Allocation of 0.4 kV PTL Sectionalizing Units under Criteria of Sensitivity Limits and Power Supply Reliability
Abstract
:1. Introduction
1.1. Impact of Power Line Sectionalizing on Power Supply Reliability
1.2. Allocation Problem of Sectionalizing Units within Electrical Networks
1.3. Article Relevance, Contribution and Organization
2. Design of Sectionalizing Devices
- Two-way communication between SU and a network dispatcher;
- Constant monitoring of voltage and current parameters;
- Control of the vacuum contactor KM1 for automated (or remote) switching SU power circuits;
- Implementation of automatic (or remote) input or inhibit input of a reserve to an emergency PTL section (when using SU as a recloser);
- Automatic (or remote) control of automatic reclosing function;
- Providing an understandable interface and output of all information on a display for service personnel.
- Changes in current and voltage parameters;
- Position of vacuum contactor;
- Successful implementation of automatic reclosing function;
- Fact and duration of voltage interruption in circuits under monitoring.
3. Methodology for SU Allocation in 0.4 kV PTLs Based on Criteria of Sensitivity Limits and PS Reliability
3.1. Criterion of Sensitivity Limits against Single-Phase SC
- is phase voltage, V;
- is impedance of a transformer feeding the PTL, Ohm;
- is specific active resistance of the phase wire, Ohm/km;
- is specific active resistance of the neutral wire, Ohm/km;
- is specific inductive resistance of the phase-zero loop, Ohm/km;
- and is current according to the sensitivity condition, A.
3.2. Criterion for Power Supply Reliability Improvement
- To calculate the total number of hours of PS interruptions due to failures on PTL sections before SU. This time (h/year) is determined by equation:where
- is length of the ith PTL section, km;
- is average PS restoration time for the ith PTL section, h;
- and is failure flow for the ith PTL section per 100 km, year−1.
- 2.
- To determine the total number of hours of PS interruptions from failures on PTL sections after SU:where
- is average restoration time for SU, h;
- is average restoration time for the jth PTL section, h;
- is failure flow at the jth PTL section per 100 km, year−1;
- is failure flow at SU per 100 pcs, year−1;
- and is the length of the jth PTL section after SU, km.
- To determine the total number of hours of emergency outages within the entire PTL in the absence of SU (h/year):
- The damage caused by emergency outages for the year is calculated as follows. Failures on any PTL section without sectionalization and failures on PTL sections before SU with sectionalization are equivalent since they lead to a power failure for all consumers. Damage in these situations (USD/year) is determined as follows:where
- is specific damage from electricity undersupply for the gth consumer, USD/kWh;
- is electricity undersupply for the gth consumer, kWh/year;
- is maximum load of the gth consumer, kW;
- is usage time of maximum load by the gth consumer, h/year;
- and is the number of consumers connected to PTL, pcs.
- is specific damage from electricity undersupply for the yth consumer after SU, USD/kWh;
- is electricity undersupply for the yth consumer, kWh/year;
- is maximum load of the yth consumer, kW;
- is usage time of maximum load by the yth consumer, h/year;
- and is the number of consumers connected to PTL after SU, pcs.
- 3.
- To calculate the effect of sectionalization (USD/year) for each intended installation location of SU:
- 4.
- To determine scheduled downtime (h/year):where is average scheduled downtime for the ith network element, h;is number of scheduled repairs during the repair cycle for the ith network element.
- 5.
- To determine damage caused by scheduled repairs for PTL both without sectionalizing when servicing at any point and with sectionalizing when servicing at PTL section before SU (USD/year):where
- is specific damage from electricity undersupply for the gth consumer during scheduled repairs of PTL, USD/kWh;
- is electricity undersupply for the gth consumer during scheduled repairs, kWh/year;
- is maximum load of the gth consumer, kW;
- is usage time of the maximum load by the gth consumer, h/year;
- is scheduled downtime for the whole PTL, h/year;
- and is number of consumers connected to PTL, pcs.
- 6.
- To determine damage caused by scheduled repairs at PTL sections after SU (USD/year):where
- is specific damage from electricity undersupply for the yth consumer during scheduled repairs of PTL, USD/kWh;
- is electricity undersupply for the yth consumer during scheduled repairs, kWh/year;
- is maximum load of the yth consumer, kW;
- is usage time of maximum load by the yth consumer, h/year;
- is planned downtime for the PTL after SU, h/year;
- and is number of consumers connected to PTL after SU, pcs.
- 7.
- To calculate the effect of sectionalization for each intended installation location of SU from reducing scheduled PTL repairs (USD/year):
- 8.
- To calculate the cumulative effect of sectionalizing for each intended location (USD/year):
- 9.
- To calculate the annual economic effect from SU installation (USD/year):where
- is operating cost of servicing SU, USD/year;
- is standard effectiveness ratio of capital investment. is taken in the range 0.1...0.3 [39]. For the energy industry, it usually equals 0.125, which corresponds to a payback period of 8 years, although PJSC ROSSETI [40] accepts a payback period of up to 10 years. can be set based on the desired payback period defining as: = 1/Payback period;
- is capital cost of SU implementation, USD;
- and is the number of SUs (if there are several SUs in a power line), pcs.
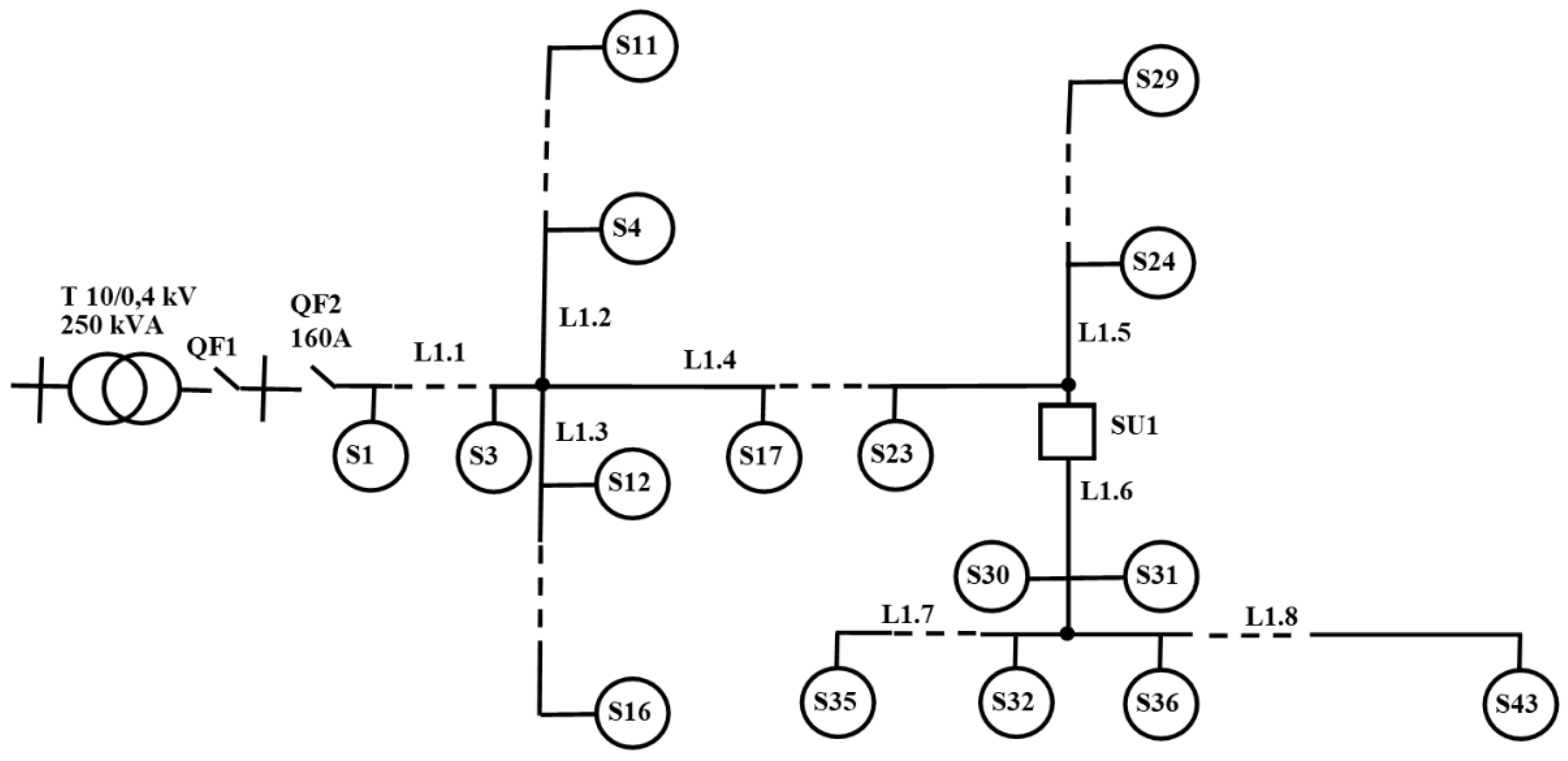
4. Case Study for SU Allocation in 0.4 kV PTLs According to the Developed Methodology
4.1. Determination of SU Maximum Distance According to Criterion of Sensitivity Limits against Single-Phase SC
4.2. Determination of SU Installation Location According to Criterion for Power Supply Reliability Improvement
4.3. Effect of Sectionalization in the Event of Unstable Failure
- tobt. infor. is time interval to obtain information about a failure, h;
- trec. infor. is time interval to recognize information about a failure, h;
- trepair is time interval to repair failed equipment, h;
- and tharmonize is time interval to connect repaired equipment including activities to harmonize connection, h.
- Time to obtain information on a failure, i.e., the time interval from the moment of the beginning of PS outage to the moment local residents reported this fact to a dispatcher, is not known;
- Time to recognize information on a failure was approximately 0.1–0.15 h and included time intervals on:
- Recognition of information about the failure place received during communication with a consumer and on making decision by a dispatcher (0.1–0.15 h);
- Preparation of a repair brigade for departure and reaching the failure place (amounted to 0.8 h);
- Inspection of SU (roughly 0.05–0.1 h);
- Search for the location of PTL failure (equal to 0 h, because the damage was unstable);
- Time to repair failed equipment was absent, since a repair team only re-switched the device on manually, and it turned out to be successful;
- Time to harmonize the connection of repaired equipment to PS network and the connection itself equaled to no more than 0.05 h.
4.4. Effect of Sectionalization in the Event of Stable Failure
4.5. Effect of Sectionalization and Automatic Reclosing in the Event of Unstable Failure
4.6. Effect of Sectionalization and Automatic Reclosing in the Event of Stable Failure
- tobt. infor.1 is time interval to obtain information about a failure by a sensor;
- tobt. infor.2 is time interval to obtain information about a failure by a signaling unit of dispatcher room;
- and tobt. infor.3 is time interval to obtain information about a failure by a dispatcher.
4.7. Payback of Capital Investment in SU Installation
5. Conclusions
Author Contributions
Funding
Conflicts of Interest
References
- Smith, R.G.; Zhou, Y.; Montante, J.; Alejandro, M.; Ross, M. Dropout Recloser. U.S. Patent No US20150116878A1, 28 July 2020. [Google Scholar]
- Laplace, C.J.; Hart, D.G.; Egolf, W.M. Adaptive Recloser/Sectionalizer. U.S. Patent No US6778370B1, 17 August 2004. [Google Scholar]
- Siemens Industry, Inc. Siemens Distribution Feeder Automation (SDFA) System. Available online: https://assets.new.siemens.com/siemens/assets/api/uuid:91228e3d-2d52-495b-a9a7-d9cbddc70057/version:1573791922/sdfa-brochure-flisr.pdf (accessed on 10 November 2021).
- Junior, C.G.L.; De Oliveira, A.A.P. Single-Phase, Equipotential, Low-Cost, Easy-to-Install Recloser. U.S. Patent No US20200244059A1, 30 July 2020. [Google Scholar]
- Chaly, A.M.; Chervinsky, O.I. Reclouser (Air Line Circuit Breaker) TEL. RU Patent No RU2142187, 27 November 1999. [Google Scholar]
- Fursov, A.S.; Skazko, V.A. Reclouser. RU Patent No RU102840, 10 March 2011. [Google Scholar]
- IEC/IEEE International Standard—High-Voltage Switchgear and Controlgear—Part 111: Automatic Circuit Reclosers for Alternating Current Systems Up to and Including 38 kV; The Institute of Electrical and Electronics Engineers, Inc.: New York, NY, USA, 2019; p. 134.
- Haakana, J.; Lassila, J.; Kaipia, T.; Partanen, J. Comparison of Reliability Indices From the Perspective of Network Automation Devices. IEEE Trans. Power Deliv. 2010, 25, 1547–1555. [Google Scholar] [CrossRef]
- Pálfi, J.; Tompa, M.; Holcsik, P. Analysis of the efficiency of the recloser function of lv smart switchboards. Acta Polytech. Hung. 2017, 14, 131–150. [Google Scholar]
- Bengtsson, P.; Persson, L.-A.; Oberger, K.; Hasselstrom, J. Reliability-based planning in rural areas; goals, methods, prioritization, and follow-up at Fortum distribution. In Proceedings of the IET Conference Publications, Institution of Engineering and Technology (IET), Prague, Czech Republic, 8–11 June 2009; Volume 1, p. 442. [Google Scholar]
- Ramos, C.C.O.; Rodrigues, D.; De Souza, A.N.; Papa, J.P. On the Study of Commercial Losses in Brazil: A Binary Black Hole Algorithm for Theft Characterization. IEEE Trans. Smart Grid 2016, 9, 676–683. [Google Scholar] [CrossRef] [Green Version]
- Millard, R.; Emmerton, M. Non-technical losses—How do other countries tackle the problem? In Proceedings of the 22nd AMEU Technical Convention, Pretoria, South Africa, 28 September 2009; Available online: http://www.eepublishers.co.za (accessed on 10 November 2021).
- Kabalci, E. Emerging smart metering trends and integration at MV-LV level. In Proceedings of the 2016 International Smart Grid Workshop and Certificate Program (ISGWCP), Istanbul, Turkey, 21–25 March 2016; pp. 1–9. [Google Scholar]
- Zou, K.; Keerthipala, W.W.L.; Perera, S. SAIDI minimization of a remote distribution feeder. In Proceedings of the 2007 Australasian Universities Power Engineering Conference, Perth, Australia, 9–12 December 2007; pp. 1–5. [Google Scholar]
- Heine, P.; Lehtonen, M. Voltage sag distributions caused by power system faults. IEEE Trans. Power Syst. 2003, 18, 1367–1373. [Google Scholar] [CrossRef] [Green Version]
- IEEE Guide for Electric Power Distribution Reliability Indices; IEEE: Piscataway Township, NJ, USA, 2008; pp. 1–21. [CrossRef]
- Warren, C.; Ammon, R.; Welch, G. A survey of distribution reliability measurement practices in the US. IEEE Trans. Power Deliv. 1999, 14, 250–257. [Google Scholar] [CrossRef]
- Williams, C.; McCarthy, C.; Cook, C. Predicting Reliability Improvements. IEEE Power Energy Mag. 2008, 6, 53–60. [Google Scholar] [CrossRef]
- Soudi, F.; Tomsovic, K. Optimized distribution protection using binary programming. IEEE Trans. Power Deliv. 1998, 13, 218–224. [Google Scholar] [CrossRef]
- Soudi, F.; Tomsovic, K. Optimal trade-offs in distribution protection design. IEEE Trans. Power Deliv. 2001, 16, 292–296. [Google Scholar] [CrossRef]
- Soudi, F.; Tomsovic, K. Towards optimized distribution protection design. In Proceedings of the Third International Conference on Power System Planning and Operations, Abidjan, Ivory Coast, January 1997; pp. 354–358. Available online: http://citeseerx.ist.psu.edu/viewdoc/download?doi=10.1.1.33.3302&rep=rep1&type=pdf (accessed on 10 November 2021).
- Sohn, J.-M.; Nam, S.-R.; Park, J.-K. Value-Based Radial Distribution System Reliability Optimization. IEEE Trans. Power Syst. 2006, 21, 941–947. [Google Scholar] [CrossRef]
- Da Silva, L.G.; Pereira, R.A.; Mantovani, J.R.S. Allocation of protective devices in distribution circuits using nonlinear programming models and genetic algorithms. Electr. Power Syst. Res. 2004, 69, 77–84. [Google Scholar] [CrossRef]
- Zambon, E.; Bossois, D.Z.; Garcia, B.B.; Azeredo, E.F. A Novel Nonlinear Programming Model for Distribution Protection Optimization. IEEE Trans. Power Deliv. 2009, 24, 1951–1958. [Google Scholar] [CrossRef] [Green Version]
- Dehghani, N.; Dashti, R. Optimization of Recloser Placement to Improve Reliability by Genetic Algorithm. Energy Power Eng. 2011, 3, 508–512. [Google Scholar] [CrossRef] [Green Version]
- Popović, D.; Greatbanks, J.; Begović, M.; Pregelj, A. Placement of distributed generators and reclosers for distribution network security and reliability. Int. J. Electr. Power Energy Syst. 2005, 27, 398–408. [Google Scholar] [CrossRef]
- Abedi, A.; Gaudard, L.; Romerio, F. Power flow-based approaches to assess vulnerability, reliability, and contingency of the power systems: The benefits and limitations. Reliab. Eng. Syst. Saf. 2020, 201, 106961. [Google Scholar] [CrossRef]
- Tostado-Veliz, M.; Kamel, S.; Jurado, F. Power Flow Approach Based on the S-Iteration Process. IEEE Trans. Power Syst. 2020, 35, 4148–4158. [Google Scholar] [CrossRef]
- Mahdavi, M.; Alhelou, H.H.; Hatziargyriou, N.D.; Jurado, F. Reconfiguration of Electric Power Distribution Systems: Comprehensive Review and Classification. IEEE Access 2021, 9, 118502–118527. [Google Scholar] [CrossRef]
- Carrión, D.; García, E.; Jaramillo, M.; González, J.W. A Novel Methodology for Optimal SVC Location Considering N-1 Contingencies and Reactive Power Flows Reconfiguration. Energies 2021, 14, 6652. [Google Scholar] [CrossRef]
- Bupasiri, R.; Wattanapongsakorn, N.; Hokierti, J.; Coit, D. Optimal electric power distribution system reliability indices using binary programming. In Proceedings of the Annual Reliability and Maintainability Symposium, Tampa, FL, USA, 27–30 January 2003; pp. 556–561. [Google Scholar]
- Falaghi, H.; Haghifam, M.-R.; Singh, C. Ant Colony Optimization-Based Method for Placement of Sectionalizing Switches in Distribution Networks Using a Fuzzy Multiobjective Approach. IEEE Trans. Power Deliv. 2008, 24, 268–276. [Google Scholar] [CrossRef]
- Pombo, A.V.; Pina, J.M.; Pires, V.F. A multiobjective placement of switching devices in distribution networks incorporating distributed energy resources. Electr. Power Syst. Res. 2016, 130, 34–45. [Google Scholar] [CrossRef]
- Rodrigues, E.; Leite, H.; Silva, N.; Miranda, I. Reclosers to Self-Healing schemes in distribution networks: A techno-economic assessment. In Proceedings of the 2016 IEEE International Energy Conference (ENERGYCON), Leuven, Belgium, 4–8 April 2016; pp. 1–6. [Google Scholar]
- Rodrigues, E.; Miranda, I.; Silva, N.; Leite, H. Optimal recloser deployment to leverage self-healing: A techno-economic robustness assessment. CIRED-Open Access Proc. J. 2017, 2017, 2467–2470. [Google Scholar] [CrossRef]
- Popov, N.M. Emergency Modes in 0.38 kV Networks with a Dead-Grounded Neutral; KGSKhA: Kostroma, Russia, 2005. [Google Scholar]
- Vinogradov, A.V.; Vinogradova, A.V. Improving the Reliability of Power Supply to Rural Consumers through Sectionalizing and Redundancy of 0.38 kV; Orel GAU: Orel, Russia, 2016. [Google Scholar]
- Vinogradov, A.; Vasilyev, A.N.; Dorokhov, A.; Bolshev, V.; Psaryov, A. Place Selection of Sectionalizing Units in 0.38 kV Power Networks. Int. J. Energy Optim. Eng. 2021, 10, 35–52. [Google Scholar] [CrossRef]
- Khachaturov, T. Ways of Increasing the Effectiveness of Capital Investment. Probl. Econ. 1979, 22, 3–24. [Google Scholar] [CrossRef]
- ROSSETI. Concept Digital Transformation Moscow; ROSSETI: Moscow, Russia, 2018. [Google Scholar]
- Khorolskiy, V.Y.; Taranov, M.A.; Petrov, D.V. Technical and Economic Calculations of Distribution Electric Networks; Terra Print: Rostov-on-Don, Russia, 2009. [Google Scholar]
- Vinogradov, A.; Vasiliev, A.; Bolshev, V.; Semenov, A.; Borodin, M. Time Factor for Determination of Power Supply System Efficiency of Rural Consumers. In Handbook of Research on Renewable Energy and Electric Resources for Sustainable Rural Development; Kharchenko, V., Vasant, P., Eds.; IGI Global: Hershey, PA, USA, 2018; pp. 394–420. [Google Scholar]
- Vinogradov, A.; Bolshev, V.; Vinogradova, A.; Jasiński, M.; Sikorski, T.; Leonowicz, Z.; Goňo, R.; Jasińska, E. Analysis of the Power Supply Restoration Time after Failures in Power Transmission Lines. Energies 2020, 13, 2736. [Google Scholar] [CrossRef]
- Kuzlu, M.; Pipattanasomporn, M.; Rahman, S. Communication network requirements for major smart grid applications in HAN, NAN and WAN. Comput. Netw. 2014, 67, 74–88. [Google Scholar] [CrossRef]
- Kaptsevich, O.A.; Dubovskiy, A.V.; Rabchenok, D.I. The time component of analytical model of the air traffic control dispatcher actions. Dokl. BGUIR 2019, 123, 79–86. [Google Scholar] [CrossRef]




| 48 | 220 | 2.65 | 2.96 | 3.29 | 3.72 | 4.03 | 4.43 |
| 75 | 220 | 1.69 | 1.89 | 2.11 | 2.38 | 2.58 | 2.84 |
| 96 | 220 | 1.32 | 1.48 | 1.64 | 1.86 | 2.01 | 2.21 |
| 120 | 220 | 1.06 | 1.18 | 1.32 | 1.49 | 1.61 | 1.77 |
| 150 | 220 | 0.85 | 0.95 | 1.05 | 1.19 | 1.29 | 1.41 |
| 189 | 220 | 0.67 | 0.75 | 0.83 | 0.95 | 1.02 | 1.12 |
| 240 | 220 | 0.53 | 0.59 | 0.66 | 0.74 | 0.80 | 0.88 |
| 300 | 220 | 0.42 | 0.47 | 0.52 | 0.59 | 0.64 | 0.70 |
| 375 | 220 | 0.34 | 0.38 | 0.42 | 0.47 | 0.51 | 0.56 |
| 480 | 220 | 0.26 | 0.29 | 0.33 | 0.37 | 0.40 | 0.44 |
| 600 | 220 | 0.21 | 0.23 | 0.26 | 0.29 | 0.32 | 0.35 |
| 750 | 220 | 0.17 | 0.19 | 0.21 | 0.23 | 0.25 | 0.28 |
| 960 | 220 | 0.13 | 0.14 | 0.16 | 0.18 | 0.20 | 0.22 |
| 1200 | 220 | 0.10 | 0.11 | 0.13 | 0.14 | 0.16 | 0.17 |
| 1500 | 220 | 0.08 | 0.09 | 0.10 | 0.11 | 0.12 | 0.14 |
Publisher’s Note: MDPI stays neutral with regard to jurisdictional claims in published maps and institutional affiliations. |
© 2021 by the authors. Licensee MDPI, Basel, Switzerland. This article is an open access article distributed under the terms and conditions of the Creative Commons Attribution (CC BY) license (https://creativecommons.org/licenses/by/4.0/).
Share and Cite
Vinogradova, A.; Vinogradov, A.; Bolshev, V.; Izmailov, A.; Dorokhov, A.; Bukreev, A. Allocation of 0.4 kV PTL Sectionalizing Units under Criteria of Sensitivity Limits and Power Supply Reliability. Appl. Sci. 2021, 11, 11608. https://doi.org/10.3390/app112411608
Vinogradova A, Vinogradov A, Bolshev V, Izmailov A, Dorokhov A, Bukreev A. Allocation of 0.4 kV PTL Sectionalizing Units under Criteria of Sensitivity Limits and Power Supply Reliability. Applied Sciences. 2021; 11(24):11608. https://doi.org/10.3390/app112411608
Chicago/Turabian StyleVinogradova, Alina, Alexander Vinogradov, Vadim Bolshev, Andrey Izmailov, Alexey Dorokhov, and Alexey Bukreev. 2021. "Allocation of 0.4 kV PTL Sectionalizing Units under Criteria of Sensitivity Limits and Power Supply Reliability" Applied Sciences 11, no. 24: 11608. https://doi.org/10.3390/app112411608
APA StyleVinogradova, A., Vinogradov, A., Bolshev, V., Izmailov, A., Dorokhov, A., & Bukreev, A. (2021). Allocation of 0.4 kV PTL Sectionalizing Units under Criteria of Sensitivity Limits and Power Supply Reliability. Applied Sciences, 11(24), 11608. https://doi.org/10.3390/app112411608

