Next Article in Journal
Drugs from Marine Sources
Previous Article in Journal
A Hybrid Online Classifier System for Internet Traffic Based on Statistical Machine Learning Approach and Flow Port Number
 
 
Font Type:
Arial Georgia Verdana
Font Size:
Aa Aa Aa
Line Spacing:
Column Width:
Background:
Article

State Feedback Control Based Seamless Switch Control for Microgrid Inverter

1
Industrial Center, Nanjing Institute of Technology, Nanjing 211167, China
2
Jiangsu Provincial Key Laboratory of Smart Grid Technology and Equipment, Nanjing 210018, China
3
School of Electrical Engineering, Southeast University, Nanjing 210018, China
*
Authors to whom correspondence should be addressed.
Appl. Sci. 2021, 11(24), 12114; https://doi.org/10.3390/app112412114
Submission received: 5 September 2021 / Revised: 26 November 2021 / Accepted: 29 November 2021 / Published: 20 December 2021

Abstract

:
With the wide application of distributed generations (DGs) and microgrids (MGs), the inverter control becomes a hot research topic. For the inverter control in MG applications, first, a complex variable state-feedback-based switch control frame is proposed. In the proposed control frame, the state feedback leads to a generalized control objective (GCO), and then the instantaneous voltage and current controls are designed based on the GCO. Finally, a complex variable frequency-locked loop (FLL) is adopted to realize the voltage and current reference computation. The control system is integrated by complex variables to alleviate the seamless switch. The effectiveness of the proposed control method is validated by experimental results.

1. Introduction

As a popular topic in power electronics, the inverter control has confronted new challenges for microgrid (MG) applications with the massive developments and utilizations of distributed generations (DGs) [1,2].
Microgrid inverters can be classified into two categories: voltage-controlled inverters in stand-alone (SA) mode and current-controlled inverters in grid-connected (GC) mode. The current-controlled inverters are mainly designed to deliver a specified amount of active and reactive power following the grid, while the voltage-controlled inverters are designed for autonomous operation, represented as ideal AC voltage sources, balancing the power supplies and loads [1,2]. However, when MGs transform unintentionally from the GC mode to a SA mode, the inverter control should be designed carefully to ensure an uninterrupted power supply for critical loads such as medical facilities, data storage systems, online management systems, etc. Therefore, the new challenge for those who control inverters will show up when the tracking control structure is changed. As when current-controlled inverters shift into voltage-controlled inverters, the controlled electric quantity needs to be changed from the current to voltage. This change may arouse severe dynamic voltage distortion, which must be eliminated effectively by specific seamless switch control.
The seamless switch control from GC mode to SA mode is very critical to guarantee the power supply reliability. For different scale MGs, the seamless switch control may be realized in different methods. In a large-scale MG where lots of micro power source exists, the seamless switch can be accomplished via coordinate control by multiple DGs, for example, the droop control [3,4,5,6]. Nevertheless, in a small MG (less than 100 kW), this function may be achieved by one inverter that is energized by energy storages. Furthermore, in a small-scale MG, the unbalanced power in switch is not too much so that it can be compensated by a single inverter. Therefore, the control for a single inverter should be designed carefully to achieve the seamless switch in small MGs. In general, a well-designed inverter control frame can simplify the complicated switch scheduling. Conversely, if the control frame is not well designed, some complex switch scheduling is indispensable for the smooth seamless switch.
At present, most of the seamless switch control algorithms for single inverter are achieved by means of switch from current control in the GC mode into voltage control in the SA mode [7,8,9,10,11,12]. The voltage control strategies reported in the literature [7,8,9,10,11] are analogous to that adopted by regular uninterruptible power supply (UPS) and are not particularly designed for switch application. It then becomes necessary to add switch scheduling during the switchover process to suppress the dynamic impact from the unmatched power. References [7,8] for example, adopted a traditional dual-loop control under the synchronous rotating frame (SRF). The inner loop is current loop. The outer loop shifts from power control to voltage control when the MG switches to SA mode. This shifting is completely stiff, leading to poor dynamic performance and a drastic oscillation waveform. The single-loop control under SRF was employed in [9,10] in SA mode. However, single-loop control is hard to obtain satisfactory performance with, because the current state information is ignored. Thanh-Vu Tran et al. proposed a single-loop switch control where the outputs of both the voltage loop and current loop act as feedforwards for each other to keep the control signals continuous during the mode-switch process [11]. This strategy has reduced the impact current during the period of switch. In [12], a quadrature second order generalized integrator based inner current loop is proposed to improve the transient dynamic response.
Recently, some switch control algorithms were presented in [13,14,15,16,17,18,19,20]. In [13,14], the voltage control loop, which acts as an inner loop, is cascaded by different outer control modules. The outer control loops are the power control loop in GC mode and voltage reference calculation in SA mode, respectively. The power control loop is either driven by a direct calculation method [13] or droop calculation method [14,15]. When the inverter switches from GC mode to SA mode, the outer power control is switched to voltage reference calculation. However, the voltage reference calculation needs to be carefully designed to ensure the continuousness of the voltage reference. References [16,17] adopted slide-mode control, whose sliding surfaces are defined differently for SA mode and GC mode to realize the voltage control in SA mode and current control in GC mode separately. The oscillation on the both sides of the sliding surfaces is a tough problem for slide-mode control. In [18], a generalized control algorithm was developed to enable the distributed generations (DGs) to operate in both modes with a single control structure, facilitating the seamless transition between the operating modes. Additionally, the effects of disturbances associated with the mode transitions are fully eliminated by dynamic compensation term. However, the compensation term includes differential operation which is hard to realize in digital control. A universal integrated synchronization and control were proposed in [19] to operate a single-phase dc/ac converter in both GC and SA modes and offer seamless transition between these modes without any reconfiguration of control structure. However, the definition of virtual powers in [19] excessively relies on the topology structure of filters and the precise parameters of a filter circuit. A unified control loop with a novel anti-derailing control is proposed in [20] for smooth and autonomous mode switch. An anti-derailing control and the power open loop control are paralleled as the outer loop of the inner current loop. The good performance of the switch control is achieved. A unified complex-based control with an added frequency control loop is proposed for the seamless switching control in [21]. However, the current controller is not designed and the frequency control loop will deteriorate the dynamic response.
Generally, in present studies, both the current and voltage control are designed separately, and the current control and voltage control are two control systems. Hence, the switch actions are usually complicated. In this paper, with the fundamental work of [21], a new control frame based on complex-variable-design is proposed, the current controller is added by sharing one dynamic controller with the voltage controller and the frequency control loop is removed. A state feedback control is designed for the instantaneous voltage and current control, a complex variable FLL is designed to realize the voltage and current reference computation. The voltage and current control share one resonant controller to ensure the smooth switch. The good performance of seamless switch is also achieved by the well-designed control method. Lastly, the proposed control strategy is verified through the built MG experiment platform.

2. Application Background

Figure 1 shows the structure of a small-scale MG comprised of a photovoltaic (PV), a battery storage system (BSS), loads and a switch (S) connecting the MG and the grid. PV is connected to AC bus by PV inverter and BSS is connected to AC bus by storage inverter. When S is closed, MG is in the GC state. On this condition, the PV and storage inverters both belong to current-controlled inverters to feed the active and reactive power. When S is open, MG changes into the SA mode. On account of the maximum power point tracker control of PV and the bidirectional operation characteristic of BSS, the storage inverter is the better choice for the voltage support [21]. Hence, the storage inverter should become a voltage-controlled inverter. In this condition, a suitable control for the storage inverter should be designed to guarantee the seamless switch. Furthermore, the power supply of critical loads and connection of PV should also be sustained during the switch transition.

3. Proposed Control

For the battery inverter system in Figure 2, a control frame supporting the seamless GC-to-SA transition is designed in this paper, as shown in Figure 3. Complex variables are adopted to facilitate the system analysis and design, as a result, the double-line arrows in Figure 3 represent the information streams of complex variables. We define the complex variables i = iα + jiβ, u = uα + juβ, and ug = ugα + jugβ to represent the inductance current, the output capacitance voltage of the battery inverter, and the grid voltage at the point of common coupling (PCC), respectively, where symbol ‘j’ denotes the imaginary unit. It is obvious that uug in the GC mode for the small simple MG where the impedance of the line can be ignored. Moreover, the magnitudes of the complex variables are calculated as u = u α 2 + u β 2 .
The control strategy in Figure 3 includes the generalized control objective (GCO), instantaneous current tracking control (ICTC), instantaneous voltage tracking control (IVTC) and FLL-based reference calculation (RC). The GCO is actually a state feedback system of the original plant which can improve the dynamic response. The IVTC and ICTC constitute to the voltage and current control for the inverter to track the sinusoidal voltage reference. The IVTC and ICTC use one dynamic controller Gc to ensure the successive control input for the GCO. This is critical for the smooth switch. The FLL based RC realize the continuous reference at the instance of the switch.

3.1. Generalized Control Objective (GCO)

For conventional switch control, the dual-loop control is generally adopted where the voltage control acts as the outer loop of the inner current loop. In this structure, the inner current loop only has a current state, while the voltage state is not included. After the switch, the voltage state is then added in the voltage loop. This will deteriorate the dynamic performance during the switch process. Hence, in this paper, the state feedback control is designed first as the GCO to improve the nature property of the inverter. As shown in Figure 3, supposing that the line impedance is very small in a small-scale microgrid, then the original state space model of the inverter can be represented as:
x ˙   =   A x   +   B v c   +   F w p u = C u x i   =   C i x
where x = [i u]T = [iα + jiβ uα + juβ]T, vc = v + jv, wp = iba = ibaα + jibaβ, and
A   =   R / L 1 / L 1 / C 0
B   =   1 / L 0 T
C u   =   0 1
C i   =   1 0
F   =   0 1 / C T
This state space model is simplified by ignoring the dynamic of the grid-side line inductance. In grid-connected mode, this simplification may introduce some uncertainties due to the neglect of the grid-side impedance. This can be addressed by the control parameter design to improve the robustness. Moreover, in the GC mode, the capacitor voltage is clamped by the grid, hence the state of the capacitor voltage is also ignored, and the state feedback of the capacitor voltage can be treated as the voltage feedforward control. Based on the model, the input–output transfer function of the inverter can be calculated by
G o p u   =   u v c   =   C u ( s I     A ) 1 B
Generally, the response characteristic of Gopu is completely dependent on the circuit parameters, and the poor performance is often performed just as shown in Figure 4 where Gopu performs a terrible impulse response. Therefore, the full state feedback is employed to correct the nature pole placement so that the response characteristic is able to be improved. The transfer function with state feedback control law K can be derived via
G G C O u   =   u v c   =   C u ( s I     A   +   B K ) 1 B
As described in (8), the control law K can tune the distribution of poles of the GCO. By tuning control law K, therefore, the response characteristic could be modified better. The state feedback can be designed by the linear quadratic regulation method [21]. This can be easily realized by the function lqr() in Matlab. Based on the LQR design and the circuit parameters shown in Table 1, the state feedback is designed as K = [8.8−0.7]. Then, as shown in Figure 4, the impulse response of GGCOu is much better than the original version of Gopu. The disturbance-rejection ability is considerably improved. This is why the modified state feedback model is adopted as the GCO. Furthermore, another advantage of adopting the state feedback structure is that it is suitable for designing the control parameters by time-domain based modern optimal control method. Since some well-known optimal control method, such as the LQR, optimal H2/Hinf norm, pole placement, are based on the state space model.

3.2. Voltage and Current Control

The GCO can improve the dynamic response and disturbance-rejection ability, however, it cannot achieve the zero-steady-state-error control. To realize the zero-steady-state-error tracking control for the voltage and current, a complex variable resonant controller will be adopted many times in this paper. Its state space model can be formulated as:
x ˙ c   =   j ω x c   +   v i c y c   =   x c
where xc and vic are the state variable and input of the controller, respectively. Translating (9) into complex transfer function form:
G c   =   y c v i c   =   1 s     j ω
It is revealed that, unlike scalar resonant controller, which has infinite gain at both positive and negative ω points, the dynamic model described by (9) has only one frequency resonant point at the positive ω . This feature allows the controller (9) to not only be used in a grid synchronization system to extract positive sequence components [22], but also be used to track positive sequence sinusoidal signals without steady-state-error [21,23].
Thus, the control block diagram of the voltage control is shown in Figure 5, and the open loop gains of IVTC can be derived as:
G I V T C   =   u e u   =   K u G c G G C O u
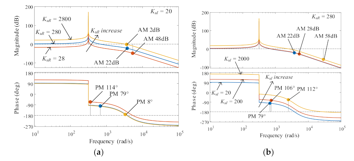
where Ku = KuR + jKuI is the complex gain of the controller. Figure 6 shows the Bode diagram of the open-loop gain of the voltage control with the parameter varying. From Figure 6, it can be deduced that with the increasing of the real part of the parameter KuR, the phase margin (PM) and amplitude margin (AM) both decrease. However, with the increasing of the imaginary part of the parameter KuI, both the PM and AM will be improved. However, in low-frequency range, the phase is close to 180°, which is harmful for the system, hence KuI, cannot be tuned too big. According to the Bode analysis Figure 6, the complex parameter of the voltage controller is designed as Ku = 280 + j20.
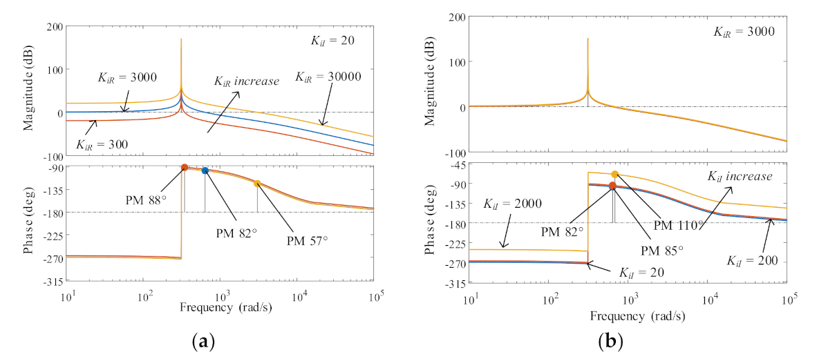
Similarly, the complex parameter of the ICTC can also be designed by the Bode analysis. The Bode plot is shown in Figure 7 from which we can find that, the real part of the complex parameter mainly affect the amplitude of the transfer function, while the imaginary part of the complex parameter can change the phase response of the transfer function. Hence, similar with the case of the voltage control, the parameter for the current control is selected as Ki = 3000 + j20.

3.3. Frequency-Locked Loop

Frequency-locked Loop (FLL) is critical to the proposed switch control method. As the link between voltage control and current control, when the switch from current control to voltage control occurs is important. The FLL, as shown in Figure 8, is also designed via the complex controller (10). The superscript “*” denotes the complex conjugate.
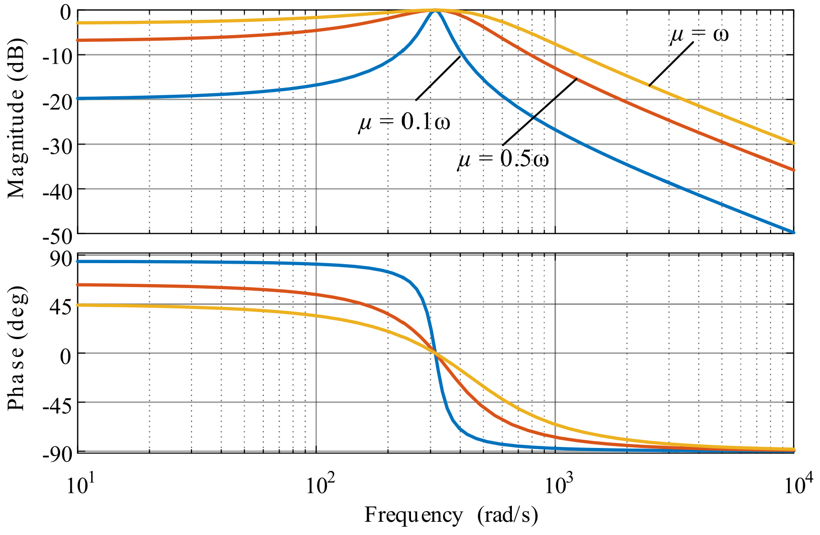
The FLL is first analyzed in complex frequency domain. Assuming ω ^   =   ω , where ω represents the frequency of input signal, then the input–output complex transfer function of the closed-loop filter shown in Figure 8 can be derived as
G F L L   =   u ^ g u g   =   μ ω G c 1   +   μ ω G c   =   μ ω s   +   μ ω j ω
where μ denotes the gain coefficient. Figure 9 shows the bode plot of GFLL with different gains. From Figure 9, GFLL is a band pass filter with the center frequency of ω . Therefore, it can extract the positive sequence component as u ^ g   =   u ^ g α   +   j u ^ g β . The less μ is set, the more attenuation for different frequency signal is achieved, while the bandwidth is narrower (the slower dynamic response will be manifested). To reach a compromise between the attenuation ability and bandwidth, the gain μ is set to 0.8ω.
When ω ^     ω , the frequency adaption law is designed to estimate the frequency
ω ^ ˙   =   γ μ ω ^ V 2 x a I = γ μ ω ^ V 2 Im e g u ^ g *
where γ can be set as 90 [24]. The detailed FLL design can refer [24].
In the proposed control frame, when the system operates in GC mode, the input signal is the grid voltage ug. Then, FLL extracts the fundamental positive sequence voltage component to calculate power/current reference under grid-feeding mode. In complex domain, the complex power can be expressed as s = p + jq = ug i * . Therefore, the current reference in GC mode can be computed as
i r   =   s r u ^ g *
where sr = pr + jqr is the power reference. Meanwhile, the FLL also estimates the frequency of the fundamental positive sequence voltage for the current controller. When the system transfers into SA mode, the input signal will shift to capacitor voltages automatically. In this condition, the control is changed to voltage control, and meanwhile set μ to 0 at the instant of switch. This action cuts off the input of FLL to keep the FLL on zero-input response. When μ is set to 0, the response of the FLL is dependent on (10) and its initial values. Equation (10) can be rewritten as
x ˙ c   =   j ω x c
whose time-domain solution is xc = V0e = V0(cosθ + jsinθ). The amplitude V0 and phase θ are successive to the value before μ is set to 0. Hence, xc can be adopted as the voltage reference at the switch instance. However, considering the controllability of the voltage, the voltage reference can be computed as
u r   =   V r u ^ g V 0 μ   =   0   =   V r u ^ g u ^ g α 2   +   u ^ g β 2 μ   =   0
where Vr is the amplitude reference of the voltage.

3.4. Effect of Islanding Detection Time

The performance of the switching control is highly affected by the islanding detection time. Since during the islanding detection when the grid has been unintentionally disconnected, the system is still in current-controlled mode where the output current tracks the reference. In this condition, the voltage at PCC depends on the output current reference and the load. If the load and the output of the power source are matched, which means that the power in the MG is balanced and the PCC power flowed into the grid is very small, then the PCC voltage will not change too much after islanding even though the control is still in current-controlled mode. However, if the power in MG is not balanced and the PCC power is not that small, then after islanding (the control has not been switched), the PCC voltage will experience a severe variation due to the unbalanced power. Consequently, the islanding detection time will be very important, because it is necessary to switch to voltage control as soon as possible to stabilize the voltage before the protection is triggered. In this case, the maximum borne time will be the protection time.
Furthermore, supposing that the load is resistive, which means wp = iba =vc/Rload, then the model during the islanding detection becomes
x ˙   =   A x   +   B v c i   =   C i x
A   =   R / L 1 / L 1 / C 1 / R l o a d C
B   =   1 / L 0 T
C i   =   1 0
which can be used to evaluate the stability of the system during the islanding detection. In other word, as long as the designed current control parameters can ensure the stability of the system (17), the system will be stable during the islanding detection.

4. Experiment Verification

In this paper, an experimental MG system whose structure is shown in Figure 1 is established to validate the performance of the proposed control method. The experimental layout is displayed in Figure 10. The parameters of the battery inverter which implements the proposed control are shown in Table 1.
The experiment of seamless switch from GC to SA mode with different load conditions is conducted to verify the proposed control when unintentional islanding is occurred. For this seamless transition, the islanding detection is unavoidable. The IEEE 1547 standard [22] defined the islanding detection time, which is important for the dynamic performance during the transition process. During this unintentional islanding detecting, voltage across the critical load may experience a severe transient state since the voltage is determined by the amount of the injected power and unknown load condition. Fortunately, the more transient distortion the voltage experiences, the faster the unintentional islanding is detected. Therefore, improving the sensitivity of the islanding detection may alleviate the voltage distortion during the seamless switch. In this paper, to simplify the experiment procedure, the islanding detection takes 3 ms.
Figure 11a,b show the switch voltage waveform of the proposed control and the conventional PI control under idling state. The current of battery inverter is controlled to zero at GC mode and there is no feeding load in SA mode. The islanding detection time tid is 3 ms. While in Figure 11c, the islanding detection takes 8 ms for the proposed method. Three criteria are considered to evaluate the performance: the maximum voltage drops, voltage recovering time and the stability. For reading convenience, the variables in these figures and its values and meanings in testing is summarized in Table 2. The three criteria for the results in Figure 11a–c are summarized in Table 3. As is shown in the Figure 11 and the Table 3, the proposed control frame owns the advantages of the good dynamic response speed within switch procedure and continuous smooth voltage waveform without mutation before and after switch. It proves the favorable performance of the control frame.
Furthermore, the inverter should cease to energize the local load by disconnecting the DG unit from the grid within two seconds, which is the required clearing time when the islanding is detected [14]. Therefore, the conventional mode transition from the GC mode to the SA mode will be acceptable during 10–60 cycles of fundamental frequency [3]. However, to guarantee the uninterrupted power supply for critical loads and enhance the power supply reliability of the photovoltaic source, the seamless switch is indispensable in the near future. Hence, some switch experiments are conducted under different load conditions as shown in Figure 12. The meanings of the variables in those figures are identical with those in Figure 1, and shown in Table 2.
Firstly, two single loads, which are resistor load and negative power load (PV inverter), are connected to the inverter to test the seamless switch performance. As displayed in Figure 12a, the PV inverter is connected to the AC bus to pour the power into the grid in GC mode. At the moment of changing into SA mode, the battery inverter switches from grid-feeding control into grid-forming control with smooth voltage wave shape. The transient time is less than 6 ms. Additionally, the favorable voltage wave ensures the PV inverter uninterrupted operation without disconnecting the AC bus.
Besides that, considering the condition of harmonic loads, the experiments of the proposed method were performed to manifest the performance of the proposed control frame as displayed in Figure 12b. The waveforms in Figure 12b prove that the proposed control frame manifests good performance in seamless transition from GC to SA mode. The smooth and continuous switch voltage waves and fast dynamic restoring time are achieved in less than 8 ms (including 3 ms of the islanding detection time). Thanks to the outstanding performance, the PV inverter remains connected to the AC bus during the switch process. This is meaningful for improving the reliability of the power supply in MGs.

5. Conclusions

In this paper, a complex-variable-based switch control is proposed to realize the seamless switch application for a MG inverter. A generalized control objective is designed, and the voltage and current control share one dynamic controller with different parameters. The proposed control can accomplish the seamless switch from GC mode to SA mode. The proposed control provides good dynamic response in the switch process with simple switch scheduling. The glossy transition voltage waveform and the fast dynamic response ensure the uninterrupted power supply for critical loads and sustain the PV inverters uninterrupted operation during the switch process. The experimental results prove the validity of the proposed control method.

Author Contributions

Conceptualization, Y.Z. and X.Q.; methodology, Y.Z.; software, Q.H.; validation, F.D., X.Q. and Z.Z.; formal analysis, Z.Z.; investigation, Y.Z.; resources, Z.Z.; data curation, Y.Z.; writing—original draft preparation, Y.Z.; writing—review and editing, X.Q.; visualization, Y.Z.; supervision, F.D.; project administration, Y.Z.; funding acquisition, Y.Z. All authors have read and agreed to the published version of the manuscript.

Funding

This research was funded by the Jiangsu Provincial Key Laboratory of Smart Grid Technology and Equipment.

Institutional Review Board Statement

Not applicable.

Informed Consent Statement

Not applicable.

Data Availability Statement

Data sharing is not applicable to this article.

Acknowledgments

This research was supported by the Jiangsu Provincial Key Laboratory of Smart Grid Technology and Equipment.

Conflicts of Interest

The authors declare no conflict of interest.

References

  1. Rocabert, J.; Luna, A.; Blaabjerg, F.; Rodriguez, P. Control of Power Converters in AC Microgrids. IEEE Trans. Power Electron. 2012, 27, 4734–4749. [Google Scholar] [CrossRef]
  2. Bouzid, A.M.; Guerrero, J.M.; Cheriti, A.; Bouhamida, M.; Sicard, P.; Benghanem, M. A survey on control of electric power distributed generation systems for microgrid applications. Renew. Sust. Energ. Rev. 2015, 44, 751–766. [Google Scholar] [CrossRef] [Green Version]
  3. Mohamed, Y.A.R.I.; Radwan, A.A. Hierarchical Control System for Robust Microgrid Operation and Seamless Mode Transfer in Active Distribution Systems. IEEE Trans. Smart Grid 2011, 2, 352–362. [Google Scholar] [CrossRef]
  4. Hu, S.H.; Kuo, C.Y.; Lee, T.L.; Guerrero, J.M. Droop-Controlled Inverters with Seamless Transition between Islanding and Grid-Connected Operations. In Proceedings of the 2011 IEEE Energy Conversion Congress and Exposition (Ecce), Phoenix, AZ, USA, 17–22 September 2011; pp. 2196–2201. [Google Scholar]
  5. Micallef, A.; Apap, M.; Spiteri-Staines, C.; Guerrero, J.M. Single-Phase Microgrid With Seamless Transition Capabilities Between Modes of Operation. IEEE Trans. Smart Grid 2015, 6, 2736–2745. [Google Scholar] [CrossRef] [Green Version]
  6. Mohamed, Y.A.R.I.; Zeineldin, H.H.; Salama, M.M.A.; Seethapathy, R. Seamless Formation and Robust Control of Distributed Generation Microgrids via Direct Voltage Control and Optimized Dynamic Power Sharing. IEEE Trans. Power Electron. 2012, 27, 1283–1294. [Google Scholar] [CrossRef]
  7. Serban, I.; Marinescu, C. Control Strategy of Three-Phase Battery Energy Storage Systems for Frequency Support in Microgrids and with Uninterrupted Supply of Local Loads. IEEE Trans. Power Electron. 2014, 29, 5010–5020. [Google Scholar] [CrossRef]
  8. Hwang, T.S.; Park, S.Y. A Seamless Control Strategy of a Distributed Generation Inverter for the Critical Load Safety Under Strict Grid Disturbances. IEEE Trans. Power Electron. 2013, 28, 4780–4790. [Google Scholar] [CrossRef]
  9. Ochs, D.S.; Mirafzal, B.; Sotoodeh, P. A Method of Seamless Transitions Between Grid-Tied and Stand-Alone Modes of Operation for Utility-Interactive Three-Phase Inverters. IEEE Trans. Ind. Appl. 2014, 50, 1934–1941. [Google Scholar] [CrossRef]
  10. Arafat, M.N.; Palle, S.; Sozer, Y.; Husain, I. Transition Control Strategy Between Standalone and Grid-Connected Operations of Voltage-Source Inverters. IEEE Trans. Ind. Appl. 2012, 48, 1516–1525. [Google Scholar] [CrossRef]
  11. Tran, T.V.; Chun, T.W.; Lee, H.H.; Kim, H.G.; Nho, E.C. PLL-Based Seamless Transfer Control Between Grid-Connected and Islanding Modes in Grid-Connected Inverters. IEEE Trans. Power Electron. 2014, 29, 5218–5228. [Google Scholar] [CrossRef]
  12. Kewat, S.; Singh, B. Robust Control for Islanded and Seamless Mode Switch of Wind-PV-Grid Tied Generation System. IEEE Trans. Ind. Appl. 2021, 57, 5285–5295. [Google Scholar] [CrossRef]
  13. Kwon, J.; Yoon, S.; Choi, S. Indirect Current Control for Seamless Transfer of Three-Phase Utility Interactive Inverters. IEEE Trans. Power Electron. 2012, 27, 773–781. [Google Scholar] [CrossRef]
  14. He, J.W.; Li, Y.W. Hybrid Voltage and Current Control Approach for DG-Grid Interfacing Converters with LCL filters. IEEE Trans. Ind. Electron. 2013, 60, 1797–1809. [Google Scholar] [CrossRef]
  15. Wang, G.; Wang, X.; Gao, X. Improved Seamless Switch Control Strategy for AC/DC Hybrid Microgrid. IEEE Access 2021, 9, 55790–55801. [Google Scholar] [CrossRef]
  16. Yao, Z.L.; Xiao, L.; Yan, Y.G. Seamless Transfer of Single-Phase Grid-Interactive Inverters Between Grid-Connected and Stand-Alone Modes. IEEE Trans. Power Electron. 2010, 25, 1597–1603. [Google Scholar]
  17. Wai, R.J.; Lin, C.Y.; Huang, Y.C.; Chang, Y.R. Design of High-Performance Stand-Alone and Grid-Connected Inverter for Distributed Generation Applications. IEEE Trans. Ind. Electron. 2013, 60, 1542–1555. [Google Scholar] [CrossRef]
  18. Wang, J.; Chang, N.C.P.; Feng, X.; Monti, A. Design of a Generalized Control Algorithm for Parallel Inverters for Smooth Microgrid Transition Operation. IEEE Trans. Ind. Electron. 2015, 62, 4900–4914. [Google Scholar] [CrossRef]
  19. Karimi-Ghartemani, M. Universal Integrated Synchronization and Control for Single-Phase DC/AC Converters. IEEE Trans. Power Electron. 2015, 30, 1544–1557. [Google Scholar] [CrossRef]
  20. Kwon, M.; Park, S.; Oh, C.-Y.; Lee, J.; Choi, S.G. Unified Control Scheme of Grid-connected Inverters for Autonomous and Smooth Transfer to Stand-alone Mode. IEEE Trans. Power Electron. 2021, 37, 416–425. [Google Scholar] [CrossRef]
  21. Quan, X.; Dou, X.; Wu, Z.; Hu, M. Self-synchronized voltage control algorithm for microgrid inverter. In Proceedings of the 2016 IEEE Power and Energy Society General Meeting (PESGM), Boston, MA, USA, 17–21 June 2016; pp. 1–5. [Google Scholar] [CrossRef]
  22. Lo, K.; Chen, Y. Design of a Seamless Grid-Connected Inverter for Microgrid Applications. IEEE Trans. Smart Grid 2020, 11, 194–202. [Google Scholar] [CrossRef]
  23. Quan, X. Improved Dynamic Response Design for Proportional Resonant Control Applied to Three-Phase Grid-Forming Inverter. IEEE Trans. Ind. Electron. 2021, 68, 9919–9930. [Google Scholar] [CrossRef]
  24. Quan, X.; Hu, Q.; Dou, X.; Wu, Z.; Li, W. High-Order Frequency-Locked Loop: General Modeling and Design. IEEE Trans. Ind. Electron. 2021, 68, 12626–12635. [Google Scholar] [CrossRef]
Figure 1. Structure of the simple MG.
Figure 1. Structure of the simple MG.
Applsci 11 12114 g001
Figure 2. Circuit of the battery invert system in the simple MG.
Figure 2. Circuit of the battery invert system in the simple MG.
Applsci 11 12114 g002
Figure 3. The proposed control frame.
Figure 3. The proposed control frame.
Applsci 11 12114 g003
Figure 4. Comparison of the two control objects.
Figure 4. Comparison of the two control objects.
Applsci 11 12114 g004
Figure 5. Block diagram of the voltage control.
Figure 5. Block diagram of the voltage control.
Applsci 11 12114 g005
Figure 6. Bode diagram of the open-loop gain of the voltage control with: (a) KuR and (b) KuI change.
Figure 6. Bode diagram of the open-loop gain of the voltage control with: (a) KuR and (b) KuI change.
Applsci 11 12114 g006
Figure 7. Bode diagram of the open-loop gain of the current control with: (a) KiR and (b) KiI change.
Figure 7. Bode diagram of the open-loop gain of the current control with: (a) KiR and (b) KiI change.
Applsci 11 12114 g007
Figure 8. Block diagram of the FLL adopted in the switch control.
Figure 8. Block diagram of the FLL adopted in the switch control.
Applsci 11 12114 g008
Figure 9. Bode diagram of the GFLL.
Figure 9. Bode diagram of the GFLL.
Applsci 11 12114 g009
Figure 10. Laboratory setup for real-time experiments.
Figure 10. Laboratory setup for real-time experiments.
Applsci 11 12114 g010
Figure 11. Voltage waveform during seamless switch of the (a) proposed control with islanding detection time 3 ms, (b) conventional PI method with islanding detection time 3 ms, and (c) proposed control with islanding detection time 8 ms.
Figure 11. Voltage waveform during seamless switch of the (a) proposed control with islanding detection time 3 ms, (b) conventional PI method with islanding detection time 3 ms, and (c) proposed control with islanding detection time 8 ms.
Applsci 11 12114 g011
Figure 12. Waveforms during seamless switch from GC to SA mode of the proposed control for: (a) resistor load and (b) resistor and harmonic loads.
Figure 12. Waveforms during seamless switch from GC to SA mode of the proposed control for: (a) resistor load and (b) resistor and harmonic loads.
Applsci 11 12114 g012
Table 1. Parameters of battery storage invert system.
Table 1. Parameters of battery storage invert system.
VariableSignificanceValue
Linductance2 mH
Ccapacitance30 μF
Rinductor resistance0.1 Ω
fsswitch frequency12,800 Hz
Output voltage peak310 V
DC link voltage650 V
Table 2. Illustration of the variables in Figure 11.
Table 2. Illustration of the variables in Figure 11.
VariableSignificanceValues
uggrid voltage220 V (RMS)
uvoltage of the battery inverter220 V (RMS)
igcurrent of the gridvarying
ibacurrent of the battery invertervarying
iPVcurrent of the PV inverter10 A (6.5 kW)
inlcurrent of the nonlinear load7.8 A (5.2 kW)
irlcurrent of the resistive load7.5 A (5 kW)
Table 3. Criteria comparison.
Table 3. Criteria comparison.
CriteriaProposed Control with
tid = 3 ms
Conventional Control with
tid = 3 ms
Proposed Control with
tid = 8 ms
maximum voltage drops200 V180 V300 V
voltage recovering time5 ms26 ms12 ms
stabilitystablestablestable
Publisher’s Note: MDPI stays neutral with regard to jurisdictional claims in published maps and institutional affiliations.

Share and Cite

MDPI and ACS Style

Zeng, Y.; Quan, X.; Hu, Q.; Zou, Z.; Deng, F. State Feedback Control Based Seamless Switch Control for Microgrid Inverter. Appl. Sci. 2021, 11, 12114. https://doi.org/10.3390/app112412114

AMA Style

Zeng Y, Quan X, Hu Q, Zou Z, Deng F. State Feedback Control Based Seamless Switch Control for Microgrid Inverter. Applied Sciences. 2021; 11(24):12114. https://doi.org/10.3390/app112412114

Chicago/Turabian Style

Zeng, Yuanjing, Xiangjun Quan, Qinran Hu, Zhixiang Zou, and Fujin Deng. 2021. "State Feedback Control Based Seamless Switch Control for Microgrid Inverter" Applied Sciences 11, no. 24: 12114. https://doi.org/10.3390/app112412114

APA Style

Zeng, Y., Quan, X., Hu, Q., Zou, Z., & Deng, F. (2021). State Feedback Control Based Seamless Switch Control for Microgrid Inverter. Applied Sciences, 11(24), 12114. https://doi.org/10.3390/app112412114

Note that from the first issue of 2016, this journal uses article numbers instead of page numbers. See further details here.

Article Metrics

Back to TopTop