 10+1 | 2.04 × 10+0 | 2.38 × 10−1 | 6.26 × 10+1 | 4.60 × 10+0 | 5.31 × 10−1 | 7.16 × 10+1 |
| F14 | 2.10 × 10+0 | 3.01 × 10−1 | 4.83 × 10+1 | 1.23 × 10+1 | 2.85 × 10−1 | 8.73 × 10+1 | 2.21 × 10+1 | 4.02 × 10−1 | 1.00 × 10+2 |
| F15 | 9.40 × 10+0 | 1.93 × 10+1 | 8.87 × 10+2 | 4.00 × 10+2 | 6.45 × 10+1 | 1.34 × 10+3 | 3.48 × 10+2 | 9.63 × 10+1 | 2.42 × 10+3 |
| F16 | 8.78 × 10+1 | 7.76 × 10+0 | 8.11 × 10+2 | 6.37 × 10+1 | 3.66 × 10+1 | 1.31 × 10+3 | 5.50 × 10+1 | 3.01 × 10+1 | 2.39 × 10+3 |
| F17 | 9.06 × 10+1 | 1.98 × 10+1 | 8.17 × 10+2 | 6.22 × 10+1 | 7.99 × 10+1 | 1.32 × 10+3 | 6.09 × 10+1 | 7.65 × 10+1 | 2.39 × 10+3 |
| F18 | 6.00 × 10+2 | 2.50 × 10+2 | 8.20 × 10+2 | 9.04 × 10+2 | 2.34 × 10−1 | 1.41 × 10+3 | 9.18 × 10+2 | 3.78 × 10+0 | 2.66 × 10+3 |
| F19 | 6.40 × 10+2 | 2.38 × 10+2 | 8.22 × 10+2 | 9.04 × 10+2 | 2.55 × 10−1 | 1.41 × 10+3 | 9.17 × 10+2 | 6.32 × 10+0 | 2.53 × 10+3 |
| F20 | 6.00 × 10+2 | 2.50 × 10+2 | 8.26 × 10+2 | 9.04 × 10+2 | 2.22 × 10−1 | 1.42 × 10+3 | 9.16 × 10+2 | 8.88 × 10+0 | 2.52 × 10+3 |
| F21 | 4.68 × 10+2 | 7.48 × 10+1 | 8.26 × 10+2 | 5.00 × 10+2 | 6.14 × 10−14 | 1.36 × 10+3 | 5.93 × 10+2 | 1.93 × 10+2 | 2.53 × 10+3 |
| F22 | 7.44 × 10+2 | 5.13 × 10+0 | 9.61 × 10+2 | 8.64 × 10+2 | 1.77 × 10+1 | 1.81 × 10+3 | 9.12 × 10+2 | 1.86 × 10+1 | 3.26 × 10+3 |
| F23 | 6.15 × 10+2 | 1.02 × 10+2 | 8.25 × 10+2 | 5.34 × 10+2 | 2.58 × 10−13 | 1.41 × 10+3 | 7.29 × 10+2 | 2.37 × 10+2 | 2.62 × 10+3 |
| F24 | 2.00 × 10+2 | 0.00 × 10+0 | 6.63 × 10+2 | 2.00 × 10+2 | 2.90 × 10−14 | 1.10 × 10+3 | 2.64 × 10+2 | 2.23 × 10+2 | 1.84 × 10+3 |
| F25 | 3.69 × 10+2 | 2.07 × 10+0 | 6.89 × 10+2 | 2.09 × 10+2 | 5.27 × 10−1 | 1.19 × 10+3 | 2.15 × 10+2 | 1.05 × 10+0 | 1.98 × 10+3 |
| PSO | Tabu | GA | MUDE | |||||
|---|---|---|---|---|---|---|---|---|
| F | Mean | Std | Mean | Std | Mean | Std | Mean | Std |
| F1 | 1.98 × 10−25 | 2.80 × 10−25 | 3.61 × 10+5 | 8.26 × 10+3 | 2.35 × 10+3 | 1.51 × 10+3 | 0.00 × 10+0 | 0.00 × 10+0 |
| F2 | 3.20 × 10+2 | 3.68 × 10+2 | 1.01 × 10+8 | 2.14 × 10+7 | 3.31 × 10+4 | 1.02 × 10+4 | 2.44 × 10−26 | 6.20 × 10−26 |
| F3 | 1.03 × 10+7 | 1.03 × 10+7 | 2.51 × 10+10 | 1.84 × 10+9 | 1.21 × 10+8 | 7.10 × 10+7 | 2.98 × 10+2 | 1.19 × 10+3 |
| F4 | 1.26 × 10+3 | 1.42 × 10+3 | 1.16 × 10+8 | 1.75 × 10+7 | 5.89 × 10+4 | 1.61 × 10+4 | 5.93 × 10−17 | 2.56 × 10−16 |
| F5 | 1.03 × 10+4 | 2.63 × 10+3 | 7.90 × 10+4 | 2.88 × 10+3 | 1.69 × 10+4 | 3.93 × 10+3 | 1.67 × 10−4 | 6.30 × 10−4 |
| F6 | 5.14 × 10+1 | 3.58 × 10+1 | 7.21 × 10+11 | 1.38 × 10+11 | 7.49 × 10+7 | 1.01 × 10+8 | 3.70 × 10+0 | 1.46 × 10+1 |
| F7 | 6.67 × 10+3 | 1.48 × 10+2 | 1.76 × 10+4 | 4.73 × 10+2 | 5.43 × 10+3 | 2.43 × 10+2 | 5.91 × 10−3 | 5.55 × 10−3 |
| F8 | 2.10 × 10+1 | 3.47 × 10−2 | 2.19 × 10+1 | 8.56 × 10−2 | 2.09 × 10+1 | 1.04 × 10−1 | 2.09 × 10+1 | 4.56 × 10−2 |
| F9 | 5.87 × 10+1 | 3.80 × 10+1 | 1.13 × 10+3 | 2.08 × 10+1 | 1.18 × 10+2 | 2.89 × 10+1 | 3.55 × 10−14 | 6.55 × 10−14 |
| F10 | 1.08 × 10+2 | 4.43 × 10+1 | 2.22 × 10+3 | 3.25 × 10+0 | 3.64 × 10+2 | 4.28 × 10+1 | 2.40 × 10+1 | 1.03 × 10+1 |
| F11 | 2.10 × 10+1 | 4.62 × 10+0 | 6.41 × 10+1 | 4.24 × 10+0 | 3.53 × 10+1 | 2.20 × 10+0 | 1.74 × 10+1 | 7.14 × 10+0 |
| F12 | 1.90 × 10+4 | 1.28 × 10+4 | 4.78 × 10+6 | 3.86 × 10+5 | 2.24 × 10+5 | 8.42 × 10+4 | 1.61 × 10+3 | 1.97 × 10+3 |
| F13 | 2.36 × 10+0 | 8.95 × 10−3 | 1.06 × 10+5 | 1.20 × 10+5 | 1.86 × 10+1 | 5.20 × 10+0 | 2.04 × 10+0 | 2.38 × 10−1 |
| F14 | 1.26 × 10+1 | 1.50 × 10−1 | 1.51 × 10+1 | 1.62 × 10−2 | 1.33 × 10+1 | 2.68 × 10−1 | 1.23 × 10+1 | 2.85 × 10−1 |
| F15 | 3.88 × 10+2 | 1.58 × 10+2 | 2.22 × 10+3 | 0.00 × 10+0 | 5.41 × 10+2 | 9.78 × 10+1 | 4.00 × 10+2 | 6.45 × 10+1 |
| F16 | 2.15 × 10+2 | 1.12 × 10+2 | 2.09 × 10+3 | 2.95 × 10+1 | 4.40 × 10+2 | 9.27 × 10+1 | 6.37 × 10+1 | 3.66 × 10+1 |
| F17 | 2.65 × 10+2 | 1.21 × 10+2 | 1.91 × 10+3 | 3.54 × 10+1 | 5.13 × 10+2 | 8.02 × 10+1 | 6.22 × 10+1 | 7.99 × 10+1 |
| F18 | 9.78 × 10+2 | 7.22 × 10+1 | 2.39 × 10+3 | 0.00 × 10+0 | 1.01 × 10+3 | 4.49 × 10+1 | 9.04 × 10+2 | 2.34 × 10−1 |
| F19 | 9.81 × 10+2 | 5.71 × 10+1 | 2.72 × 10+3 | 4.66 × 10+2 | 1.00 × 10+3 | 3.87 × 10+1 | 9.04 × 10+2 | 2.55 × 10−1 |
| F20 | 9.71 × 10+2 | 6.81 × 10+1 | 3.06 × 10+3 | 5.40 × 10+2 | 1.01 × 10+3 | 4.11 × 10+1 | 9.04 × 10+2 | 2.22 × 10−1 |
| F21 | 8.11 × 10+2 | 3.38 × 10+2 | 3.72 × 10+3 | 1.56 × 10+2 | 1.06 × 10+3 | 1.59 × 10+2 | 5.00 × 10+2 | 6.14 × 10−14 |
| F22 | 1.04 × 10+3 | 3.76 × 10+1 | 3.82 × 10+3 | 5.44 × 10+0 | 1.20 × 10+3 | 6.72 × 10+1 | 8.64 × 10+2 | 1.77 × 10+1 |
| F23 | 7.27 × 10+2 | 2.82 × 10+2 | 3.53 × 10+3 | 4.19 × 10+2 | 1.08 × 10+3 | 1.77 × 10+2 | 5.34 × 10+2 | 2.58 × 10−13 |
| F24 | 2.83 × 10+2 | 2.87 × 10+2 | 2.81 × 10+3 | 3.06 × 10+0 | 1.22 × 10+3 | 1.91 × 10+2 | 2.00 × 10+2 | 2.90 × 10−14 |
| F25 | 1.74 × 10+3 | 1.65 × 10+1 | 2.15 × 10+3 | 1.35 × 10+2 | 1.76 × 10+3 | 3.33 × 10+1 | 2.09 × 10+2 | 5.27 × 10−1 |
| −/+/≈ | 24/1/0 | 25/0/0 | 25/0/0 | |||||
Publisher’s Note: MDPI stays neutral with regard to jurisdictional claims in published maps and institutional affiliations. |
© 2022 by the authors. Licensee MDPI, Basel, Switzerland. This article is an open access article distributed under the terms and conditions of the Creative Commons Attribution (CC BY) license (https://creativecommons.org/licenses/by/4.0/).
Share and Cite
Tan, X.; Shin, S.-Y.; Shin, K.-S.; Wang, G. Multi-Population Differential Evolution Algorithm with Uniform Local Search. Appl. Sci. 2022, 12, 8087. https://doi.org/10.3390/app12168087
Tan X, Shin S-Y, Shin K-S, Wang G. Multi-Population Differential Evolution Algorithm with Uniform Local Search. Applied Sciences. 2022; 12(16):8087. https://doi.org/10.3390/app12168087
Chicago/Turabian StyleTan, Xujie, Seong-Yoon Shin, Kwang-Seong Shin, and Guangxing Wang. 2022. "Multi-Population Differential Evolution Algorithm with Uniform Local Search" Applied Sciences 12, no. 16: 8087. https://doi.org/10.3390/app12168087
APA StyleTan, X., Shin, S.-Y., Shin, K.-S., & Wang, G. (2022). Multi-Population Differential Evolution Algorithm with Uniform Local Search. Applied Sciences, 12(16), 8087. https://doi.org/10.3390/app12168087

