One-Dimensional Detection Using Interference Estimation by Multilayered Two-Dimensional General Partial Response Targets for Bit-Patterned Media Recording Systems
Abstract
:1. Introduction
- We propose an interference estimation method and design a simple 1D detection scheme for the 8-way GPR target instead of the 2- or 4-way GPR targets in the previous works.
- We analyzed the latency and suggested a method to reduce it.
- We compared the complexity of the proposed method with that of previous methods.
2. N-Way GPR Target and Detection
2.1. GPR Target and Equalizer
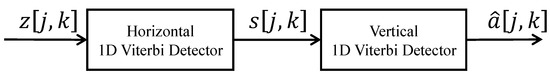
2.2. Detection
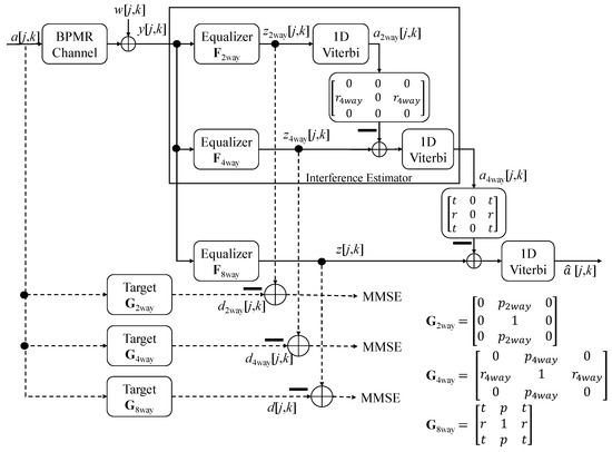
3. Proposed Model
3.1. Detection for an 8-Way GPR Target
3.2. Training Process
3.3. Testing Process
4. Simulation and Results
4.1. BPMR Channel
4.2. Simulation Constraints
4.3. Results of the Proposed Model without the TMR Effect and Media Noise
4.4. Results for the Best Model with the TMR Effect
4.5. Results for the Best Model with Media Noise
5. Complexity and Latency
5.1. Complexity
5.2. Latency of the Proposed Model
6. Conclusions
Author Contributions
Funding
Institutional Review Board Statement
Informed Consent Statement
Data Availability Statement
Conflicts of Interest
Appendix A
References
- Wood, R.; Williams, M.; Kavcic, A.; Miles, J. The feasibility of magnetic recording at 10 terabits per square inch on conventional media. IEEE Trans. Magn. 2009, 11, 917–923. [Google Scholar] [CrossRef]
- Lee, J.S. Nano-floating gate memory devices. Electron. Mater. Lett. 2011, 7, 175–183. [Google Scholar] [CrossRef]
- Thompson, D.A.; Best, J.S. The future of magnetic data storage technology. IBM J. Res. Dev. 2000, 44, 311–322. [Google Scholar] [CrossRef]
- Woor, R. The feasibility of magnetic recording at 1 terabit per square inch. IEEE Trans. Magn. 2000, 36, 36–42. [Google Scholar]
- Griffiths, R.A.; Williams, A.; Oakland, C.; Roberts, J.; Vijayaraghavan, A.; Thomson, T. Directed self-assembly of block copolymers for use in bit patterned media fabrication. Jpn. J. Appl. Phys. 2013, 46, 503001. [Google Scholar] [CrossRef]
- Kryder, M.H.; Gage, E.C.; McDaniel, T.W.; Challener, W.A.; Rottmayer, R.E.; Ju, G.; Hsia, Y.T.; Erden, M.F. Heat-assisted magnetic recording. IEEE Trans. Magn. 2006, 42, 2417–2421. [Google Scholar] [CrossRef]
- Honda, N.; Yamakawa, K.; Ouchi, K. Recording simulation of patterned media toward 2 Tb/in2. IEEE Trans. Magn. 2007, 43, 2142–2144. [Google Scholar] [CrossRef]
- Chang, W.; Cruz, J.R. Inter-track interference mitigation for bit-patterned magnetic recording. IEEE Trans. Magn. 2010, 46, 3899–3908. [Google Scholar] [CrossRef]
- Wu, T.; Armand, M.A.; Cruz, J.R. Detection-decoding on BPMR channels with written-in error correction and ITI mitigation. IEEE Trans. Magn. 2014, 50, 1–11. [Google Scholar] [CrossRef]
- Kovintavewat, P.; Arrayangkool, A.; Warisarn, C. A rate-8/9 2-D modulation code for bit-patterned media recording. IEEE Trans. Magn. 2014, 50, 1–4. [Google Scholar] [CrossRef]
- Nguyen, C.D.; Lee, J. 9/12 2-D modulation code for bit-patterned media recording. IEEE Trans. Magn. 2017, 53, 1–7. [Google Scholar] [CrossRef]
- Buajong, C.; Warisarn, C. Improve in bit error rate with a combination of a rate-3/4 modulation code and intertrack interference subtraction for array-reader-based magnetic recording. IEEE Magn. Lett. 2019, 10, 1–5. [Google Scholar] [CrossRef]
- Nguyen, T.A.; Lee, J. Error-correcting 5/6 modulation code for staggered bit-patterned media recording systems. IEEE Magn. Lett. 2019, 10, 1–5. [Google Scholar] [CrossRef]
- Jeong, S.; Lee, J. Modulation code and multilayer perceptron decoding for bit-patterned media recording. IEEE Magn. Lett. 2020, 11, 1–5. [Google Scholar] [CrossRef]
- Nabavi, S.; Kumar, B.V.K.V. Two-Dimensional Generalized Partial Response Equalizer for Bit-Patterned Media. In Proceedings of the IEEE International Conference on Communications, Glasgow, UK, 24–28 June 2007; pp. 6249–6254. [Google Scholar]
- Nabavi, S.; Kumar, B.V.K.V.; Zhu, J. Modifying Viterbi algorithm to mitigate intertrack interference in bit-patterned media. IEEE Trans. Magn. 2007, 43, 2274–2276. [Google Scholar] [CrossRef]
- Wang, Y.; Kumar, B.V.K.V. Improved multitrack detection with hybrid 2-D equalizer and modified Viterbi detector. IEEE Trans. Magn. 2017, 53, 1–10. [Google Scholar] [CrossRef]
- Sadeghian, E.B.; Barry, J.R. Soft intertrack interference cancellation for two-dimensional magnetic recording. IEEE Trans. Magn. 2015, 51, 1–9. [Google Scholar] [CrossRef]
- Kim, J.; Lee, J. Partial response maximum likelihood detections using two-dimensional soft output Viterbi algorithm with two-dimensional equalizer for holographic data storage. Jpn. J. Appl. Phys. 2009, 48, 03A003. [Google Scholar] [CrossRef]
- Kim, J.; Lee, J. Iterative two-dimensional soft output Viterbi algorithm for patterned media. IEEE Trans. Magn. 2011, 47, 597. [Google Scholar] [CrossRef]
- Nguyen, T.A.; Lee, J. Modified Viterbi algorithm with feedback using a two-dimensional 3-way generalized partial response target for bit-patterned media recording systems. Appl. Sci. 2021, 11, 728. [Google Scholar] [CrossRef]
- Nguyen, T.A.; Lee, J. One-dimensional serial detection using new two-dimensional partial response target modeling for bitpatterned media recording. IEEE Magn. Lett. 2020, 11, 1–5. [Google Scholar]
- Nguyen, T.A.; Lee, J. Effective generalized partial response target and serial detector for two-dimensional bit-patterned media recording channel including track mis-registration. Appl. Sci. 2020, 10, 5738. [Google Scholar] [CrossRef]
- Cheng, T.; Belzer, B.J.; Sivakumar, K. Row-column soft-decision feedback algorithm for two-dimensional intersymbol interference. IEEE Signal. Proc. Lett. 2007, 14, 433–436. [Google Scholar] [CrossRef]
- Zheng, J.; Ma, X.; Guan, Y.L.; Cai, K.; Chan, K.S. Low-complexity iterative row-column soft decision feedback algorithm for 2-d inter-symbol interference channel detection with gaussian approximation. IEEE Trans. Magn. 2013, 49, 4768–4773. [Google Scholar] [CrossRef]
- Buajong, C.; Warisarn, C. A simple inter-track interference subtraction technique in bit-patterned media recording (BPMR) systems. IEICE Trans. Electron. 2018, 101, 404–408. [Google Scholar] [CrossRef]
- Koonkarnkhai, S.; Kovintavewat, P. An iterative ITI cancellation method for multi-head multi-track bit-patterned magnetic recording systems. Digit. Commun. Netw. 2020, 7, 107–122. [Google Scholar] [CrossRef]
- Karakulak, S.; Siegel, P.H.; Wolf, J.K.; Bertram, H.N. Joint-track equalization and detection for bit patterned media recording. IEEE Trans. Magn. 2010, 49, 3639–3647. [Google Scholar] [CrossRef]
- Shi, S.; Barry, J.R. Multitrack detection with 2D pattern-dependent noise prediction. In Proceedings of the IEEE International Conference on Communications (ICC), Kansas City, MO, USA, 20–24 May 2018; pp. 1–6. [Google Scholar]
- Jeong, S.; Kim, J.; Lee, J. Performance of bit-patterned media recording according to island patterns. IEEE Trans. Magn. 2018, 54, 1–4. [Google Scholar] [CrossRef]
- Nguyen, C.D.; Lee, J. Twin iterative detection for bit-patterned media recording systems. IEEE Trans. Magn. 2017, 53, 1–4. [Google Scholar] [CrossRef]
- Nabavi, S.; Kumar, B.V.K.V.; Bain, J.A. Two-dimensional pulse response and media noise modeling for bit-patterned media. IEEE Trans. Magn. 2008, 44, 3789–3792. [Google Scholar] [CrossRef]













| SNR (dB) | 10 | 11 | 12 | 13 | 14 | 15 | |
|---|---|---|---|---|---|---|---|
| GPR | |||||||
| 2-way | 0.0955 | 0.0784 | 0.0638 | 0.0522 | 0.0424 | 0.0344 | |
| 3-way | 0.0962 | 0.082 | 0.0726 | 0.0614 | 0.0577 | 0.0504 | |
| 4-way | 0.0858 | 0.0702 | 0.0571 | 0.0465 | 0.0377 | 0.0305 | |
| -way (3) | 0.0793 | 0.0651 | 0.053 | 0.0434 | 0.0353 | 0.0287 | |
| 8-way (4) | 0.0707 | 0.0577 | 0.0467 | 0.038 | 0.03 | 0.0248 | |
| Operator | Multiplication and Division | Addition and Subtraction | |
|---|---|---|---|
| GPR | |||
| 2-way | 8 | 24 | |
| 3-way | 32 | 96 | |
| 4-way | 128 | 384 | |
| -way | 224 | 672 | |
| 8-way | 512 | 1536 | |
| Parameters | |
|---|---|
| Size of square magnetic island | 11 nm |
| Thickness of square magnetic island | 10 nm |
| Thickness of read head | 4 nm |
| Width of read head | 15 nm |
| Gap distance of read head | 6 nm |
| Fly height of read head | 10 nm |
| Operator | Multiplication and Division | Addition and Subtraction | Exponential and Logarithmic | |
|---|---|---|---|---|
| Model | ||||
| 1D Viterbi [15] | 33 | 48 | 0 | |
| MVA [16] | 49 | 96 | 0 | |
| 3-way MVA [21] | 50 | 97 | 0 | |
| IRCSDFA [24] (3 × 3) | 1935 | 3398 | 391 | |
| IRSDF-GA [25] | 74 | 60 | 9 | |
| Serial detection [22] | 249 | 696 | 0 | |
| Serial detection [23] | 252 | 700 | 0 | |
| Our proposed model | 99 | 146 | 0 | |
Publisher’s Note: MDPI stays neutral with regard to jurisdictional claims in published maps and institutional affiliations. |
© 2022 by the authors. Licensee MDPI, Basel, Switzerland. This article is an open access article distributed under the terms and conditions of the Creative Commons Attribution (CC BY) license (https://creativecommons.org/licenses/by/4.0/).
Share and Cite
Nguyen, T.A.; Lee, J. One-Dimensional Detection Using Interference Estimation by Multilayered Two-Dimensional General Partial Response Targets for Bit-Patterned Media Recording Systems. Appl. Sci. 2022, 12, 5717. https://doi.org/10.3390/app12115717
Nguyen TA, Lee J. One-Dimensional Detection Using Interference Estimation by Multilayered Two-Dimensional General Partial Response Targets for Bit-Patterned Media Recording Systems. Applied Sciences. 2022; 12(11):5717. https://doi.org/10.3390/app12115717
Chicago/Turabian StyleNguyen, Thien An, and Jaejin Lee. 2022. "One-Dimensional Detection Using Interference Estimation by Multilayered Two-Dimensional General Partial Response Targets for Bit-Patterned Media Recording Systems" Applied Sciences 12, no. 11: 5717. https://doi.org/10.3390/app12115717
APA StyleNguyen, T. A., & Lee, J. (2022). One-Dimensional Detection Using Interference Estimation by Multilayered Two-Dimensional General Partial Response Targets for Bit-Patterned Media Recording Systems. Applied Sciences, 12(11), 5717. https://doi.org/10.3390/app12115717

