Technological Parameters of Rotating Electrochemical and Electrobiological Disk Contactors Depending on the Effluent Quality Requirements
Abstract
:1. Introduction
2. Materials and Methods
- Organic matter expressed as the COD value, following the bichromate method;
- Total nitrogen, using a total organic carbon analyzer TOC-L CPH/CPN with a TNM-L device (Shimadzu Corporation, Kyoto, Japan) and the method of oxidative combustion and chemiluminescence;
- Ammonia nitrogen, nitrate nitrogen, and nitrite nitrogen, using a VWR UV-3100PC spectrophotometer (VWR International, Shanghai, China), with a colorimetric method;
- Total phosphorus (±0.01 mgP/L), using a UV-Vis 5000 DR spectrophotometer (HACH Lange, Duesseldorf, Germany), with an HACH Lange LCK 348–350 method;
- pH value (±0.01 pH) and temperature (±1 °C), using a CP-105 pH meter (Elmetron, Zabrze, Poland); redox potential (±1 mV), with a pH 211 m (Hanna Instruments, Eibar, Spain); and electrolytic conductivity (±0.01 mS/cm), using an HQ 440d multimeter (Hach Company, Loveland, CO, USA).
3. Results and Discussion
3.1. EU and Polish Regulations Regarding Industrial Wastewater Discharged into Sewage Systems, Natural Waters, or the Ground
3.2. Quality of Wastewater Treated in the RECDC and in the REBDC
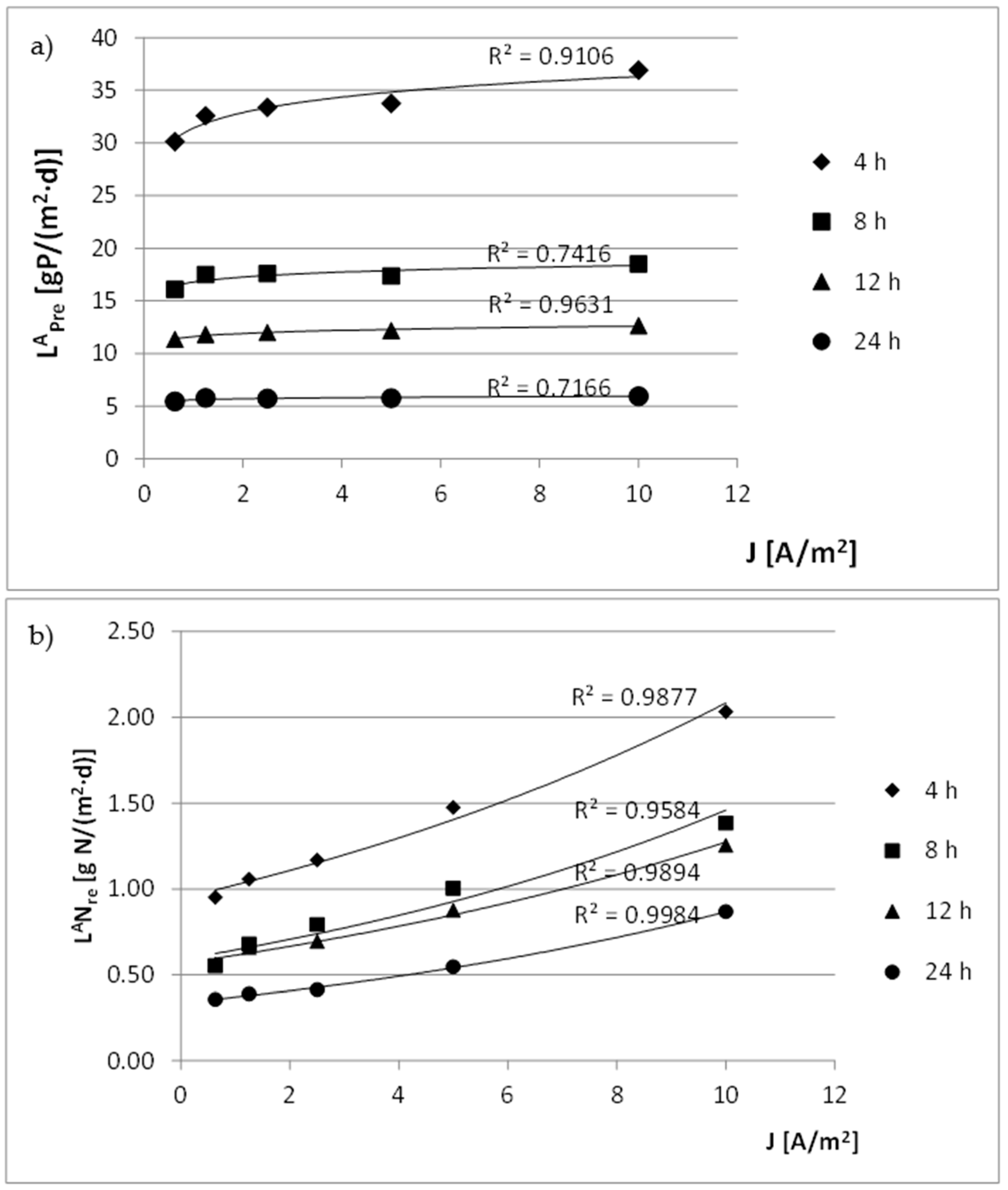
3.3. Removal Rate of Phosphorus and Nitrogen Loads per Time Unit
3.4. Correlations between Electric Current Density and HRT and Pollutant Concentrations
3.5. Proposals of Technological Systems for the Treatment of Wastewater from Soilless Tomato Cultivation
4. Conclusions
Author Contributions
Funding
Institutional Review Board Statement
Informed Consent Statement
Data Availability Statement
Conflicts of Interest
References
- Statistical Yearbook of the Republic of Poland, Warsaw. 2020; pp. 1–51. Available online: https://stat.gov.pl/en/topics/statistical-yearbooks/statistical-yearbooks/statistical-yearbook-of-the-republic-of-poland-2020,2,22.html (accessed on 6 May 2022). (In Polish)
- Kleiber, T. Pollution of the natural environment in intensive cultures under greenhouses. Arch. Environ. Prot. 2012, 38, 45–53. [Google Scholar] [CrossRef]
- Prystay, W.; Lo, K.V. Treatment of greenhouse wastewater using constructed wetlands. J. Environ. Sci. Health Part B Pestic. Food Contam. Agric. Wastes 2001, 36, 341–353. [Google Scholar] [CrossRef] [PubMed]
- Saxena, P.; Bassi, A. Removal of nutrients from hydroponic greenhouse effluent by alkali precipitation and algae cultivation method. J. Chem. Technol. Biotechnol. 2013, 88, 858–863. [Google Scholar] [CrossRef]
- Mielcarek, A.; Rodziewicz, J.; Janczukowicz, W.; Dobrowolski, A. Analysis of wastewater generated in greenhouse soilless tomato cultivation in central Europe. Water 2019, 11, 2538. [Google Scholar] [CrossRef] [Green Version]
- Regulation of the Minister of Construction of July 14, 2006 on the manner of fulfilling the obligations of industrial suppliers and the conditions for introducing sewage to sewage systems. Laws 2006, 136, 964. (In Polish)
- Regulation of the Minister of Infrastructure and Development of September 23, 2015 amending the regulation on the manner of fulfilling the obligations of industrial wastewater suppliers and the conditions for introducing wastewater into sewage systems. Laws 2015, 1456. (In Polish)
- Regulation of the Minister of Maritime Economy and Inland Navigation of July 12, 2019 on substances particularly harmful to the aquatic environment and conditions to be met when introducing sewage into waters or into the ground, as well as when discharging rainwater or snowmelt into waters or into water equipment. Laws 2019, 1311. (In Polish)
- Capodaglio, A.G.; Olsson, G. Energy issues in sustainable urban wastewater management: Use, demand reduction and recovery in the urban water cycle. Sustainability 2020, 12, 266. [Google Scholar] [CrossRef] [Green Version]
- Chen, Y.; Li, B.; Ye, L.; Peng, Y. The combined effects of COD/N ratio and nitrate recycling ratio on nitrogen and phosphorus removal in anaerobic/anoxic/aerobic (A2/O)-biological aerated filter (BAF) systems. Biochem. Eng. J. 2015, 93, 235–242. [Google Scholar] [CrossRef]
- Rodziewicz, J.; Mielcarek, A.; Janczukowicz, W.; Jóźwiak, T.; Struk-Sokołowska, J.; Bryszewski, K. The share of electrochemical reduction, hydrogenotrophic and heterotrophic denitrification in nitrogen removal in rotating electrobiological contactor (REBC) treating wastewater from soilless cultivation systems. Sci. Total Environ. 2019, 683, 21–28. [Google Scholar] [CrossRef]
- Rodziewicz, J.; Mielcarek, A.; Janczukowicz, W.; Bryszewski, K. Electric power consumption and current efficiency of electrochemical and electrobiological rotating disk contactors removing nutrients from wastewater generated in soil-less plant cultivation systems. Water 2020, 12, 213. [Google Scholar] [CrossRef] [Green Version]
- Rodziewicz, J.; Janczukowicz, W.; Mielcarek, A.; Bryszewski, K. The influence of electric current density on specific denitrification rate of and nitrogen removal rate in electrochemical and electrobiological rotating contactor. Arch. Environ. Prot. 2020, 46, 23–32. [Google Scholar]
- Rodziewicz, J.; Filipkowska, U.; Dziadkiewicz, E. Electrolytically aided denitrification on a rotating biological contactor. Environ. Technol. 2011, 32, 93–102. [Google Scholar] [CrossRef] [PubMed]
- Di Capua, F.; Pirozzi, F.; Lens, P.N.L.; Esposito, G. Electron donors for autotrophic denitrification. Chem. Eng. J. 2019, 362, 922–937. [Google Scholar] [CrossRef]
- Kłodowska, I.; Rodziewicz, J.; Janczukowicz, W.; Cydzik-Kwiatkowska, A.; Rusanowska, P. Influence of carbon source on the efficiency of nitrogen removal and denitrifying bacteria in biofilm from bioelectrochemical SBBRs. Water 2018, 10, 393. [Google Scholar] [CrossRef] [Green Version]
- Kłodowska, I.; Rodziewicz, J.; Janczukowicz, W. Effect of electrical current and the external source of carbon on the characteristics of sludge from the sequencing batch biofilm reactors. J. Ecol. Eng. 2018, 19, 143–152. [Google Scholar] [CrossRef]
- Bryszewski, K.Ł.; Rodziewicz, J.; Mielcarek, A.; Janczukowicz, W.; Jóźwiakowski, K. Investigation on the improved electrochemical and bio-electrochemical treatment processes of soilless cultivation drainage (SCD). Sci. Total Environ. 2021, 783, 146846. [Google Scholar] [CrossRef]
- Waqas, S.; Bilad, M.R.; Man, Z.B. Performance and energy consumption evaluation of rotating biological contactor for domestic wastewater treatment. Indones. J. Sci. Technol. 2021, 6, 101–112. [Google Scholar] [CrossRef]
- Hassard, F.; Biddle, J.; Cartmell, E.; Jefferson, B.; Tyrrel, S.; Stephenson, T. Rotating biological contactors for wastewater treatment—A review. Process. Saf. Environ. Prot. 2015, 94, 285–306. [Google Scholar] [CrossRef] [Green Version]
- Cortez, S.; Teixeira, P.; Oliveira, R.; Mota, M. Rotating biological contactors: A review on 794 main factors affecting performance. Rev. Environ. Sci. Biotechnol. 2008, 7, 155–172. [Google Scholar] [CrossRef] [Green Version]
- Li, M.; Feng, C.P.; Zhang, Z.N.; Lei, X.H.; Chen, R.Z.; Yang, Y.N.; Sugiura, N. Simultaneous reduction of nitrate and oxidation by-products using electrochemical method. J. Hazard. Mater. 2009, 171, 724–730. [Google Scholar] [CrossRef] [PubMed]
- Zhiping, Y.; Ruxue, S.; Xule, Z.; Jachao, Y.; Jade, W. The research of steady-state electrochemical kinetics of effective and selective conversion of total nitrogen to N2. Environ. Sci. Pollut. Res. Int. 2019, 26, 22971–22978. [Google Scholar] [CrossRef]
- Lagum, A.A. Integrating electrochemical and biological phosphorus removal processes via electrokinetic-based technology. J. Environ. Chem. Eng. 2021, 9, 106609. [Google Scholar] [CrossRef]
- Karabulut, B.Y.; Atasoy, A.D.; Can, O.T.; Yesilnacar, M.I. Electrocoagulation for nitrate removal in groundwater of intensive agricultural region: A case study of Harran plain, Turkey. Environ. Earth Sci. 2021, 80, 190. [Google Scholar] [CrossRef]
- Richa, A.; Touil, S.; Fizir, M.; Martinez, V. Recent advances and perspectives in the treatment of hydroponic wastewater: A review. Rev. Environ. Sci. Biotechnol. 2020, 19, 945–966. [Google Scholar] [CrossRef]
- Mielcarek, A.; Rodziewicz, J.; Janczukowicz, W.; Struk-Sokołowska, J. The impact of biodegradable carbon sources on nutrients removal in post-denitrification biofilm reactors. Sci. Total Environ. 2020, 720, 137377. [Google Scholar] [CrossRef]
- Wang, H.; Jiang, C.; Wang, X.; Xu, S.; Zhuang, X. Application of internal carbon source from sewage sludge: A vital measure to improve nitrogen removal efficiency of low C/N wastewater. Water 2021, 13, 2338. [Google Scholar] [CrossRef]
- Zhou, M.; Fu, W.; Gu, H.; Lei, L. Nitrate removal from groundwater by a novel three-dimensional electrode biofilm reactor. Electrochim. Acta 2007, 52, 6052–6059. [Google Scholar] [CrossRef]
- Wu, Z.-Y.; Xu, J.; Wu, L.; No, B.-J. Three-dimensional biofilm electrode reactors (3D-BERs) for wastewater treatment. Bioresour. Technol. 2022, 34, 126274. [Google Scholar] [CrossRef]
- Zhou, M.; Wang, W.; Chi, M. Enhancement on the simultaneous removal of nitrate and organic pollutants from groundwater by a three-dimensional bio-electrochemical reactor. Bioresour. Technol. 2009, 100, 4662–4668. [Google Scholar] [CrossRef]
- Tang, Q.; Sheng, Y.; Li, C.; Wang, W.; Liu, X. Simultaneous removal of nitrate and sulfate using an up-flow three-dimensional biofilm electrode reactor: Performance and microbial response. Bioresour. Technol. 2020, 318, 124096. [Google Scholar] [CrossRef] [PubMed]
- Zhang, L.; Jia, J.; Zhu, Y.; Zhu, N.; Wang, Y.; Yang, J. Electro-chemically improved bio-degradation of municipal sewage. Biochem. Eng. J. 2005, 22, 239–244. [Google Scholar] [CrossRef]
- Hao, R.X.; Li, S.M.; Li, J.B.; Meng, C.C. Denitrification of simulated municipal wastewater treatment plant effluent using a three-dimensional biofilm-electrode reactor: Operating performance and bacterial community. Bioresour. Technol. 2013, 143, 178–186. [Google Scholar] [CrossRef] [PubMed]
- Wu, L.; Wei, W.; Xu, J.; Chen, X.; Liu, Y.; Peng, L.; Wang, D.; Ni, B.-J. Denitrifying biofilm processes for wastewater treatment: Developments and perspectives. Environ. Sci. Water Res. Technol. 2021, 7, 40–67. [Google Scholar] [CrossRef]
- Li, Y.; Lu, D.; Liu, X.; Li, Z.; Zhu, H.; Cui, J.; Zhang, H.; Mao, X. Coupling of cathodic aluminum dissolution and anodic oxidation process for simultaneous removal of phosphate and ammonia in wastewaters. Chem. Eng. J. 2022, 427, 130944. [Google Scholar] [CrossRef]
- The Water Law Act. Laws. 2017, pp. 1–412. Available online: https://www.dentons.com/en/insights/alerts/2017/august/25/water-law-act-in-poland (accessed on 6 May 2022). (In Polish).
- Mielcarek, A.; Rodziewicz, J.; Janczukowicz, W.; Dąbrowska, D.; Ciesielski, S.; Thornton, A.; Struk-Sokołowska, J. Citric acid application for denitrification process support in biofilm reactor. Chemosphere 2017, 171, 512–519. [Google Scholar] [CrossRef]








| Parameter | Maximum Permissible Values of Pollutants, for Biodegradable Industrial Wastewater Generated during the Production and Processing of Fruit and Vegetables, Discharged into the Water or Ground | Permissible Values of Pollution Indicators in Industrial Wastewater Introduced into Sewage Systems |
|---|---|---|
| COD [mg O2/L] | 125 | * |
| Total nitrogen [mg N/L] | 30 | - |
| Ammonia nitrogen [mg N/L] | 10 | 100 (1) 200 (2) |
| Nitrite [mg N/L] | 1 | 10 |
| Nitrate [mg N/L] | 30 | - |
| Total phosphorus [mg P/L] | 3 | * |
| Temperature [°C] | 35 | 35 |
| pH | 6.5–9.0 | 6.5–9.5 |
| Iron [mg/L] | 10 | 10 |
| Aluminium [mg/L] | 3 | 10 |
| Fertilizers | Sample Weight |
|---|---|
| Calcium nitrate | 2.06 g/L |
| Potassium nitrate | 0.89 g/L |
| Potassium monophosphate | 0.353 g/L |
| Potassium sulphate | 0.395 g/L |
| Magnesium sulfate | 1.08 g/L |
| Iron chelate | 0.023 g/L |
| Microelements | 0.2 cm3/L |
| Parameter | Synthetic Wastewater Inflow | HRT | RECDC | REBDC | ||||||||
|---|---|---|---|---|---|---|---|---|---|---|---|---|
| Electric Current Density [A/m2] | Electric Current Density [A/m2] | |||||||||||
| 0.63 | 1.25 | 2.50 | 5.00 | 10.00 | 0.63 | 1.25 | 2.50 | 5.00 | 10.00 | |||
| COD [mg O2/L] | 260 * 45 ** | 4 h | 28.6 | 27.8 | 27.2 | 25.8 | 22.0 | 30.3 | 34.6 | 30.0 | 41.8 | 56.3 |
| 8 h | 25.7 | 25.3 | 24.4 | 23.0 | 21.0 | 27.6 | 33.9 | 27.5 | 27.3 | 55.6 | ||
| 12 h | 22.4 | 21.9 | 21.0 | 20.1 | 19.3 | 26.1 | 26.3 | 27.3 | 24.8 | 32.7 | ||
| 24 h | 18.2 | 18.7 | 17.1 | 16.0 | 14.5 | 19.7 | 21.7 | 24.5 | 24.3 | 28.2 | ||
| Total nitrogen [mg N/L] | 470 | 4 h | 426.0 | 421.0 | 415.9 | 401.5 | 375.6 | 411.1 | 399.2 | 373.8 | 358.9 | 327.8 |
| 8 h | 418.9 | 407.1 | 396.5 | 376.6 | 341.0 | 398.3 | 378.0 | 350.0 | 329.3 | 288.6 | ||
| 12 h | 393.4 | 380.1 | 375.3 | 350.3 | 298.5 | 380.7 | 357.4 | 316.0 | 286.6 | 226.6 | ||
| 24 h | 366.4 | 357.1 | 349.7 | 311.2 | 217.7 | 360.3 | 341.3 | 288.3 | 243.8 | 147.7 | ||
| Nitrate [mg N/L] | 453 | 4 h | 408.4 | 408.2 | 403.5 | 389.0 | 330.8 | 409.9 | 397.1 | 371.3 | 353.2 | 304.7 |
| 8 h | 403.9 | 395.4 | 387.2 | 365.0 | 307.6 | 396.9 | 376.6 | 348.3 | 323.5 | 265.3 | ||
| 12 h | 379.4 | 370.5 | 366.5 | 339.8 | 256.6 | 380.0 | 356.2 | 314.6 | 282.5 | 215.1 | ||
| 24 h | 355.4 | 353.5 | 343.3 | 304.3 | 189.4 | 359.2 | 340.6 | 287.2 | 240.6 | 142.2 | ||
| Nitrite [mg N/L] | 0.015 | 4 h | 0.4 | 0.2 | 0.1 | 0.1 | 30.8 | 1.0 | 1.6 | 2.2 | 5.2 | 21.5 |
| 8 h | 1.2 | 0.3 | 0.1 | 0.1 | 23.0 | 0.8 | 0.8 | 1.1 | 4.7 | 20.9 | ||
| 12 h | 1.9 | 0.4 | 0.1 | 0.1 | 35.5 | 0.3 | 0.6 | 0.9 | 3.0 | 10.4 | ||
| 24 h | 6.1 | 1.1 | 0.1 | 0.1 | 27.9 | 0.2 | 0.2 | 0.6 | 2.2 | 5.2 | ||
| Ammonia nitrogen [mg N/L] | 18.0 | 4 h | 17.2 | 12.7 | 12.3 | 12.4 | 14.0 | 0.2 | 0.5 | 0.3 | 0.6 | 1.6 |
| 8 h | 13.8 | 11.4 | 9.2 | 11.5 | 10.4 | 0.6 | 0.6 | 0.5 | 1.1 | 2.3 | ||
| 12 h | 12.0 | 9.3 | 8.8 | 10.5 | 6.5 | 0.4 | 0.6 | 0.5 | 1.0 | 1.1 | ||
| 24 h | 4.9 | 2.6 | 6.4 | 6.8 | 0.4 | 0.9 | 0.5 | 0.5 | 0.9 | 0.3 | ||
| Total phosphorus [mg P/L] | 74.0 | 4 h | 4.1 | 9.2 | 7.7 | 6.9 | 0.6 | 7.1 | 3.9 | 2.1 | 1.4 | 0.4 |
| 8 h | 10.1 | 4.5 | 4.1 | 4.9 | 0.4 | 3.4 | 1.8 | 0.8 | 0.5 | 0.3 | ||
| 12 h | 7.7 | 4.9 | 3.9 | 2.7 | 0.1 | 3.2 | 0.9 | 0.5 | 0.4 | 0.2 | ||
| 24 h | 6.2 | 2.2 | 2.9 | 2.6 | 0.1 | 2.8 | 0.5 | 0.4 | 0.2 | 0.1 | ||
| Temperature [°C] | 19.5 | 4 h | 19.8 | 19.8 | 22.4 | 26.3 | 39.6 | 19.3 | 19.6 | 22.3 | 24.8 | 37.8 |
| 8 h | 19.8 | 20.0 | 22.5 | 28.6 | 40.0 | 19.5 | 19.6 | 22.5 | 25.7 | 39.3 | ||
| 12 h | 19.9 | 20.0 | 23.6 | 30.1 | 48.8 | 19.8 | 19.9 | 22.7 | 28.4 | 47.8 | ||
| 24 h | 20.0 | 20.1 | 24.2 | 34.2 | 50.2 | 19.9 | 20.0 | 23.8 | 33.6 | 50.0 | ||
| pH | 6.98 | 4 h | 7.97 | 7.87 | 7.85 | 7.84 | 8.12 | 8.40 | 8.43 | 8.46 | 8.28 | 8.22 |
| 8 h | 8.05 | 7.97 | 7.97 | 7.90 | 8.57 | 8.48 | 8.41 | 8.55 | 8.25 | 8.85 | ||
| 12 h | 8.06 | 8.05 | 7.93 | 7.90 | 8.75 | 8.58 | 8.50 | 8.54 | 8.35 | 8.41 | ||
| 24 h | 8.07 | 8.05 | 8.07 | 8.06 | 9.25 | 8.42 | 8.06 | 8.38 | 8.75 | 8.75 | ||
| Iron [mg/L] | - | 4 h | 0.2 | 0.2 | 0.2 | 0.3 | 0.3 | 0.2 | 0.2 | 0.2 | 0.3 | 0.3 |
| 8 h | 0.2 | 0.2 | 0.2 | 0.3 | 0.3 | 0.2 | 0.2 | 0.2 | 0.3 | 0.3 | ||
| 12 h | 0.2 | 0.3 | 0.3 | 0.3 | 0.3 | 0.2 | 0.2 | 0.2 | 0.3 | 0.3 | ||
| 24 h | 0.3 | 0.3 | 0.3 | 0.3 | 0.3 | 0.3 | 0.2 | 0.3 | 0.3 | 0.3 | ||
| Aluminium [mg/L] | - | 4 h | 0.0 | 0.0 | 0.0 | 0.0 | 0.1 | 0.0 | 0.0 | 0.1 | 0.1 | 0.2 |
| 8 h | 0.0 | 0.0 | 0.0 | 0.1 | 0.2 | 0.0 | 0.0 | 0.1 | 0.2 | 0.2 | ||
| 12 h | 0.0 | 0.0 | 0.1 | 0.2 | 0.3 | 0.0 | 0.0 | 0.1 | 0.2 | 0.3 | ||
| 24 h | 0.0 | 0.1 | 0.1 | 0.3 | 0.3 | 0.0 | 0.0 | 0.2 | 0.3 | 0.3 | ||
Publisher’s Note: MDPI stays neutral with regard to jurisdictional claims in published maps and institutional affiliations. |
© 2022 by the authors. Licensee MDPI, Basel, Switzerland. This article is an open access article distributed under the terms and conditions of the Creative Commons Attribution (CC BY) license (https://creativecommons.org/licenses/by/4.0/).
Share and Cite
Rodziewicz, J.; Mielcarek, A.; Janczukowicz, W.; Bryszewski, K.; Jabłońska-Trypuć, A.; Wydro, U. Technological Parameters of Rotating Electrochemical and Electrobiological Disk Contactors Depending on the Effluent Quality Requirements. Appl. Sci. 2022, 12, 5503. https://doi.org/10.3390/app12115503
Rodziewicz J, Mielcarek A, Janczukowicz W, Bryszewski K, Jabłońska-Trypuć A, Wydro U. Technological Parameters of Rotating Electrochemical and Electrobiological Disk Contactors Depending on the Effluent Quality Requirements. Applied Sciences. 2022; 12(11):5503. https://doi.org/10.3390/app12115503
Chicago/Turabian StyleRodziewicz, Joanna, Artur Mielcarek, Wojciech Janczukowicz, Kamil Bryszewski, Agata Jabłońska-Trypuć, and Urszula Wydro. 2022. "Technological Parameters of Rotating Electrochemical and Electrobiological Disk Contactors Depending on the Effluent Quality Requirements" Applied Sciences 12, no. 11: 5503. https://doi.org/10.3390/app12115503
APA StyleRodziewicz, J., Mielcarek, A., Janczukowicz, W., Bryszewski, K., Jabłońska-Trypuć, A., & Wydro, U. (2022). Technological Parameters of Rotating Electrochemical and Electrobiological Disk Contactors Depending on the Effluent Quality Requirements. Applied Sciences, 12(11), 5503. https://doi.org/10.3390/app12115503

