Study on Prevention and Treatment Strategy of Asphalt Ultraviolet (UV) Aging Based on UV Climate Zoning in China
Abstract
:1. Introduction
- Evaluation method based on molecular dynamics index [20].
- The influence of UV radiation on asphalt has not been expressed uniformly and clearly, and there is no standard test method for the UV aging of asphalt in the current specification;
- There is a lack of practical climate zoning for asphalt UV radiation;
- The equivalent relationship of asphalt UV aging between different UV radiation areas has not been established;
- There is a lack of anti-UV aging prevention methods for asphalt in different UV radiation areas.
2. Climate Zoning of Asphalt UV Radiation in China
3. UV Aging Law of Asphalt
3.1. Test Scheme
3.1.1. Test Conditions
3.1.2. Raw Materials
3.1.3. Test Design
3.2. Analysis of Test Results
3.2.1. Penetration, Softening Point and Ductility
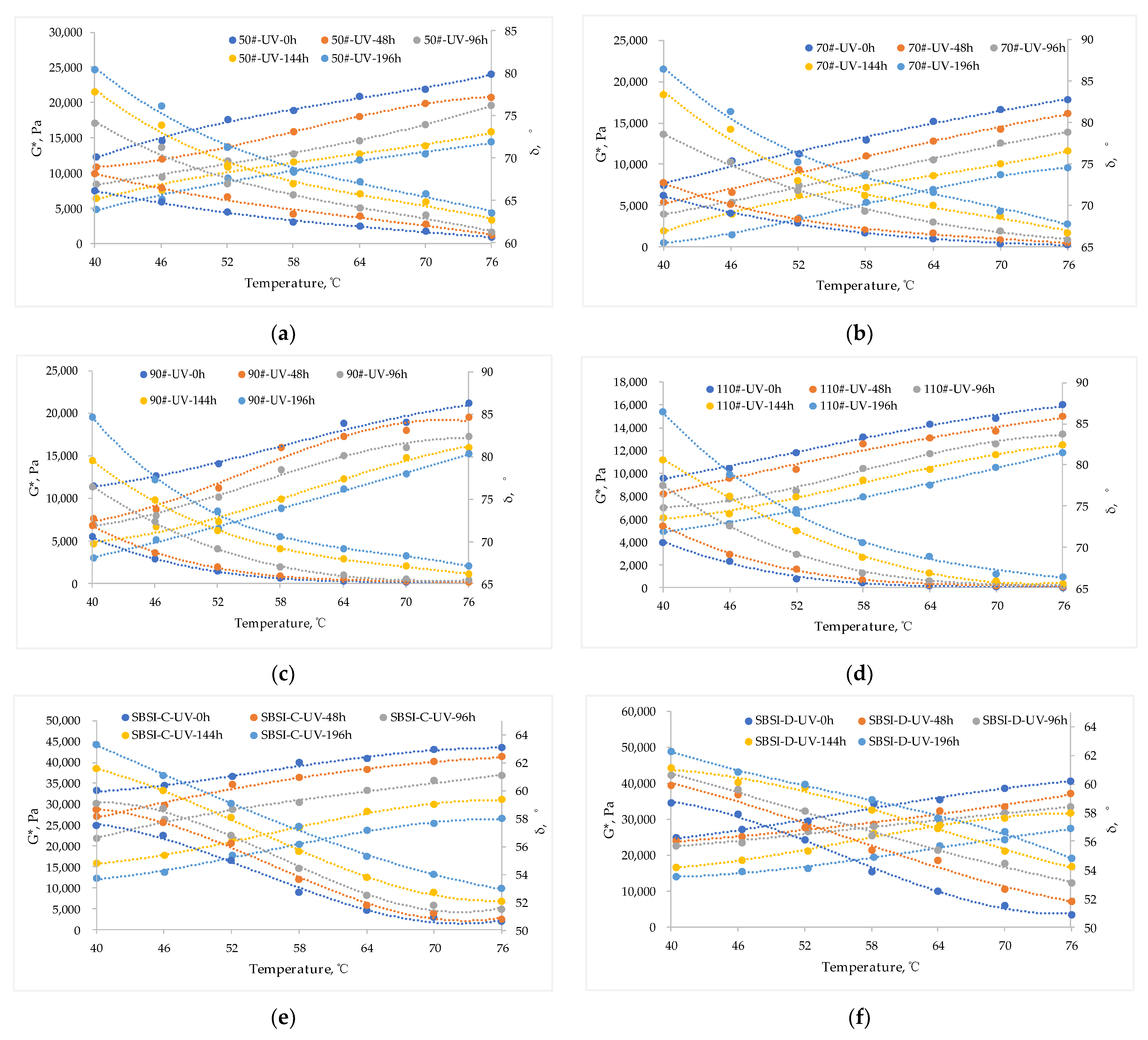
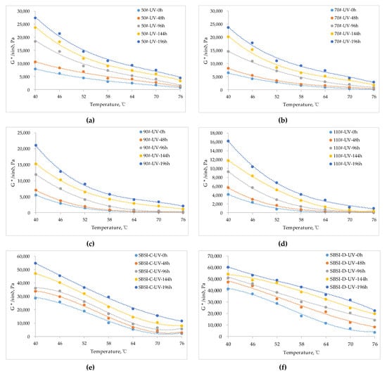
3.2.2. Rheological Properties of Asphalt
4. UV Prevention Strategies Based on Aging Equivalence Relationships
4.1. Selection of Aging Equivalent Index
- The index is sensitive to UV radiation and has a certain degree of discrimination;
- The index has a strong regularity with the UV radiation, and the UV aging equation can be established to track the index;
- The index is easy to obtain, the error is small, and it can be popularized.
4.2. UV Aging Equation of Asphalt
4.3. Equivalent Relation of UV Aging of Asphalt
5. Examples of UV Aging Prevention of Asphalt
5.1. Selection of Trial Section
- The trial road crosses at least two climatic zones of UV radiation, and the annual radiation amount difference is large.
- The pavement structure, construction materials, construction machinery, construction technology, and completion time of all sections of the trial road are the same.
- The traffic volume after opening to traffic is basically the same.
5.2. Anti-UV Aging Scheme
5.3. Results Observation
6. Conclusions
- The asphalt UV climate zone I is the area with annual UV radiation less than or equal to 69.4 kW·h/m2 in the most recent 30 years, zone II is areas with annual UV radiation of 69.4~81.4 kW·h/m2 in the most recent 30 years, and zone III is areas with annual UV radiation more than or equal to 81.4 kW·h/m2 in the most recent 30 years;
- The greater the amount of UV radiation, the greater the loss rate of penetration and ductility. For the same kind of asphalt, there is a relatively stable functional relationship between the loss rate and the amount of UV radiation.
- For asphalt, the G* increases and δ decreases with increasing UV aging time, which indicates that the elastic component of the asphalt response becomes more dominant and the viscous component less dominant with UV aging.
- The penetration loss rate and ductility loss rate of asphalt can be used as equivalent UV aging indexes of asphalt.
- Under the same outdoor UV irradiation time, if asphalt wants to achieve the same technical performance as in zone I, the anti-UV ability of zone II needs to be improved by more than 5%, and that of zone III needs to be improved by more than 10%.
Author Contributions
Funding
Institutional Review Board Statement
Informed Consent Statement
Data Availability Statement
Acknowledgments
Conflicts of Interest
References
- Yu, H.; Yao, D.; Qian, G.; Cai, J.; Gong, X.; Cheng, L. Effect of ultraviolet aging on dynamic mechanical properties of SBS modified asphalt mortar. Constr. Build. Mater. 2021, 281, 122328. [Google Scholar] [CrossRef]
- Wang, L.; Cui, S.; Feng, L. Research on the influence of ultraviolet aging on the interfacial cracking characteristics of warm mix crumb rubber modified asphalt mortar. Constr. Build. Mater. 2021, 281, 122556. [Google Scholar] [CrossRef]
- Cao, Z.; Huang, X.; Yu, J.; Han, X.; Wang, R.; Li, Y. Study on all-components regeneration of ultraviolet aged sbs modified asphalt for high-performance recycling. J. Clean. Prod. 2020, 276, 123376. [Google Scholar] [CrossRef]
- Yue, M.; Yue, J.; Wang, R.; Xiong, Y. Evaluating the fatigue characteristics and healing potential of asphalt binder modified with sasobit and polymers using linear amplitude sweep test. Constr. Build. Mater. 2021, 289, 123054. [Google Scholar] [CrossRef]
- Xu, X.; Guo, H.; Wang, X.; Zhang, M.; Wang, Z.; Yang, B. Physical properties and anti-aging characteristics of asphalt modified with nano-zinc oxide powder. Constr. Build. Mater. 2019, 224, 732–742. [Google Scholar] [CrossRef]
- Sun, X.; Yuan, J.; Liu, Z.; Qin, X.; Yin, Y. Evaluation and characterization on the segregation and dispersion of anti-uv aging modifying agent in asphalt binder. Constr. Build. Mater. 2021, 289, 123204. [Google Scholar] [CrossRef]
- Nciri, N.; Kim, J.; Kim, N.; Cho, N. An in-depth investigation into the physicochemical, thermal, microstructural, and rheological properties of petroleum and natural asphalts. Materials 2016, 9, 859. [Google Scholar] [CrossRef] [PubMed]
- Ziari, H.; Akbari, T.; Goli, A. The effect of lucobit polymer on bitumen performance. Pet. Sci. Technol. 2016, 34, 512–516. [Google Scholar] [CrossRef]
- Zhang, W.; Shi, J.; Jia, Z. The UV anti-aging performance of TPS modified bitumen. Pet. Sci. Technol. 2018, 36, 1164–1169. [Google Scholar] [CrossRef]
- Shirzad, S.; Hassan, M.M.; Aguirre, M.A.; Mohammad, L.N.; Cooper, S.J.; Negulescu, I.I. Rheological properties of asphalt binder modified with recycled asphalt materials and light-activated self-healing polymers. Constr. Build. Mater. 2019, 220, 187–195. [Google Scholar] [CrossRef]
- Zhang, H.; Chen, Z.; Xu, G.; Shi, C. Evaluation of aging behaviors of asphalt binders through different rheological indices. Fuel 2018, 221, 78–88. [Google Scholar] [CrossRef]
- Fang, J.; Tu, J. Effect of ultraviolet (UV) aging on rheology properties and microstructure of polyurethane (PU) modified asphalt. Mater. Res. Express 2019, 6, 125318. [Google Scholar] [CrossRef]
- Liu, J.; Liu, J.; Saboundjian, S. Evaluation of cracking susceptibility of alaskan polymer modified asphalt binders using chemical and rheological indices. Constr. Build. Mater. 2021, 271, 121897. [Google Scholar] [CrossRef]
- Ravichandran, M.; Castorena, C. Critical evaluation of dynamic shear rheometer (DSR)-based methods to measure asphalt binder diffusion. J. Test. Eval. 2021, 50, 20200432. [Google Scholar] [CrossRef]
- Walubita, L.F.; Gonzalez-Hernandez, J.G.; Martinez-Arguelles, G.; Tanvir, H.; Fuentes, L.; Tahami, S.A. Statistical Evaluation of the Material-Source Effects on the DSR Rheological Properties of Plant-Mix Extracted Asphalt-Binders. Materials 2021, 14, 1931. [Google Scholar] [CrossRef] [PubMed]
- Hossain, R.; Wasiuddin, N.M. Evaluation of degradation of sbs modified asphalt binder because of rtfo, pav, and uv aging using a novel extensional deformation test. Transp. Res. Rec. J. Transp. Res. Board 2019, 2673, 447–457. [Google Scholar] [CrossRef]
- Niu, T.; Roque, R.; Lopp, G.A. Development of a binder fracture test to determine fracture energy properties. Road Mater. Pavement Des. 2014, 15, 219–238. [Google Scholar] [CrossRef]
- Zhou, X.; Zhao, G.; Wu, S.; Tighe, S.; Pikel, D.; Chen, M.; Adhikari, S.; Gao, Y. Effects of biochar on the chemical changes and phase separation of bio-asphalt under different aging conditions—sciencedirect. J. Clean. Prod. 2020, 263, 121532. [Google Scholar] [CrossRef]
- Hosseinnezhad, S.; Zadshir, M.; Yu, X.; Yin, H.; Sharma, B.K.; Fini, E. Differential effects of ultraviolet radiation and oxidative aging on bio-modified binders. Fuel 2019, 251, 45–56. [Google Scholar] [CrossRef]
- Cui, B.; Gu, X.; Hu, D.; Dong, Q. A multiphysics evaluation of the rejuvenator effects on aged asphalt using molecular dynamics simulations. J. Clean. Prod. 2020, 259, 120629. [Google Scholar] [CrossRef]
- Tan, Y.Q.; Wang, J.N.; Feng, Z.L.; Zhou, X.Y.; Xu, H.N. Ultraviolet aging mechanism of asphalt binder. China J. Highw. Transp. 2008, 21, 19–24. [Google Scholar]
- Wei, C.; Duan, H.; Zhang, H.; Chen, Z. Influence of SBS modifier on aging behaviors of SBS-modified asphalt. J. Mater. Civ. Eng. 2019, 31, 04019184. [Google Scholar] [CrossRef]
- Zhang, W.; Zhang, Y.X.; Jia, Z.; Wang, F.; Ding, L. Test method and material design of asphalt mixture with the function of photocatalytic decomposition of automobile exhaust. Constr. Build. Mater. 2019, 215, 298–309. [Google Scholar] [CrossRef]
- Li, Y.; Wu, S.; Dai, Y.; Pang, L.; Liu, Q.; Nie, S.; Li, H.; Wang, Z. Laboratory and field evaluation of sodium stearate organically modified ldhs effect on the anti aging performance of asphalt mixtures. Constr. Build. Mater. 2018, 189, 366–374. [Google Scholar] [CrossRef]
- Xue, Y.; Hu, Z.; Wang, C.; Xiao, Y. Evaluation of dissolved organic carbon released from aged asphalt binder in aqueous solution. Constr. Build. Mater. 2019, 218, 465–476. [Google Scholar] [CrossRef]
- Sun, X.; Qin, X.; Liu, Z.; Yin, Y.; Zou, C.; Jiang, S. New preparation method of bitumen samples for UV aging behavior investigation. Constr. Build. Mater. 2020, 233, 117278. [Google Scholar] [CrossRef]
- Li, L.; Guo, Z.; Ran, L.; Zhang, J. Study on low-temperature cracking performance of asphalt under heat and light together conditions. Materials 2020, 13, 1541. [Google Scholar] [CrossRef] [PubMed]
- Wang, R.; Yue, J.; Li, R.; Sun, Y. Evaluation of aging resistance of asphalt binder modified with graphene oxide and carbon nanotubes. J. Mater. Civ. Eng. 2019, 31, 04019274. [Google Scholar] [CrossRef]
- Osmari, P.H.; Leite, L.F.M.; Aragão, F.T.S.; Cravo, M.C.C.; Dantas, L.N.; Macedo, T.F. Cracking resistance evaluation of asphalt binders subjected to different laboratory and field aging conditions. Road Mater. Pavement Des. 2019, 20, 663–667. [Google Scholar] [CrossRef]
- Liu, S.; Xu, Y.; Zhou, S. Evaluation of UV aging behaviors of polyphosphoric acid (ppa) modified asphalt and its asphalt mixture. Sci. Iran. 2020, 27, 2247–2257. [Google Scholar] [CrossRef] [Green Version]
- Wang, D.; Falchetto, A.C.; Riccardi, C.; Westerhoff, J.; Wistuba, M.P. Investigation on the effect of physical hardening and aging temperature on low-temperature rheological properties of asphalt binder. Road Mater. Pavement Des. 2021, 22, 1117–1139. [Google Scholar] [CrossRef]
- Feng, Z.; Song, X.; Sun, Y.; Yu, J. Performance evaluation of SBS modified asphalt with different anti-aging additives. J. Test. Eval. 2012, 40, 20120047. [Google Scholar] [CrossRef]
- Xing, L.; Wu, S.; Gang, L.; Ma, S. Research on viscoelasticity of modified bitumen containing ldhs anti-uv aging agent. J. Wuhan Univ. Technol.-Mater. Sci. Ed. 2015, 30, 1321–1324. [Google Scholar] [CrossRef]
- Li, H.; Yu, J.; Wu, S.; Pang, L.; Li, Y.; Wu, Y. Property of anti-ultraviolet aging of LDHs modified asphalt. J. Wuhan Univ. Technol.-Mater. Sci. Ed. 2018, 33, 634–638. [Google Scholar] [CrossRef]
- Li, C.; Wu, S.; Chen, Z.; Shu, B.; Li, Y.; Xiao, Y.; Liu, Q. Synthesis of fe3o4-decorated mg-al layered double hydroxides magnetic nanosheets to improve anti-ultraviolet aging and microwave absorption properties used in asphalt materials. Constr. Build. Mater. 2019, 220, 320–328. [Google Scholar] [CrossRef]
- Li, Y.; Wu, S.; Dai, Y.; Pang, L.; Liu, Q.; Xie, J.; Kong, D. Investigation of sodium stearate organically modified ldhs effect on the anti aging properties of asphalt binder. Constr. Build. Mater. 2018, 172, 509–518. [Google Scholar] [CrossRef]
- Xie, X.; Hui, T.; Luo, Y.; Li, H.; Wang, Z. Research on the properties of low temperature and anti-UV of asphalt with nano-ZnO/nano-TiO2/copolymer SBS composite modified in high-altitude areas. Adv. Mater. Sci. Eng. 2020, 1–15. [Google Scholar] [CrossRef]
- Yang, J.; Muhammad, Y.; Yang, C.; Liu, Y.; Li, J. Preparation of tio2/ps-rgo incorporated sbs modified asphalt with enhanced resistance against ultraviolet aging. Constr. Build. Mater. 2021, 276, 121461. [Google Scholar] [CrossRef]
- Peng, C.; Yu, J.; Dai, J.; Yin, J. Effect of Zn/Al layered double hydroxide containing 2-hydroxy-4-n-octoxy-benzophenone on UV aging resistance of asphalt. Adv. Mater. Sci. Eng. 2015, 739831. [Google Scholar] [CrossRef]
- Qian, G.; Yang, C.; Huang, H.; Gong, X.; Yu, H. Resistance to Ultraviolet Aging of Nano-SiO2 and Rubber Powder Compound Modified Asphalt. Materials 2020, 13, 5067. [Google Scholar] [CrossRef] [PubMed]
- Zhang, Y.; Wei, H.; Dai, Y. Influence of different aging environments on rheological behavior and structural properties of rubber asphalt. Materials 2020, 13, 3376. [Google Scholar] [CrossRef] [PubMed]
- CMA. China Wind and Solar Energy Resources Bulletin; CMA, Wind and Solar Energy Resources Center: Beijing, China, 2020. [Google Scholar]
- Osgeo China Center. Available online: https://www.osgeo.cn/map/me31b (accessed on 22 January 2021).
- Naskar, M.; Reddy, K.S.; Chaki, T.K.; Divya, M.K.; Deshpande, A.P. Effect of ageing on different modified bituminous binders: Comparison between RTFOT and radiation ageing. Mater. Struct. 2013, 46, 1227–1241. [Google Scholar] [CrossRef]
- Zeng, W.; Wu, S.; Wen, J.; Chen, Z. The temperature effects in aging index of asphalt during UV aging process. Constr. Build. Mater. 2015, 93, 1125–1131. [Google Scholar] [CrossRef]
- The Ministry of Communications Highway Science Institute. Technical Specification of Construction of Highway Asphalt Pavements; JTG F40-2004; China Communications Press: Beijing, China, 2004. [Google Scholar]
- João, C.; Luís, P.S.; José, N.; Silvino, C.; Imad, L.A.Q. Tecnico accelerated ageing (teage)—A new laboratory approach for bituminous mixture ageing simulation. Int. J. Pavement Eng. 2018, 21, 1–13. [Google Scholar] [CrossRef]
- João Miguel Lopes, C.; de Luís Guilherme, P.S.; das José Manuel Coelho, N.; Silvino Dias, C. The teage ageing method for asphalt mixtures. Transp. Eng. 2020, 2, 100030. [Google Scholar] [CrossRef]












| Technical Parameters | Asphalt | ||||||
|---|---|---|---|---|---|---|---|
| 50# | 70# | 90# | 110# | SBS I-C | SBS I-D | ||
| Penetration at 25 °C, 0.1 mm | 53.8 | 68.5 | 91.7 | 109.2 | 72.7 | 55.1 | |
| Softening point, °C | 50.3 | 47.4 | 46.3 | 43.8 | 66.3 | 71.5 | |
| Ductility at 10 °C, cm | 18.7 | 27.5 | 34.6 | 46.9 | —— | —— | |
| Ductility at 5 °C, cm | —— | —— | —— | —— | 35.3 | 27.8 | |
| RTFOT 1 | Mass Change, % | 0.5 | 0.45 | 0.67 | 0.71 | 0.87 | 0.73 |
| Residual penetration ratio at 25 °C, % | 71.1 | 68.9 | 66.5 | 62.3 | 75.8 | 71.3 | |
| Residual ductility at 10 °C, cm | 7.6 | 9.1 | 10.2 | 13.4 | —— | —— | |
| Residual ductility at 5 °C, cm | —— | —— | —— | —— | 25.3 | 19.7 | |
| Asphalt | Indexes | Dynamic UV Aging Equation | R2 |
|---|---|---|---|
| 50# | Penetration at 25 °C, 0.1 mm | P(t) = −0.0830/(1 − 1.0016 × e0.0080t) | 0.93 |
| Ductility at 10 °C, cm | P(t) = −0.0037/(1 − 1.0002 × e0.0090t) | 0.95 | |
| 70# | Penetration at 25 °C, 0.1 mm | P(t) = −0.0070(1 − 1.0001 × e0.0070t) | 0.96 |
| Ductility at 10 °C, cm | P(t) = −0.0385/(1 − 1.00144 × e0.0103t) | 0.98 | |
| 90# | Penetration at 25 °C, 0.1 mm | P(t) = 3.7597/(1 − 0.9590 × e0.0060t) | 0.97 |
| Ductility at 10 °C, cm | P(t) = −0.0440/(1 − 1.0013 × e0.0114t) | 0.96 | |
| 110# | Penetration at 25 °C, 0.1 mm | P(t) = −0.3276/(1 − 1.0300 × e0.0040t) | 0.98 |
| Ductility at 10 °C, cm | P(t) = −0.0327/(1 − 1.0007 × e1.01087t) | 0.99 | |
| SBS I-C | Penetration at 25 °C, 0.1 mm | P(t) = 0.0247/(1 − 0.99966 × e0.0033t) | 0.97 |
| Ductility at 5 °C, cm | P(t) = 0.0055/(1 − 0.99843 × e0.0475t) | 0.94 | |
| SBS I-D | Penetration at 25 °C, 0.1 mm | P(t) = 4.2360/(1 − 0.92311 × e0.0027t) | 0.96 |
| Ductility at 5 °C, cm | P(t) = −30.8858/(1 − 2.1110 × e0.0056t) | 0.95 |
| UV Climatic Zones | UV Radiation in Laboratory, kW·h/m2 | Test Time in Laboratory, h | Equivalent Time of Outdoor, Months |
|---|---|---|---|
| I | 34.7 | 110 | 6 |
| II | 34.7 | 110 | 5.1 |
| III | 34.7 | 110 | 3.6 |
| UV Climatic Zones | Time of Outdoor, months | UV Radiation in Laboratory, kW·h/m2 | Equivalent Test Time in Laboratory, h |
|---|---|---|---|
| I | 6 | 34.7 | 110 |
| II | 6 | 40.7 | 129 |
| III | 6 | 57.5 | 183 |
| Asphalt | Penetration Loss Rate, % | Ductility Loss Rate, % | ||||
|---|---|---|---|---|---|---|
| I | II | III | I | II | III | |
| 50# | 62.1 | 64.5 | 69.5 | 63.1 | 65.8 | 71.1 |
| 70# | 53.7 | 57.2 | 61.0 | 68.0 | 70.9 | 76.7 |
| 90# | 49.0 | 52.6 | 57.3 | 71.7 | 76.0 | 80.3 |
| 110# | 41.8 | 44.0 | 49.5 | 69.3 | 72.3 | 75.7 |
| SBS I-C | 31.9 | 36.3 | 39.6 | 43.1 | 46.5 | 49.6 |
| SBS I-D | 28.3 | 30.3 | 36.1 | 48.9 | 51.4 | 56.8 |
| Asphalt | Penetration Loss Rate, %, (The Difference from I, %) | Ductility Loss Rate, %, (The Difference from I, %) | ||
|---|---|---|---|---|
| II | III | II | III | |
| 50# | 2.4 | 7.4 | 2.7 | 8.0 |
| 70# | 3.5 | 7.3 | 2.9 | 8.7 |
| 90# | 3.6 | 8.3 | 4.3 | 8.7 |
| 110# | 2.1 | 7.7 | 3.0 | 6.4 |
| SBS I-C | 4.4 | 7.7 | 3.4 | 6.5 |
| SBS I-D | 2.0 | 7.8 | 2.5 | 7.9 |
| Indexes | SBS I-C | SBS I-C with Anti-UV Aging Agent | |
|---|---|---|---|
| Penetration, 0.1 mm | 68.2 | 69.6 | |
| softening point, °C | 60.9 | 59.9 | |
| ductility at 5 °C, cm | 40.1 | 40.7 | |
| Penetration loss rate after UV aging, % | 157.5 W/m2, 110 h | 30.8 | —— |
| 157.5 W/m2, 129 h | —— | 30.5 | |
| Ductility loss rate at 5 °C after UV aging, % | 157.5 W/m2, 110 h | 42.9 | —— |
| 157.5 W/m2, 129 h | —— | 43.1 | |
| Trial Sections | UV Zones | Project Overview | Observation Time | Disease Situation | PCI 1 |
|---|---|---|---|---|---|
| Trial 1 | I | The anti-UV aging agent is used in trial section 2, and the other working conditions are basically the same | The beginning of the third year | Almost no disease, light loose disease | 94 |
| Trial 2 | II | There are transverse cracks and a few pits, loose disease | 91 | ||
| Trial 3 | III | Almost no disease, light loose disease | 94 |
Publisher’s Note: MDPI stays neutral with regard to jurisdictional claims in published maps and institutional affiliations. |
© 2021 by the authors. Licensee MDPI, Basel, Switzerland. This article is an open access article distributed under the terms and conditions of the Creative Commons Attribution (CC BY) license (https://creativecommons.org/licenses/by/4.0/).
Share and Cite
Zou, L.; Lou, Z.; Li, M.; Xue, H.; Chen, Y.; Zhang, W. Study on Prevention and Treatment Strategy of Asphalt Ultraviolet (UV) Aging Based on UV Climate Zoning in China. Appl. Sci. 2021, 11, 6665. https://doi.org/10.3390/app11146665
Zou L, Lou Z, Li M, Xue H, Chen Y, Zhang W. Study on Prevention and Treatment Strategy of Asphalt Ultraviolet (UV) Aging Based on UV Climate Zoning in China. Applied Sciences. 2021; 11(14):6665. https://doi.org/10.3390/app11146665
Chicago/Turabian StyleZou, Ling, Zhongbo Lou, Minghui Li, Honghua Xue, Yu Chen, and Wengang Zhang. 2021. "Study on Prevention and Treatment Strategy of Asphalt Ultraviolet (UV) Aging Based on UV Climate Zoning in China" Applied Sciences 11, no. 14: 6665. https://doi.org/10.3390/app11146665
APA StyleZou, L., Lou, Z., Li, M., Xue, H., Chen, Y., & Zhang, W. (2021). Study on Prevention and Treatment Strategy of Asphalt Ultraviolet (UV) Aging Based on UV Climate Zoning in China. Applied Sciences, 11(14), 6665. https://doi.org/10.3390/app11146665

