Abstract
The alkaline fractionation of rice husk (RH) with NaOH was optimized for the purpose of obtaining a high-yield recovery of glucan and increasing the removal rate for lignin and ash, resulting in a hemicellulose-rich hydrolysate. The determined optimal conditions were a temperature of 150 °C, reaction time of 45 min, and NaOH concentration of 6% (w/v). The glucan content in the fractionated RH (Fr. RH) was 80.1%, which was significantly increased compared to the raw RH (35.6%). High glucan content in the fractionated solid residue is the most essential factor for minimizing enzyme dosages in enzymatic saccharification. The final enzymatic digestibilities (at 96 h) of raw and NaOH-Fr. RH with cellulase loadings of 30 FPU/g cellulose were 10.5% and 81.3%, respectively. Approximately 71.6% of the xmg content (mainly xylose) was concomitantly degraded into the fractionated hydrolysate (Fr. Hydrolysate). When this hydrolysate was acidified with sulfuric acid and subjected to heat treatment, a furfural production yield of about 64.9% was obtained. The results show that two-stage fed-batch fermentation with glucan-rich Fr. RH has the potential to achieve high-ethanol titers of 28.7 g/L.
1. Introduction
The increasing severity of environmental problems and global climate change due to excessive fossil fuel consumption has led to a new era in which the urgent need for a structural change in global energy strategy is recognized. That is, the global energy structure is changing, with a focus on limiting fossil energy consumption and developing new and renewable energy sources removed. Among them, cellulosic ethanol, which can be produced from the prevalent biomass, is considered the best alternative. Lignocellulosic biomass can be supplied at an affordable price through a variety of biological resources. These can be classified as forest resources, municipal solid waste, agricultural residues, marine resources, etc., depending on where they are produced. Although lignocellulosic biomass varies somewhat depending on its type, it contains 60–80% polysaccharides (cellulose and hemicellulose), which can be hydrolyzed to produce fermentable sugars such as glucose and xylose. Fermentable sugars can also be used as raw materials for bio-based products in biorefineries to replace petrochemicals [1]. Among the various biomass sources mentioned above, agricultural residues, which are generated in abundance every year, comprise raw biomass that is of particular interest in the era of biorefinery industrialization [2].
Among the many types of agricultural biomass, rice husk (RH) has received attention from many researchers as a promising energy resource. The reason is that rice, as a major food in Southeast Asia and elsewhere, is one of the most cultivated crops in the world, and RH, which is produced in proportion to rice production, accounts for about 20% w/w of rice. In addition, although RH is the world’s most predominant agricultural by-product, its nutrient content is very low, making it unsuitable for animal feed or plant compost, so its utilization value is very low [3,4,5]. Notably, the constituents of RH include a large amount of ash, consisting mainly of silica, and lignin, thus imparting it with high resistance to biological and thermochemical fractionation.
In order to effectively utilize RH, its structure must be destroyed through the disruption of inter- and intramolecular bonds, allowing RH components to be easily fractionated [6]. For this purpose, various pretreatment processes for RH have been reported: alkalis and acids [7,8], dilute acid [9], dilute alkali [6,10], alkaline peroxide [11], ionic liquid [12], etc. Although attempts have been made to fractionate the components of RH using various catalytic solvents, there is a high preference for alkaline fractionation, which has been suggested to substantially increase the susceptibility of RH to enzymatic hydrolysis [13,14]. These reports are also in good agreement with our previous findings, which demonstrated that, in the case of barley straw, a low-acid-catalyzed hydrothermal (LAH) pretreatment was able to obtain a fairly high fractionation efficacy, but an alkali fractionation was required for rice straw [15]. The greater need for alkaline pretreatment of RH compared to other biomass sources is thought to be due to the high ash content (mainly silica) in RHs, so silica must be dissolved in advance in the form of silicate for an effective fractionation process. In addition, alkaline fractionation is an effective delignification process that can produce cellulose-rich solid biomass while minimizing the loss of carbohydrates and thus the generation of decomposition products [16]. Fractionation with alkali causes the biomass to swell, which increases the surface area accessible to enzymes, and hemicellulose and amorphous cellulose are solubilized by cleaving the lignin–carbohydrate complex. Hemicellulose consists mainly of pentosan, which is highly reactive and can be degraded into monomeric sugars under acidified reaction conditions [17]. Pentose (mainly xylose) can be further dehydrated to furfural, which is considered an important bio-based platform chemical and is a precursor to furfuryl alcohol, tetrahydrofuran, furic acid, etc. [18]. Furfural is usually produced by the harsher acid-catalyzed dehydration conversion of a pentose, which is obtained through the acid hydrolysis of biomass [19].
Most research has been devoted to converting carbohydrates in biomass into fermentable sugars and converting them into bioethanol. However, the pentose in hemicellulose is not a good source for bioethanol production, and it may be more suitable for other bio-based chemicals with higher added value. Several studies have discussed the possibility of converting hemicellulosic sugars to other products, such as furfural, as a way to achieve overall economic viability by obtaining additional value in second-generation biofuel production from biomass [20,21,22].
In this study, RH was selected as a resource for bioethanol production, as it is one of the most abundant sources of biomass and is generated as a by-product after harvesting rice. The alkaline fractionation of RH, followed by simultaneous saccharification and fermentation (SSF), was investigated. In addition, the pentosan in fractionated hydrolysate (Fr. Hydrolysate) was converted into a value-added product, furfural, to explore its valorization. Although individual production processes are well established, few available studies report comprehensive uses of RH that are economically feasible.
2. Materials and Methods
2.1. Feedstock Preparation
The RH used in this experiment was purchased from a local rice-processing complex (RPC) in Gimpo, Korea. The RH was a by-product of rice harvested in 2017. Prior to the experiment, RH was ground and screened using a laboratory blender (Blender 7012s, Waring Commercial, CT, USA) and a US standard sieve to obtain samples of uniform particle size (1.40–2.36 mm). Fine RH was dried for 48 h at 45 ± 5 °C using a convection drying oven (FC-PO-1500, Lab House, Korea) and stored in an automatic dehumidification desiccator. The moisture content of the RH was 5.2% based on its oven-dried weight.
2.2. Structural and Compositional Analysis of RH
The surface features of RH were observed. SEM-EDX (FE-SEM; field-emission scanning electron microscope, HITACHI S-4800/Horiba EX-250, Japan) was used to study the distribution of silica in raw RH. The compositional constituents of the raw and Fr. RH were subjected to a two-stage acid hydrolysis process, which is an analytical procedure standardized by the National Renewable Energy Research Laboratory, USA, NREL/TP-510-42618 (structural carbohydrates and lignin) [23]. Glucose and hemicellulosic sugars (xmg: xylose + mannose + galactose) in the Fr. hydrolysate were analyzed by high-performance liquid chromatography (HPLC; LC-10A, Shimadzu Inc., Kyoto, Japan) with an RI detector (RID-10A, Shimadzu Inc., Kyoto, Japan) according to the NREL/TP-510-42623 (sugars in the liquid fraction) [24]. The analytical column used was an Aminex HPX-87H (300 mm × 7.8 mm) (Bio-Rad Lab. Inc., Herclues, CA, USA). The operating conditions for the HPLC column were 65 °C and a mobile-phase (sulfuric acid) flow rate of 0.6 mL/min. Hemicellulose is denoted by XMG (capitalized), which refers to the sum of three oligomeric sugars (xylan, mannan, and galactan), while fractionated hemicellulosic sugars are denoted by xmg (uncapitalized), which represents the sum of the hydrolyzed sugars (xylose, mannose, and galactose). The extractives in raw RH were analyzed using a two-step extraction process to remove water soluble and ethanol soluble materials in biomass according to the NREL/TP-510-42619 (Determination of Extractives in Biomass) [25]. Structural ash is inorganic material that is bound in the physical structure of the biomass was also analyzed according to the NREL/TP-510-42622 (Determination of Ash in Biomass) [26].
2.3. Experimental Setup and Operation of Bench-Scale Fractionation
A bomb-tubular reactor was used to optimize the laboratory-scale alkaline fractionation of RH, which had an inner diameter of 10.7 mm and length of 150 mm; thus, the internal volume was 13.5 mL. All the reactors used in the experiment were made of stainless steel (SS-316L) to minimize the corrosion of the reactor and over-decomposition of products. The bomb-tubular reactor system (Figure 1) consisted of a control box, a reaction bath (molten salt bath and silicon oil bath), and a cooling bath (water bath).
Figure 1.
Schematic diagram of the bomb-tubular reactor system: (1) timer and counter; (2) control box; (3) voltmeter; (4) ammeter; (5) thermo-controller; (6) temperature indicator; (7) molten salt bath; (8) silicon oil bath; (9) cooling bath; (10) batch reactor; (11) electric motor; (12) main switch.
A total of 0.5 g of raw RH was put into the reactor, and an alkaline solution prepared in advance according to the experimental design was added to obtain a solid-to-liquid ratio of 1:10. In order to raise the temperature of the reactor to the target temperature within 1.0 min, the reactor was first preheated by immersion in a heating bath (molten salt) set at 240 °C. When the reactor reached the targeted temperature, it was quickly transferred to a second bath (silicone oil) set at the target reaction temperature. After the reaction was carried out for the designated time, it was quickly terminated by quenching the reactor in a cooling water bath. The dried solids were measured for weight loss and subjected to composition analysis. Each experiment was performed in triplicate.
In order to obtain a large amount of Fr. RH for simultaneous saccharification and fermentation (SSF) to produce bioethanol, a bench-scale (30 L) horizontal rolling reactor was used, and in order to improve the mixing efficiency, alumina balls were put into the reactor to facilitate the mixing of the solid and the liquid. The horizontal rolling reactor was designed to operate at a pressure of 20 kgf·cm−2 and a temperature of 200 °C at 60 rpm (Sugaren Co. Ltd., Yongin, Korea). A total of 370 g of raw RH and 11 kg of alumina balls (Ø = 10 mm) were added to the reactor with 3.7 L of 6 wt.% NaOH solution (1:10:30 (w/v/w) for biomass, solvent, and ball, respectively). The horizontal rolling reactor was maintained at 150 °C for 45 min and rotated at 60 rpm. After fractionation, it was cooled to 80 °C, and the mixture was separated into residual solid, Fr. hydrolysate, and alumina balls. The fractionated residual solid RH was washed with distilled water and stored until use in SSF for bioethanol production. [27,28].
2.4. Production of Furfural from Hemicellulose-Rich Hydrolysate
This liquid sample, which contained a large amount of hemicellulose (XMG), was subjected to acidification by adding 72% sulfuric acid for a final sulfuric acid concentration of 4.0 wt.%. The furfural production experiments were performed using a 50 mL bomb-tubular reactor [29,30]. Acidified liquid samples were subjected to heat treatments at 150, 180, and 210 °C for 180 min using a 50 mL reactor. In each experiment, 20.0 mL of Fr. hydrolysate was loaded into the reactor. After the predetermined reaction time had elapsed, the reactor was immediately transferred to ice water and quenched to stop the reaction. By analyzing the reacted liquid product according to the aforementioned NREL-LAP [24], xmg and furfural concentrations in the product were quantified. All experiments were replicated at least three times.
2.5. Evaluation of Alkaline Fractionation with Enzymatic Digestibility
The enzymatic digestibility tests of raw and Fr. RH were performed according to the procedures specified in NREL Technical Report 510-42629 [31]. The tests were performed under the following conditions: 50 °C, 120 rpm, and pH 4.8 in a shaking incubator (Vision Scientific Co., Bucheon, Korea). Enzyme loadings were 15 FPU/g glucan of the commercial cellulase enzyme Cellic CTec2 (Novozymes, A/S Bagsvaerd, Denmark). Cellic CTec2 (Novozymes, A/S Bagsvaerd, Denmark) was loaded on the basis of 15 FPU/g glucan. The initial glucan concentration was 1.0% (w/v), and the pH was adjusted to 4.8 using 0.1 M sodium citrate buffer. Sodium azide (1.0 mL, 20 mg/mL) was added to prevent microbial contamination. The enzymatic hydrolysate was collected at appropriate time intervals (3, 6, 12, 24, 48, 72, 96 h), and the total glucose released after 96 h of digestion was used to calculate the enzymatic digestibility.
2.6. Two-Stage Fed-Batch SSF with Glucan-Rich Solid Residues
Two-stage fed-batch simultaneous saccharification and fermentation of Fr. RH was performed to achieve higher ethanol titers and productivity. For the SSF, the aforementioned cellulase with 30 FPU/g glucan enzyme loadings and the YP medium (20 g/L yeast extract, 10 g/L peptone) in citrate buffer solution (pH 4.8) was used. An S. cerevisiae strain (DK 410362) with thermotolerance, which was collected and isolated from a sewage treatment plant near the laboratory, was used to perform the simultaneous saccharification fermentation process for bioethanol production. The pre-cultured S. cerevisiae (DK 410362) was added to a 1 L Erlenmeyer flask, into which 24 g of Fr. RH was loaded, which was adjusted to 6.0 wt.% initial water-insoluble solid (WIS) based on 400 mL of liquid and solid and then autoclaved at 121 °C for 20 min at a cell inoculum loading of 10% (v/v). For the second stage of SSF, the second solid substrate (Fr. RH), which had been autoclaved and stored in the refrigerator, was loaded with an initial solid loading of 6.0 wt.% when the ethanol production rate slowed down, thereby continuing the SSF reaction.
3. Results and Discussions
3.1. Chemical Compositions of RH Based on Oven-Dry Biomass
Compositional analysis was determined prior to fractionation. The chemical compositions of RH are summarized in Table 1. The components are reported as average percentages with standard deviations based on the analysis of solids by oven-dry weight. Total carbohydrate and lignin contents were 50.9% and 23.4%, respectively. The summing up of each constituent, that is, the mass closure of 99.6% was obtained. The compositional analysis was established from ten independent experiments performed. The error values were represented as standard deviations.
Table 1.
Chemical composition of rice husk.
3.2. Structural Characteristics and Elemental Analysis of Raw RH
The morphological characteristics of the inner and outer surfaces of raw RH are shown in Figure 2. The inner surface of RH has a flattened and smooth structure that looks rigid, so it would be difficult for the catalysts or enzymes to penetrate the structure (Figure 2a,b), while the outer surface has a regular linear ridge structure (Figure 2c,d). It can be seen that RH has the unique features of a ridged outer surface, which is rich in silica. The surface features of RH described here are consistent with previous observations by other researchers [32,33]. As shown in Table 2, silica was predominantly located at the tips and shoulders of the ridges and was present in lower amounts in other regions of RH. The high silica content on the outer surface provides strength and stiffness to the husk. Because the unique surface characteristics of RH and contents with a large amount of silica are known to have a significant adverse influence on the performance of enzymatic hydrolysis, a special strategy is required for the effective fractionation of RH. That is, swelling must be realized using an alkaline solution so that the catalyst can easily penetrate the internal structure of the RH, and a catalyst containing sodium ions should react with the silica in RH to form water-soluble sodium silicate, which can be dissolved and released into Fr. hydrolysate [34,35].
Figure 2.
SEM images of inner and outer surfaces of rice husk. (a) Inner surface (100× magnification), (b) inner surface (500×), (c) outer surface (100×), (d) outer surface (500×).
Table 2.
Elemental weights and atomic percentages of the inner and outer surfaces from EDX spectra of rice husk.
3.3. Alkaline Fractionation for High Glucan Content and XMG Yield
In our previous study on the NaOH fractionation of RH, the highest xmg extraction yield was obtained at a reaction temperature of 148.1 °C, reaction time of 27.0, and NaOH concentration of 5.9%, whereas the maximum de-ashing yield was achieved at a reaction temperature of 142.8 °C, reaction time of 60.6 min, and NaOH concentration of 4.9%, which were predicted by statistical analysis and simulation. For the delignification of RH, alkaline fractionation was performed with aqueous NaOH, which breaks the ester bond between lignin and hemicellulose, thereby increasing the porosity in the internal structure of RH. In addition, NaOH reacts with silica in RH to form sodium silicate, so the silica components are also dissolved and released. That is, it is possible to obtain the desired outcomes of delignification and de-ashing [36].
The alkaline fractionation results, which are represented by the percentage changes in the glucan, XMG, ash, and lignin contents of Fr. RH, are presented in Figure 3. These changes represent the relative changes in compositional content due to solubilization under different conditions of RH fractionation. Figure 3 shows the profiles of changes in glucan, XMG, lignin, and ash content of Fr. RH according to the changes in the reaction temperature and time at a NaOH concentration of 6.0 wt.%. The efficacies of fractionation processes are defined as the compositional change in delignified and de-ashed RH over the complete composition of raw RH. The lignin contents in the residual RH after NaOH fractionation ranged from 28.9% (130 °C and 20 min) to 13.5% (170 °C and 60 min), and the XMG content of the Fr. RH ranged from 4.3% (170 °C and 60 min) to 22.7% (130 °C and 20 min). As shown in Figure 3a, the glucan content increased to some extent and remained constant at 150 °C, while the other components gradually decreased as time increased, which confirms that cellulose is highly resistant to solubilization during the alkaline delignification process. On the other hand, the glucan content in the higher-temperature region in Figure 3b,c peaked at 77.4% (at 150 °C) and 65.5% (at 170 °C) after a fractionation time of 40 min, and the yield decreased as fractionation time increased. This indicates that some glucans were solubilized due to harsher reaction conditions and longer reaction times. It was also confirmed that almost no ash remained in the residual RH and Fr. RH under harsher fractionation conditions. However, the alkaline fractionation performance could not be clearly evaluated with the apparent compositional changes in the Fr. RH, although different fractionation processes at various operational conditions were inferred to have resulted in different amounts of residual solids.
Figure 3.
Percentage changes in compositional contents of residual solids (below) and concentration profiles of products in liquid hydrolysates (above) after alkaline fractionation of RH with 6 wt.% NaOH: (a) 130 °C, (b) 150 °C, (c) 170 °C.
In addition, Figure 3 also shows the compositional changes in Fr. hydrolysate as a function of fractionation time in the temperature range 150 to 170 °C. The xmg obtained through alkaline fractionation at 130 °C increased linearly as time increased, reaching a maximum of 7.7 g/L xmg with a reaction time of 60 min (Figure 3a). However, at 150 °C, 10.3 g/L xmg, which was the peak for a reaction time of 30 min, was degraded from XMG and gradually decreased as the reaction continued; this decrease was steeper at 170 °C. It was confirmed that 9.9 g/L xmg was obtained with a reaction time of 30 min, and xmg recovery decreased to 5.3 g/L with a reaction time of 60 min (Figure 3b,c). Throughout the alkaline fractionation, a very low concentration (2 g/L or less) of glucose was released, indicating that glucan is not easily degraded by NaOH, which is the main cause of sugar loss in Fr. RH and reduced selectivity in Fr. hydrolysates. By-products other than formic acid and acetic acid, i.e., 5-HMF and furfural, which are well-known decomposition products of the acid fractionation process, were barely detectable. This is in contradiction to the LAH fractionation results for other biomass sources tested in our laboratory [15,37]. Insignificant amounts of 5-HMF and furfural were detected in the hydrolysate after fractionation, suggesting that a small amount of glucose was released, and the XMG degradation products were present in the form of oligomers rather than monomeric sugars in the Fr. hydrolysate.
3.4. Bench-Scaled Alkaline Fractionation of RH at Optimized Conditions
Changes in the composition of RH after bench-scaled fractionation are summarized in Table 3. The percentage of solids remaining after the alkaline fractionation was 34.1%, and the glucan content was 80.1%, which corresponded to an increase of 225% based on oven-dried RH. Cellulose was rarely hydrolyzed during the fractionation, whereas XMG and lignin were extracted from raw RH at 69.1% and 81.9%, respectively. At the same time, 0.5% of glucan and 1.1% of XMG were found in the Fr. hydrolysate, corresponding to an extraction mass balance of 78.1% for glucan and 38.9% for XMG, respectively, whereas 69.1% and 81.9% of XMG and lignin, respectively, were fractionated from the raw RH. At the same time, 0.5% of glucan and 1.1% of XMG were found in the Fr. hydrolysate, which corresponded to an extraction mass balance of 78.1% for glucan and 38.9% for XMG, respectively.
Table 3.
Chemical composition of raw rice husk (RH) and NaOH-fractionated RH based on oven-dry biomass.
This was attributed to the fact that glucan and XMG fractionated from raw RH existed in the form of oligomers, such as cello-oligomers and xylo-oligomers (unquantified oligomers), not monomeric forms such as glucose and xylose. However, low amounts of decomposed products were found in the Fr. hydrolysate despite the dissolution of approximately 70% of XMG, indicating that the Fr. hydrolysate is rich in XMG and can be effectively used for other processes that use xylose as a raw material [38].
3.5. Furfural Production from Acidified RH Hydrolysate
Furfural is a major derivative of xylose that can be used in a wide range of industrial applications as a platform chemical or as a raw material in plastics, pharmaceuticals, etc. The pentose polymer (mainly xylan) extracted from hemicellulose is acid-hydrolyzed to xylose, which is then converted to furfural by dehydration [21]. In this study, the Fr. hydrolysate obtained from the alkaline fractionation at optimized conditions (maximizing xylose concentration and recovery) was also subjected to acidification with sulfuric acid adjusted to an acid concentration of 4%, and heat treatments were performed for furfural production. The variations in xmg production, its consumption, and furfural production at different temperatures as a function of reaction time are presented in Figure 4. At a reaction temperature of 150 °C, prior to reaching the reaction time of 60 min, xmg accumulated up to 1.28 g/L due to the hydrolysis of XMG in the Fr. hydrolysate and showed a tendency toward gradual consumption. However, furfural started to accumulate at the beginning of the reaction and increased to 2.05 g/L until about 120 min, but it decreased slightly to 1.89 g/L at 180 min. At this time, considering that the furfural stoichiometric coefficient is 0.64, it can be deduced that more than 3.20 g/L xmg was produced and consumed (Figure 4a).
Figure 4.
Furfural production and xmg generation and consumption in acidified RH hydrolysates as a function of time: (a) 150 °C, (b) 180 °C, (c) 210 °C.
At higher reaction temperatures (180 and 210 °C), these trends of xmg and furfural production and consumption proceeded more rapidly. In the heat treatment at 180 °C (Figure 4b), the highest concentration of xmg was 0.88 g/L at 10 min, and it decreased sharply and remained at a very low concentration after reaching 60 min. Correspondingly, furfural also peaked at 1.86 g/L at 30 min and gradually decreased until the end of the reaction, with a final concentration of 0.89 g/L.
Under harsher reaction conditions (210 °C), little xmg was generated throughout the heat treatment. The furfural concentration was 1.46 g/L at 10 min and then decreased dramatically to a low concentration (Figure 4c). The results above confirm that the conversion rate to furfural was much faster than that of xylose in the high-temperature heat treatment. In addition, the rapid decrease in the furfural concentration after the peak indicates that more furfural is consumed as the reaction intensity increases, which has been shown to be due to side reactions such as condensation, cleavage, isomerization, and resinization [39].
3.6. Enzymatic Digestibility of Fr. RH
To evaluate the effect of alkaline fractionation on cellulose accessibility, enzymatic digestibility was compared between raw RH and RH after fractionation. Enzymatic digestibility testing was performed on the fractionated residual solids that had undergone alkaline fractionation with 6 wt.% NaOH at 150 °C for 45 min in the horizontal rolling reactor (Figure 5).
Figure 5.
Ninety-six-hour enzymatic digestibility of alkaline-fractionated RH with cellulase loadings of 15 FPU/g glucan. All data are the means of triplicates.
Raw RH was also subjected to the same test as the control. The final enzymatic digestibility (at 96 h) values of raw and alkaline Fr. RH were 10.5% and 81.3%, respectively. For the Fr. RH, an approximately 7-fold improvement in glucan digestibility was obtained compared to that of raw RH. It is postulated that the significant removal of lignin, hemicellulose, and ash, which significantly hinder enzymatic hydrolysis by reducing the enzyme’s accessibility to cellulose, facilitates digestibility.
3.7. Fed-Batch Simultaneous Saccharification and Fermentation with Fr. RH
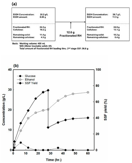
RH fractionated with 6 wt.% NaOH at 150 °C for 45 min in the bench-scaled (30 L) horizontal rolling reactor was subjected to SSF. The initial solid loading in the first stage of SSF was 6% (w/v) water-insoluble solid (WIS). As shown in Figure 6a, 24.0 g of Fr. RH, which contained 19.2 g of glucan, was loaded into the YP medium (20 g/L yeast extract, 10 g/L peptone) in citrate buffer solution (pH 4.8) adjusted to a total volume of 400 mL. After the first SSF, when the rate of ethanol production no longer increased, 11.4 g of solids remained unconverted; therefore, 12.6 g of Fr. RH was added at the beginning of the second stage of SSF and adjusted to 6% WIS.
Figure 6.
Bioethanol production from the alkaline fractionation of RH using a two-stage fed-batch SSF: (a) a strategy for solid addition (top); (b) time courses of bioethanol production and glucose consumption (bottom).
Figure 6b presents the glucose and ethanol concentration profiles and ethanol yield from Fr. RH during the two-stage fed-batch SSF. When the fed-batch SSF started, the glucose level increased within the first 5 h and then quickly dropped until the second WIS loading. Therefore, it is difficult to achieve high bioethanol production in a batch-type process because it is subjected to glucose-limiting conditions. In the first stage, the ethanol production almost reached a maximum at 28 h, and its yield and concentration were 74.3% and 20.2 g/L, respectively. However, in the second SSF, the ethanol production rate was moderate and was only 8.5 g/L at 32 h. That is, 28.7 g/L of ethanol was obtained with a total of 60 h of SSF. In the second stage of SSF, the ethanol yield was only 40.1%, which was relatively low because the amount of substrate was increased. The decrease in the ethanol yield was primarily attributed to a high solid loading; i.e., in a conventional bioreactor, high viscosity may prevent efficient mixing, and the reaction rate may be affected by a lack of water or uniform mixing [40].
4. Conclusions
Generating furfural as a new value-added product from second-generation biofuel production is essential to building an economically viable biorefinery system. This could be a profitable process with potential for integration into a conventional biorefinery system, thereby generating value from hemicellulose, which is underutilized for biofuel production. NaOH-catalyzed alkaline fractionation removed lignin, hemicellulose, and ash from RH and improved enzymatic digestibility. Fr. RH was effectively converted into bioethanol through fed-batch SSF. The two-stage fed-batch SSF demonstrated the potential to produce a high ethanol concentration of 28.7 g/L. Approximately 70% of XMG (mainly xylan) was concomitantly degraded into Fr. hydrolysate, which was used for the production of furfural through acidified heat treatment. Consequently, 226 g of fermentable sugar and 63 g of furfural were obtained from 1 kg of RH.
Author Contributions
Conceptualization, H.J.J. and K.K.O.; methodology, H.J.J.; validation, H.J.J.; formal analysis, H.J.J. and K.K.O.; investigation, H.J.J.; resources, K.K.O.; data curation, H.J.J. and K.K.O.; writing—original draft preparation, H.J.J.; writing—review and editing, K.K.O.; visualization, H.J.J. and K.K.O.; supervision, K.K.O.; project administration, K.K.O. Both authors have read and agreed to the published version of the manuscript.
Funding
This work was supported by the R&D program of the Korea Institute of Energy Technology Evaluation and Planning (KETEP) grant funded by the Ministry of Trade, Industry, and Energy (MOTIE), the Republic of Korea (No. 20183030091950).
Institutional Review Board Statement
Not applicable.
Informed Consent Statement
Not applicable.
Conflicts of Interest
The authors declare no conflict of interest.
References
- John, R.P.; Nampoothiri, K.M.; Pandey, A. Fermentative production of lactic acid from biomass: An overview on process developments and future perspectives. Appl. Microbiol. Biotechnol. 2007, 74, 524–534. [Google Scholar] [CrossRef]
- Salanti, A.; Zoia, L.; Orlandi, M.; Zanini, F.; Elegir, G. Structural characterization and antioxidant activity evaluation of lignins from rice husk. J. Agric. Food Chem. 2010, 58, 10049–10055. [Google Scholar] [CrossRef]
- Dizaji, H.B.; Zeng, T.; Hartmann, I.; Enke, D.; Schliermann, T.; Lenz, V.; Bidabadi, M. Generation of high quality biogenic silica by combustion of rice husk and rice straw combined with pre- and post-treatment strategies—A review. Appl. Sci. 2019, 9, 1083. [Google Scholar] [CrossRef] [Green Version]
- Werther, J.; Saenger, M.; Hartge, E.U.; Ogada, T.; Siagi, Z. Combustion of agricultural residues. Prog. Energy Combust. Sci. 2000, 26, 1–27. [Google Scholar] [CrossRef]
- Lee, T.; Othman, R.; Yeoh, F.Y. Development of photoluminescent glass derived from rice husk. Biomass Bioenergy 2013, 1–13. [Google Scholar] [CrossRef]
- Lau, B.B.; Yeung, T.; Patterson, R.J.; Aldous, L. A cation study on rice husk biomass pretreatment with aqueous hydroxides: Cellulose solubility does not correlate with improved enzymatic hydrolysis. ACS Sustain. Chem. Eng. 2017, 5, 5320–5329. [Google Scholar] [CrossRef] [Green Version]
- Ang, T.N.; Ngoh, G.C.; Chua, A.S.M. Comparative study of various pretreatment reagents on rice husk and structural changes assessment of the optimized pretreated rice husk. Bioresour. Technol. 2013, 135, 116–119. [Google Scholar] [CrossRef]
- Kim, S.B.; Lee, S.J.; Lee, J.H.; Jung, Y.R.; Thapa, L.P.; Kim, J.S.; Um, Y.; Park, C.; Kim, S.W. Pretreatment of rice straw with combined process using dilute sulfuric acid and aqueous ammonia. Biotechnol. Biofuels 2013, 6, 109–119. [Google Scholar] [CrossRef] [Green Version]
- Dagnino, E.P.; Chamorro, E.R.; Romano, S.D.; Felissia, F.E.; Area, M.C. Optimization of the acid pretreatment of rice hulls to obtain fermentable sugars for bioethanol production. Ind. Crop. Prod. 2013, 42, 363–368. [Google Scholar] [CrossRef]
- Johar, N.; Ahmad, I.; Dufresne, A. Extraction, preparation and characterization of cellulose fibres and nanocrystals from rice husk. Ind. Crops Prod. 2012, 37, 93–99. [Google Scholar] [CrossRef]
- Banerjee, G.; Car, S.; Scott-Craig, J.S.; Hodge, D.B.; Walton, J.D. Alkaline peroxide pretreatment of corn stover: Effects of biomass, peroxide, and enzyme loading and composition on yields of glucose and xylose. Biotechnol. Biofuels 2011, 4, 16–30. [Google Scholar] [CrossRef] [Green Version]
- Ang, T.N.; Ngoh, G.C.; Chua, A.S.M.; Lee, M.G. Elucidation of the effect of ionic liquid pretreatment on rice husk via structural analyses. Biotechnol. Biofuels 2012, 5, 67–76. [Google Scholar] [CrossRef] [Green Version]
- He, Y.; Pang, Y.; Liu, Y.; Li, X.; Wang, K. Physicochemical characterization of rice straw pretreated with sodium hydroxide in the solid state for enhancing biogas production. Energy Fuels 2008, 22, 2775–2781. [Google Scholar] [CrossRef]
- McIntosh, S.; Vancov, T. Optimisation of dilute alkaline pretreatment for enzymatic saccharification of wheat straw. Biomass Bioenergy 2011, 35, 3094–3103. [Google Scholar] [CrossRef]
- Lee, J.Y.; Ryu, H.J.; Oh, K.K. Acid-catalyzed hydrothermal severity on the fractionation of agricultural residues for xylose-rich hydrolyzates. Bioresour. Technol. 2013, 132, 84–90. [Google Scholar] [CrossRef]
- Sindhu, R.; Kuttiraja, M.; Binod, P.; Sukumaran, R.K.; Pandey, A. Physicochemical characterization of alkali pretreated sugarcane tops and optimization of enzymatic saccharification using response surface methodology. Renew. Energy 2014, 62, 362–368. [Google Scholar] [CrossRef]
- Spiridon, I.; Popa, V.I. Hemicelluloses: Major sources, properties and applications. In Monomers, Polymers and Composites from Renewable Resources, 1st ed.; Belgacem, M.N., Gandini, A., Eds.; Elsevier: Boston, MA, USA, 2008; pp. 289–304. [Google Scholar]
- Mandalika, A.; Runge, T. Enabling integrated biorefineries through high-yield conversion of fractionated pentosans into furfural. Green Chem. 2012, 14, 3175–3184. [Google Scholar] [CrossRef]
- Avci, A.; Saha, B.; Kennedy, G.; Cotta, M. High temperature dilute phosphoric acid pretreatment of corn stover for furfural and ethanol production. Ind. Crop. Prod. 2013, 50, 478–484. [Google Scholar] [CrossRef]
- Wang, W.; Li, H.; Ren, J.; Sun, R.; Zheng, J.; Sun, G.; Liu, S. An efficient process for dehydration of xylose to furfural catalyzed by inorganic salts in water/dimethyl sulfoxide system. Chin. J. Catal. 2014, 35, 741–747. [Google Scholar] [CrossRef]
- Zhang, L.; Yu, H.; Wang, P.; Li, Y. Production of furfural from xylose, xylan and corncob in gamma-valerolactone using FeCl3•6H2O as catalyst. Bioresour. Technol. 2014, 151, 355–360. [Google Scholar] [CrossRef]
- Ambalkar, V.U.; Talib, M.I. Synthesis of Furfural from Lignocellulosic Biomass as Agricultural Residues: A Review. Int. J. Eng. Sci. 2012, 1, 30–36. [Google Scholar]
- Sluiter, A.; Hames, B.; Ruiz, R.; Scarlata, C.; Sluiter, J.; Templeton, D.; Crocker, D. Determination of Structural Carbohydrates and Lignin in Biomass; National Renewable Energy Laboratory: Golden, CO, USA, 2011; NREL/TP-510-42618. [Google Scholar]
- Sluiter, A.; Hames, B.; Ruiz, R.; Scarlata, C.; Sluiter, J.; Tmpleton, D. Determination of Sugars, Byproducts and Degradation Products in Liquid Fraction Process Samples; National Renewable Energy Laboratory: Golden, CO, USA, 2008; NREL/TP-510-42623. [Google Scholar]
- Sluiter, A.; Hames, B.; Ruiz, R.; Scarlata, C.; Sluiter, J.; Templeton, D. Determination of Extractives in Biomass; National Renewable Energy Laboratory: Golden, CO, USA, 2008; NREL/TP-510-42619. [Google Scholar]
- Sluiter, A.; Hames, B.; Ruiz, R.; Scarlata, C.; Sluiter, J.; Templeton, D. Determination of Ash in Biomass; National Renewable Energy Laboratory: Golden, CO, USA, 2008; NREL/TP-510-42622. [Google Scholar]
- Kim, S.J.; Um, B.H.; Im, D.J.; Lee, J.H.; Oh, K.K. Combined ball milling and ethanol organosolv pretreatment to improve the enzymatic digestibility of three types of herbaceous biomass. Energies 2018, 11, 2457. [Google Scholar] [CrossRef] [Green Version]
- Kim, T.H.; Kwak, H.; Kim, T.H.; Oh, K.K. Extraction behaviors of lignin and hemicellulose-derived sugars during organosolv fractionation of agricultural residues using a bench-scale ball milling reactor. Energies 2020, 13, 352. [Google Scholar] [CrossRef] [Green Version]
- Kim, T.H.; Jeon, Y.J.; Oh, K.K.; Kim, T.H. Production of furfural and cellulose from barley straw using acidified zinc chloride. Korean J. Chem. Eng. 2013, 30, 1339–1346. [Google Scholar] [CrossRef]
- Kim, T.H.; Oh, K.K.; Ryu, H.J.; Lee, K.H.; Kim, T.H. Hydrolysis of hemicellulose from barley straw and enhanced enzymatic saccharification of cellulose using acidified zinc chloride. Renew. Energy 2014, 65, 56–63. [Google Scholar] [CrossRef]
- Selig, M.; Weiss, N.; Ji, Y. Enzymatic Saccharification of Lignocellulosic Biomass; National Renewable Energy Laboratory: Golden, CO, USA, 2008; NREL/TP-510-42629. [Google Scholar]
- Boonsuk, P.; Sukolrat, A.; Bourkaew, S.; Kaewtatip, K.; Chantarak, S.; Kelarakis, A.; Chaibundit, C. Structure-properties relationships in alkaline treated rice husk reinforced thermoplastic cassava starch biocomposites. Int. J. Biol. Macromol. 2021, 167, 130–140. [Google Scholar] [CrossRef]
- Park, B.D.; Wi, S.G.; Lee, K.H.; Singh, A.P.; Yoon, T.H.; Kim, Y.S. Characterization of anatomical features and silica distribution in rice husk using microscopic and micro-analytical techniques. Biomass Bioenergy 2003, 25, 319–327. [Google Scholar] [CrossRef]
- Krishnarao, R.; Godkhindi, V. Distribution of silica in rice husks and its effect on the formation of silicon carbide. Ceram. Int. 1992, 18, 243–249. [Google Scholar] [CrossRef]
- Ruseckaite, R.A.; Ciannamea, E.M.; Leiva, P.; Stefan, P.M. Particleboards based on rice husk. In Polymer and Biopolymer Analysis and Characterization; Zaikov, G.E., Jimenez, A., Eds.; Nova Science Publishing Inc.: New York, NY, USA, 2007; pp. 1–12. [Google Scholar]
- Jung, H.J.; Kwak, H.; Chun, J.; Oh, K.K. Alkaline Fractionation and Subsequent Production of Nano-Structured Silica and Cellulose Nano-Fibrils for the Comprehensive Utilization of Rice Husk. Sustainability 2021, 13, 1951. [Google Scholar] [CrossRef]
- Hong, J.Y.; Kim, Y.S.; Oh, K.K. Fractionation and delignification of empty fruit bunches with low reaction severity for high sugar recovery. Bioresour. Technol. 2013, 146, 176–183. [Google Scholar] [CrossRef]
- Xiang, Z.; Runge, T. Co-production of feed and furfural from dried distillers’ grains to improve corn ethanol profitability. Ind. Crops Prod. 2014, 55, 207–216. [Google Scholar] [CrossRef]
- Köchermann, J.; Mühlenberg, J.; Klemm, M. Kinetics of hydrothermal furfural production from organosolv hemicellulose and D-Xylose. Ind. Eng. Chem. Res. 2018, 57, 14417–14427. [Google Scholar] [CrossRef]
- Kristensen, J.B.; Felby, C.; Jørgensen, H. Yield-determining factors in high-solids enzymatic hydrolysis of lignocellulose. Biotechnol. Biofuels 2009, 2, 11–20. [Google Scholar] [CrossRef] [Green Version]
Publisher’s Note: MDPI stays neutral with regard to jurisdictional claims in published maps and institutional affiliations. |
© 2021 by the authors. Licensee MDPI, Basel, Switzerland. This article is an open access article distributed under the terms and conditions of the Creative Commons Attribution (CC BY) license (https://creativecommons.org/licenses/by/4.0/).





