Numerical Analysis of the Beam-Column Resistance Compared to Methods by European Standards
Abstract
1. Introduction
2. Numerical Analysis
2.1. Finite Element Modelling
- elastic-plastic without strain hardening,
- elastic-plastic with a nominal plateau slope of 1 MPa or a similar low value,
- elastic-plastic with a strain hardening slope of E/100,
- true stress-strain curve modified from test results.
2.2. Validation of the FEM Model
3. Verification According to European Standards
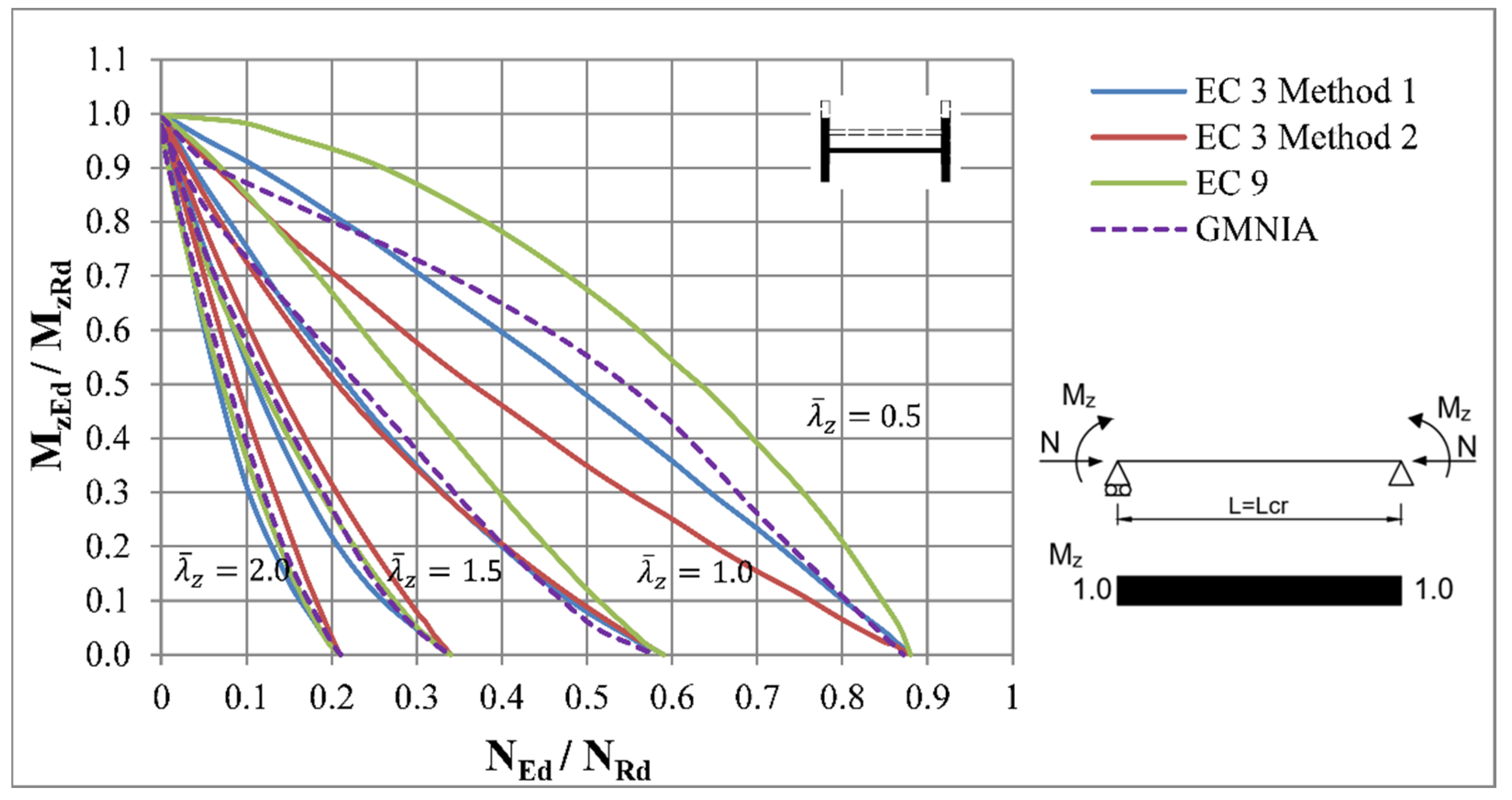
3.1. Resistance of Beam-Columns with IPE 100 Type of Cross-Section
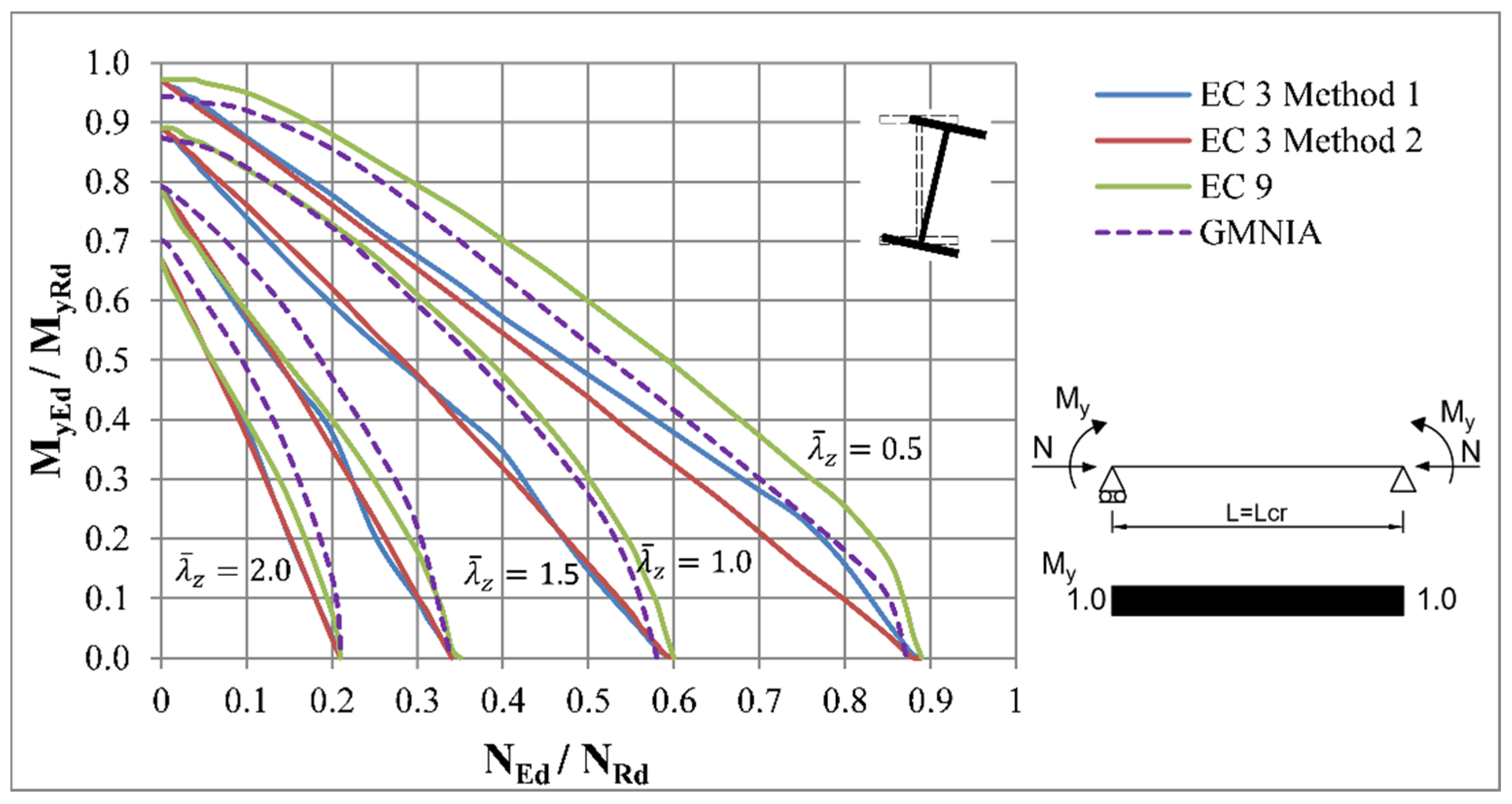
3.1.1. Axial Compression and Major-Axis Bending Laterally Restrained
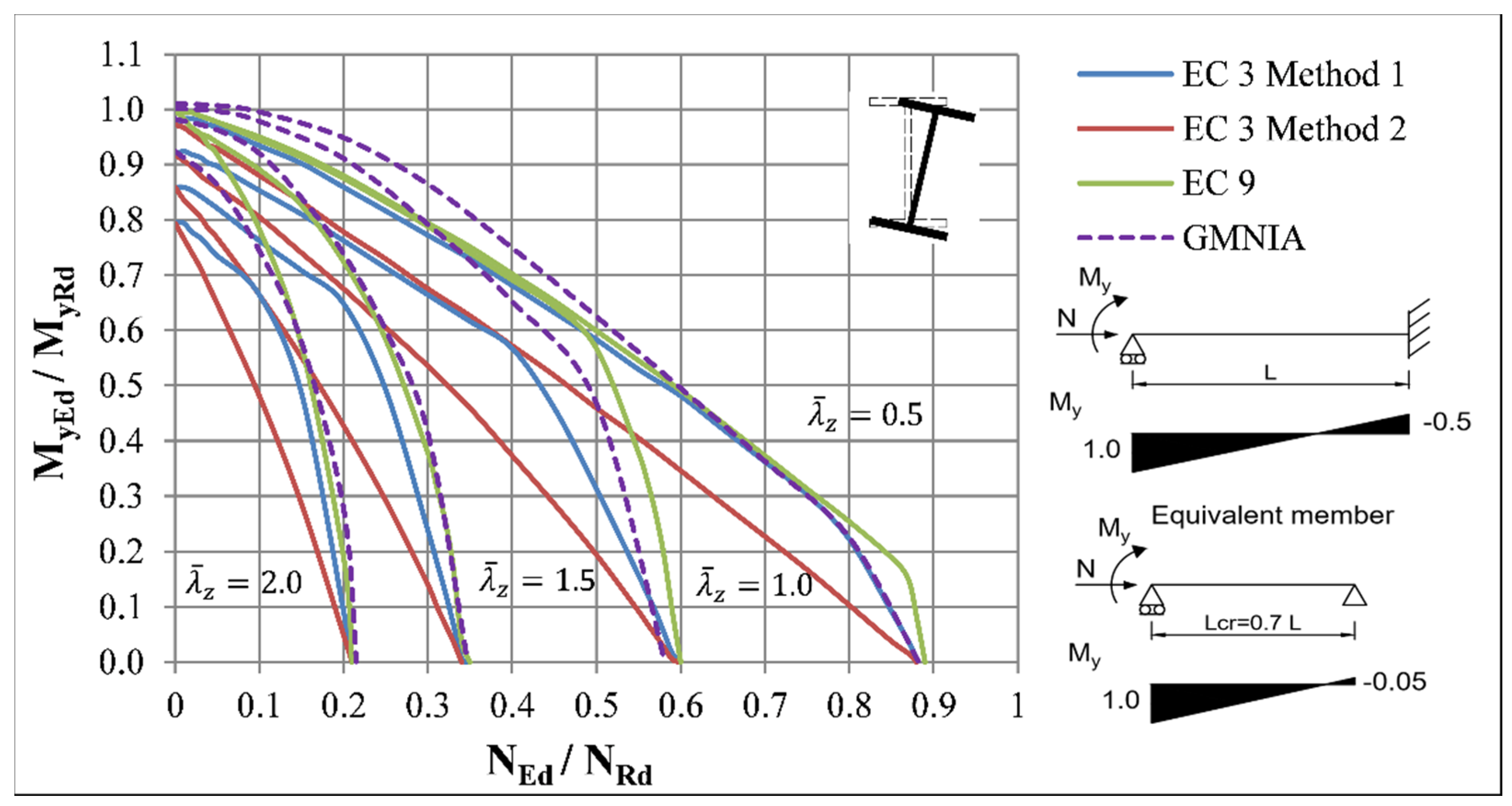
3.1.2. Axial Compression and Major-Axis Bending without Lateral Restraints
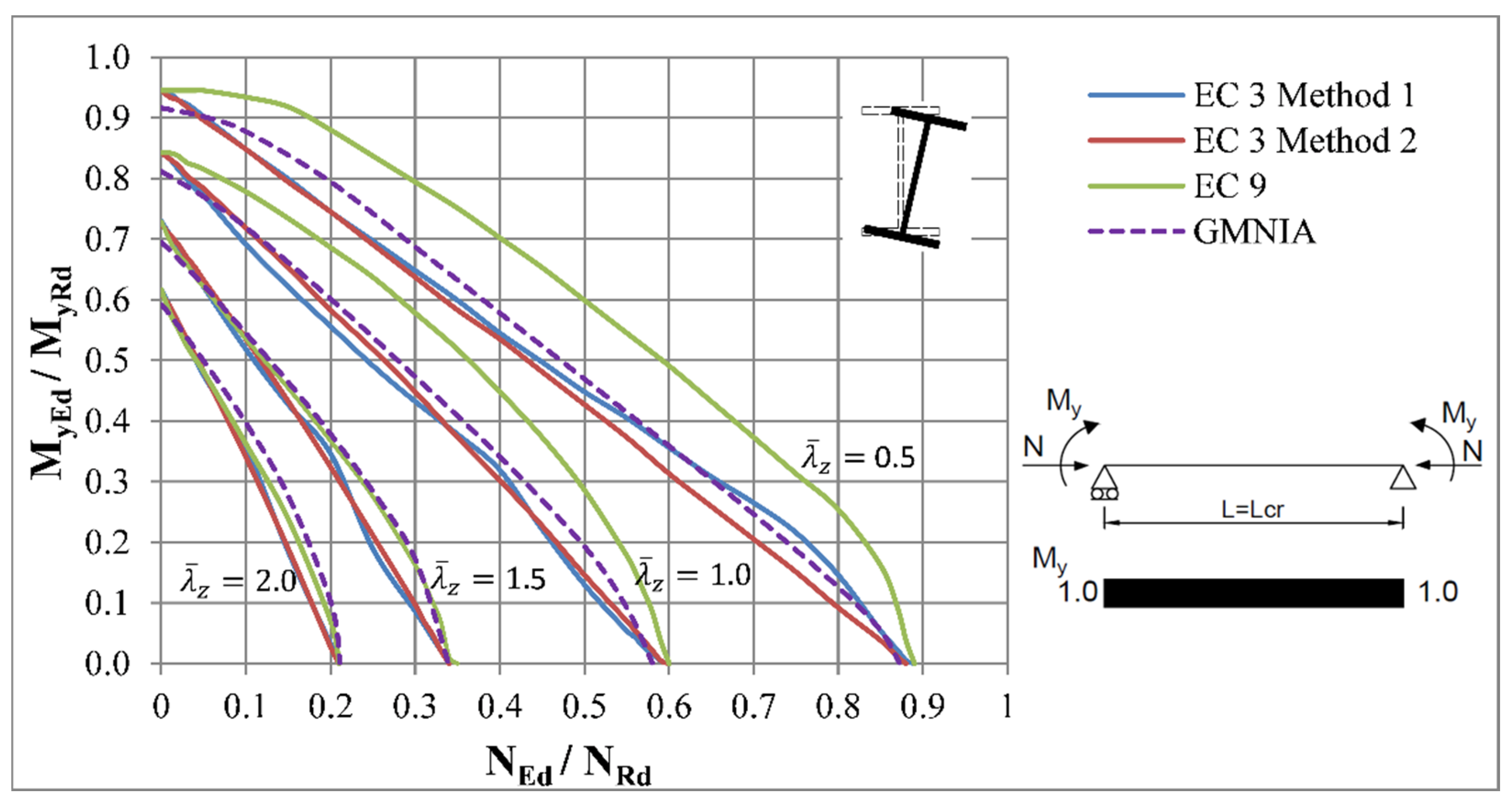
3.1.3. Axial Compression and Minor-Axis Bending
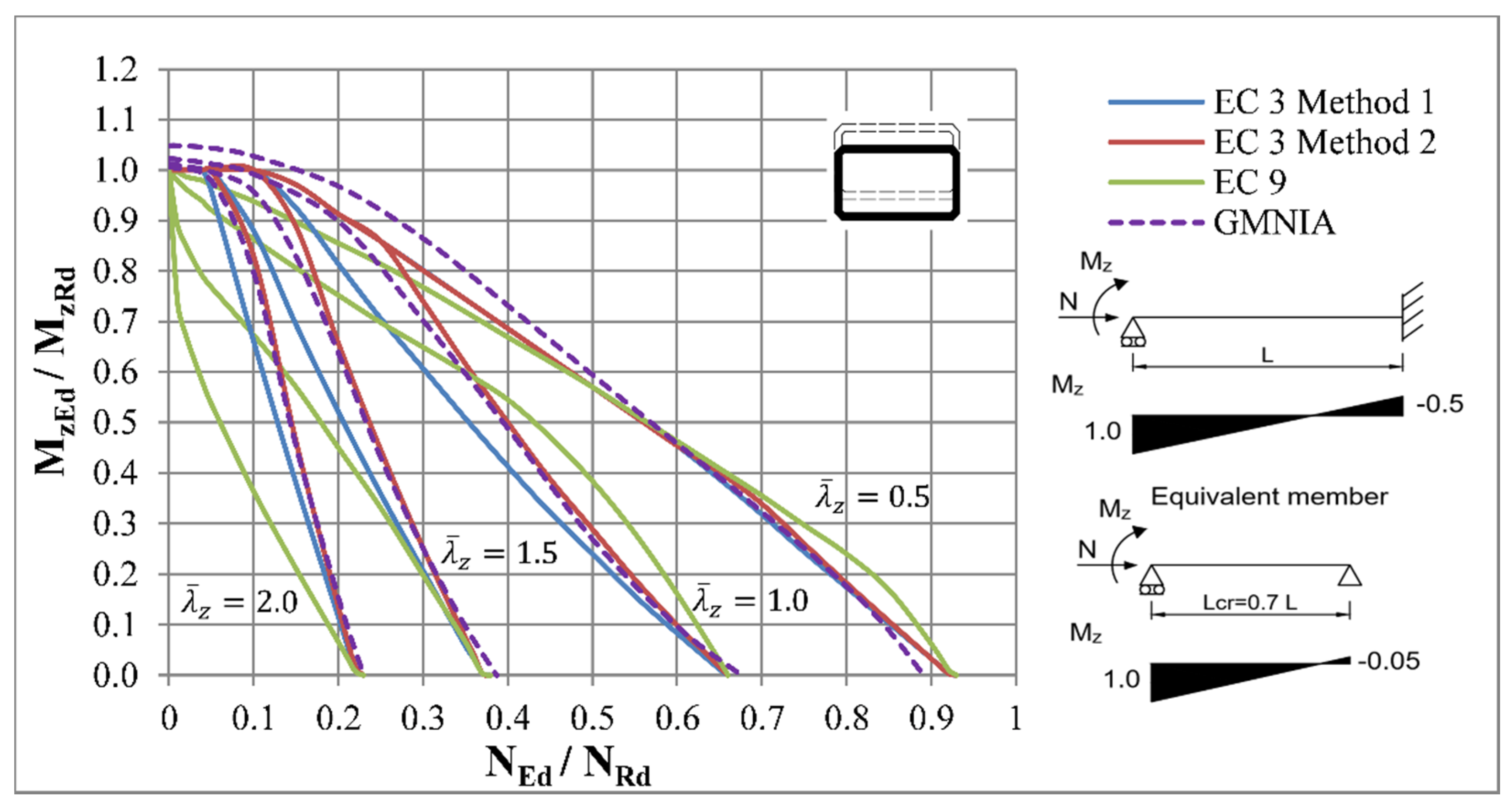
3.2. Resistance of Beam-Columns with RHS 200/100/10 Cross-Section
3.2.1. Axial Compression and Major-Axis Bending Laterally Restrained
3.2.2. Axial Compression and Major-Axis Bending without Lateral Restraints
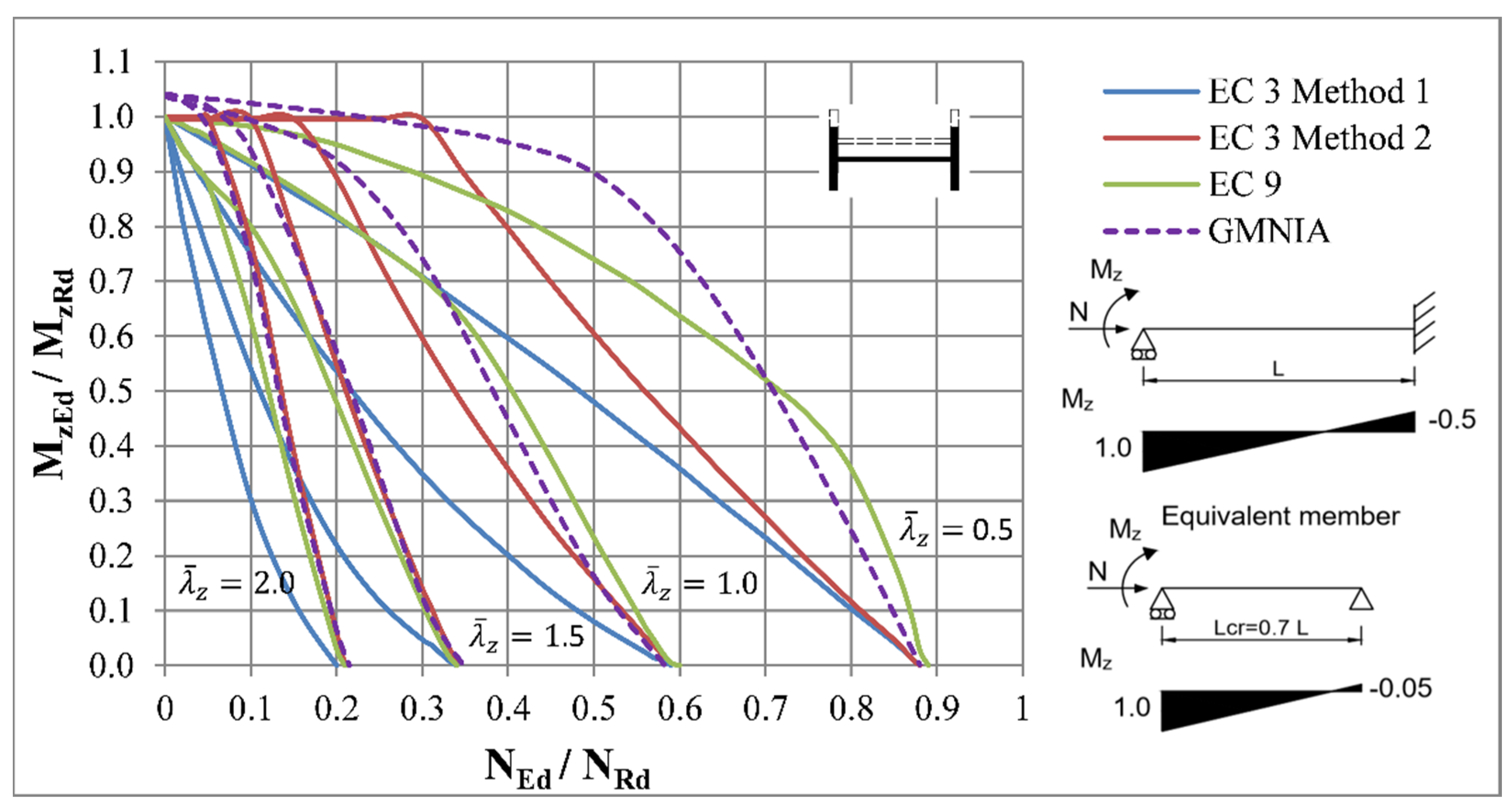
3.2.3. Axial Compression and Minor-Axis Bending
4. Results and Discussion
5. Conclusions
Author Contributions
Funding
Institutional Review Board Statement
Informed Consent Statement
Data Availability Statement
Conflicts of Interest
References
- Euler, L. Methodus Inveniendi Lineas Curvas Maximi Minimive Proprietate Gaudentes, 1st ed.; Marcum-Michaelem Bousquet & Socios: Lausanne, Switzerland; Geneva, Switzerland, 1743; pp. 1–322. [Google Scholar]
- Jönsson, J.; Stan, T.C. European column buckling curves and finite element modelling including high strength steels. J. Constr. Steel Res. 2017, 128, 136–151. [Google Scholar] [CrossRef]
- Tankova, T.; Silva, L.S.; Marques, L. Buckling resistance of non-uniform steel members based on stress utilization: General formulation. J. Constr. Steel Res. 2018, 149, 239–256. [Google Scholar] [CrossRef]
- Boissonnade, N. Rules for Member Stability in EN 1993-1-1, Background Documentation and Design Guidelines; ECCS: Brussels, Belgium, 2006; 259p. [Google Scholar]
- Tankova, T.; Marques, L.; Andrade, A.; da Silva, L.S. A consistent methodology for the out-of-plane buckling resistance of prismatic steel beamcolumns. J. Constr. Steel Res. 2017, 128, 839–852. [Google Scholar] [CrossRef]
- Tankova, T.; Marques, L.; Andrade, A.; da Silva, L.S. Proposal of an Ayrton-Perry design methodology for the verification of flexural and lateral-torsional buckling of prismatic beam columns. In Proceedings of the 8th International Conference on Advances in Steel Structures, Lisbon, Portugal, 21–24 July 2015. [Google Scholar]
- Szalai, J.; Papp, F. On the theoretical background of the generalization of Ayrton-Perry type resistance formulas. J. Constr. Steel Res. 2010, 66, 670–679. [Google Scholar] [CrossRef]
- Boissonnade, N.; Hayeck, M.; Saloumy, E.; Nseir, J. An Overall Interaction Concept for an alternative approach to steel members design. J. Constr. Steel Res. 2017, 135, 199–212. [Google Scholar] [CrossRef]
- Schafer, B.W. Advances in the direct strength method of thin-walled steel design. In Proceedings of the Eighth International Conference on Thin-Walled Structures (ICTWS), Lisbon, Portugal, 24–27 July 2018. [Google Scholar]
- Arrayago, I.; Real, E.; Mirambell, E.; Gardner, L. The Continuous Strength Method for the design of stainless steel hollow section columns. Thin-Walled Struct. 2020, 154, 106825. [Google Scholar] [CrossRef]
- EN 1993-1-1. Eurocode 3: Design of Steel Structures, Part 1—1: General Rules and Rules for Buildings; CEN: Brussels, Belgium, 2005.
- Chladný, E.; Štujberová, M. Frames with unique global and local imperfection in the shape of the elastic buckling mode (Part 1). Stahlbau 2013, 83. [Google Scholar] [CrossRef]
- Chladný, E.; Štujberová, M. Frames with unique global and local imperfection in the shape of the elastic buckling mode (Part 2). Stahlbau 2013, 83. [Google Scholar] [CrossRef]
- Odrobiňák, J.; Farbák, M.; Chromčák, J.; Kortiš, J.; Gocál, J. Real Geometrical Imperfection of Bow-String Arches—Measurement and Global Analysis. Appl. Sci. 2020, 10, 4530. [Google Scholar] [CrossRef]
- EN 1999-1-1, 2007 + A1 + A2, Eurocode 9, Design of Aluminium Structures, Part 1—1, General Structural Rules; CEN: Brussels, Belgium, 2009.
- Höglund, T. A unified method for the design of steel beam-columns. Background document to Amendment to EN 1993-1-3. Steel Constr. Des. Res. 2014, 7, 230–245. [Google Scholar] [CrossRef]
- Gago, F.; Mužík, J.; Bulko, R. The slope stability solution using meshless local petrov-galerkin method. Transp. Res. Procedia 2019, 40, 686–693. [Google Scholar] [CrossRef]
- Moravčík, M.; Kotula, P.; Bahleda, F. Experimental and FEM analysis of hybrid composite structures with GFRP elements. Procedia Eng. 2012, 40, 268–273. [Google Scholar] [CrossRef][Green Version]
- Gocál, J.; Odrobiňák, J. On the influence of Corrosion on the load-carrying capacity of Old Riveted Bridges. Materials 2020, 13, 717. [Google Scholar] [CrossRef] [PubMed]
- Koteš, P. Influence of Corrosion on Crack Width and Pattern in an RC Beam. Procedia Eng. 2013, 65, 311–320. [Google Scholar] [CrossRef][Green Version]
- ANSYS, Inc. Release 17.2. Documentation for ANSYS; SAS IP, Inc.: Cannonsburg, PA, USA, 2016. [Google Scholar]
- Boissonnade, N.; Somja, H. Influence of imperfections in FEM modeling of lateral-torsional buckling. In Proceedings of the Annual Stability Conference; Structural Stability Research Council, Houston, TX, USA, 18–21 April 2012. [Google Scholar]
- Badari, B.; Papp, F. On Design Method of Lateral-torsional Buckling of Beams: State of the Art and a New Proposal for a General Type Design Method. Proc. Period. Polytech. Civ. Eng. 2015, 59. [Google Scholar] [CrossRef]
- Gardner, L.; Boissonnade, N.; Yun, X. Ultimate capacity of I—sections under combined loading—Part 1: Experiments and FE model validation. J. Constr. Steel Res. 2018. [Google Scholar] [CrossRef]
- Kaim, P. Spatial Buckling Behaviour of Steel Members under Bending and Compression. Ph.D. Thesis, Graz University of Technology, Grax, Austria, 2004. [Google Scholar]
- EN 1993-1-5:2006, Eurocode 3: Design of Steel Structures—Part 1.5: Plated Structural Elements; CEN—European Committee for Standardization: Brussels, Belgium, 2006.
- Valeš, J. Sensitivity Analysis of Stability Problems of Steel Structures. Ph.D. Thesis, Brno University of Technology, Brno, Czech Republic, 2017. [Google Scholar]
- Jönsson, J.; Müller, M.S.; Gamst, C.; Valeš, J.; Kala, Z. Investigation of European flexural and lateral torsional buckling interaction. J. Constr. Steel Res. 2019, 156, 105–121. [Google Scholar] [CrossRef]
- Valeš, J. Sensitivity Analysis of Static resistance of Slender Beam under Bending. AIP Conf. Proc. 2016, 1738, 380008-1–380008-4. [Google Scholar]
- Galambos, T.V.; Van Kuren, R.C. Beam-Column Experiments. Proc. ASCE, 1964, Vol. 90 (ST2), (64–23); Lehigh University: Betlehem, PA, USA, 1964; p. 1342. Available online: http://preserve.lehigh.edu/engr-civil-environmental-fritz-lab-reports/1342 (accessed on 29 March 2021).
- Kucukler, M.; Gardner, L.; Macorini, L. Flexural-torsional buckling assessment of steel beam-columns through a stiffness reduction method. Eng. Struct. 2015, 101, 662–676. [Google Scholar] [CrossRef][Green Version]
- Beyer, A.; Boissonnade, N.; Abdelouahab, K.; Boissonnade, N. Influence of geometric member imperfection on the ultimate resistance of U-shaped members. In Proceedings of the 7th International Conference on Coupled Instabilities in Metal Structures, Baltimore, MD, USA, 7–8 November 2016. [Google Scholar]
- Rebelo, C.; Lopes, N.; Da Silva, L.S.; Nethercot, D.; Real, P.V. Statistical evaluation of the lateral-torsional buckling resistance of steel Ibeams, Part 1: Variability of the Eurocode 3 resistance model. J. Constr. Steel Res. 2009, 65, 818–831. [Google Scholar] [CrossRef]
- Knobloch, M.; Bureau, A.; Kuhlmann, U.; da Silva, L.S.; Snijder, H.H.; Taras, A.; Bours, A.-L.; Jorg, F. Structural member stability verification in the new Part 1-1 of the second generation of Eurocode 3. Steel Constr. 2020, 13. [Google Scholar] [CrossRef]
- Ofner, R. Traglasten Von Stäben aus Stahl bei Druck und Bieging. Ph.D. Thesis, Institut fr Stahlbau, Holzbau und Fläschenwerke, TU Graz, Graz, Austria, 1997. [Google Scholar]
















































| Specimen | Section | Load Case | Ned,exp/Npl | Ned,FEM/Npl | Mult,exp/Mpl | Mult,FEM/Mpl | ζ | |
|---|---|---|---|---|---|---|---|---|
| T1 | 8 WF 31 | d | 0.4 | 0.130 | 0.130 | 1.03 | 1.01 | 0.98 |
| T2 | 8 WF 40 | d | 0.23 | 0.148 | 0.148 | 1.13 | 1.03 | 0.91 |
| T3 | 8 WF 31 | b | 0.45 | 0.496 | 0.496 | 0.59 | 0.58 | 0.98 |
| T8 * | 8 WF 31 | c | 0.63 | 0.588 | 0.665 | 0.16 | 0.16 | 1.13 |
| T11 * | 8 WF 31 | e | 0.64 | 0.862 | 0.836 | - | - | 0.97 |
| T12 | 8 WF 31 | c | 0.64 | 0.122 | 0.122 | 0.76 | 0.79 | 1.04 |
| T13 | 8 WF 31 | d | 0.63 | 0.122 | 0.122 | 1.02 | 0.97 | 0.95 |
| T14 | 8 WF 31 | a | 0.64 | 0.230 | 0.230 | 0.88 | 0.93 | 1.06 |
| T16 | 8 WF 31 | c | 0.48 | 0.123 | 0.123 | 0.75 | 0.85 | 1.13 |
| T18 * | 8 WF 31 | e | 0.32 | 0.882 | 0.933 | - | - | 1.06 |
| T19 | 8 WF 31 | c | 0.32 | 0.121 | 0.121 | 0.78 | 0.88 | 1.13 |
| T23 | 4 WF 13 | d | 0.96 | 0.114 | 0.114 | 0.93 | 0.93 | 1.00 |
| T25z * | 8 WF 31 | e | 0.88 | 0.696 | 0.631 | - | - | 0.91 |
| T26 | 4 WF 13 | c | 0.96 | 0.122 | 0.122 | 0.72 | 0.76 | 1.05 |
| T27z | 8 WF 31 | c | 0.825 | 0.503 | 0.503 | 0.21 | 0.20 | 0.94 |
| T32 | 4 WF 13 | c | 1.29 | 0.122 | 0.122 | 0.64 | 0.63 | 0.98 |
| = | 1.01 | |||||||
| σ = | 0.073 | |||||||
| ζmax = | 1.13 | |||||||
| ζmin = | 0.91 |
Publisher’s Note: MDPI stays neutral with regard to jurisdictional claims in published maps and institutional affiliations. |
© 2021 by the authors. Licensee MDPI, Basel, Switzerland. This article is an open access article distributed under the terms and conditions of the Creative Commons Attribution (CC BY) license (http://creativecommons.org/licenses/by/4.0/).
Share and Cite
Prokop, J.; Vičan, J.; Jošt, J. Numerical Analysis of the Beam-Column Resistance Compared to Methods by European Standards. Appl. Sci. 2021, 11, 3269. https://doi.org/10.3390/app11073269
Prokop J, Vičan J, Jošt J. Numerical Analysis of the Beam-Column Resistance Compared to Methods by European Standards. Applied Sciences. 2021; 11(7):3269. https://doi.org/10.3390/app11073269
Chicago/Turabian StyleProkop, Jozef, Josef Vičan, and Jozef Jošt. 2021. "Numerical Analysis of the Beam-Column Resistance Compared to Methods by European Standards" Applied Sciences 11, no. 7: 3269. https://doi.org/10.3390/app11073269
APA StyleProkop, J., Vičan, J., & Jošt, J. (2021). Numerical Analysis of the Beam-Column Resistance Compared to Methods by European Standards. Applied Sciences, 11(7), 3269. https://doi.org/10.3390/app11073269

