Implementation of Portable Automatic Tourniquet with High-Elasticity Biocompatible Strap
Abstract
1. Introduction
2. Methods
2.1. Configuration of an Auto-Tourniquet System
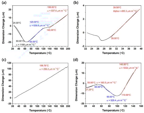
2.2. Biocompatible Strap with High Elasticity
2.3. Fabricated Automatic Tourniquet System
2.4. Experimental Procedure
3. Experimental Results
3.1. Results of Blood Flow Control
3.2. System Charge Property
4. Discussion
5. Conclusions
Author Contributions
Funding
Institutional Review Board Statement
Informed Consent Statement
Conflicts of Interest
References
- Kragh, J.F.; Walters, T.J.; Baer, D.G.; Fox, C.J.; Wade, C.E.; Salinas, J.; Holcomb, J.B. Survival with Emergency Tourniquet Use to Stop Bleeding in Major Limb Trauma. Ann. Surg. 2009, 249, 1–7. [Google Scholar] [CrossRef]
- Aglietti, P.; Baldini, A.; Vena, L.; Abbate, R.; Fedi, S.; Falciani, M. Effect of Tourniquet Use on Activation of Coagulation in Total Knee Replacement. Clin. Orthop. Relat. Res. 2000, 371, 169–177. [Google Scholar]
- Kam, P.C.A.; Kavanaugh, R.; Yoong, F.F.Y. The arterial tourniquet: Pathophysiological consequences and anaesthetic implications. Assoc. Anaesth. 2001, 56, 534–545. [Google Scholar] [CrossRef] [PubMed]
- McEwen, J.A.; Kelly, D.L.; Jardanowski, T.; Inkpen, K. Tourniquet Safety in Lower Leg Applications. Orthop. Nurs. 2002, 21, 61–62. [Google Scholar] [CrossRef] [PubMed]
- Pauers, R.S.; Carocci, M.A. Low pressure pneumatic tourniquets: Effectiveness at minimum recommended inflation pressures. J. Foot Ankle Surg. 1994, 33, 605–609. [Google Scholar]
- Noordin, S.; McEwen, J.A.; Kragh, C.J.F.; Eisen, A.; Masri, B.A. Surgical Tourniquets in Orthopaedics. J. Bone Jt. Surg. 2009, 91, 2958–2967. [Google Scholar] [CrossRef] [PubMed]
- Lourenco, E.S.; Cortes, J.; Costa, J.; Linhares, A.; Alves, G. Evaluation of Commercial Latex as a Positive Control for In Vitro Testing of Bioceramics. Key Eng. Mater. 2014, 631, 357–362. [Google Scholar] [CrossRef]
- Hwang, C.J.; Cha, J.Y. Mechanical and biological comparison of latex and silicone rubber bands. Am. J. Orthod. Dentofac. Orthop. 2003, 124, 379–386. [Google Scholar] [CrossRef]
- Parreira, P.; Serambeque, B.; Costa, P.S.; Monico, L.S.; Oliveira, V.; Sousa, L.B.; Gama, F.; Bernardes, A.R.; Adriano, D.; Marques, A.I.; et al. Impact of an Innovative Securement Dressing and Tourniquet in Peripheral Intravenous Catheter-Related Complications and Contamination: An Interventional Study. Int. J. Environ. Res. Public Health 2019, 16, 3301. [Google Scholar] [CrossRef]
- Salgueiro-Oliveira, A.; Oliveira, V.; Costa, P.; Gama, F.; Graveto, J.; Parreira, P.; Osorio, N. Tourniquets used in peripheral venipuncture as a potential vehicle for transmission of microorganisms: Scoping review. Infectio 2020, 24, 92–97. [Google Scholar] [CrossRef][Green Version]
- Salgueiro-Oliveira, A.; Costa, P.J.S.; Braga, L.M.; Graveto, J.M.G.N.; Oliveira, V.S.; Perreira, P.M.S.D. Health professionals’ practices related with tourniquet use during peripheral venipuncture: A scoping review. Rev. Lat. Am. Enferm. 2019, 27, e3125. [Google Scholar] [CrossRef]
- Crippa, M.; Belleri, L.; Mistrello, G.; Tedoldi, C.; Alessio, L. Prevention of latex allergy among health care workers and in the general population: Latex protein content in devices commonly used in hospitals and general practice. Int. Arch. Occup. Environ. Health 2006, 79, 550–557. [Google Scholar] [CrossRef]
- Allmers, H.; Schmengler, J.; Skudlik, C. Primary prevention of natural rubber latex allergy in the German health care system through education and intervention. J. Allergy Clin. Immunol. 2002, 110, 318–323. [Google Scholar] [CrossRef]
- Bousquet, J.; Flahault, A.; Vandenplas, O.; Ameille, J.; Duron, J.J.; Perquet, C.; Chevrie, K.; Annesi-Maesano, I. Natural rubber latex allergy among health care workers: A systematic review of the evidence. J. Allergy Clin. Immunol. 2006, 118, 447–454. [Google Scholar] [CrossRef]
- Taylor, J.S.; Erkek, E. Latex allergy: Diagnosis and management. Dermatology 2004, 17, 289–301. [Google Scholar] [CrossRef]
- Reines, H.D.; Seifert, P.C. Patient Safety: Latex Allergy. Surg. Clin. N. Am. 2005, 85, 1329–1340. [Google Scholar] [CrossRef]
- Dhillion, B.S. Medical Device Reliability and Associated Areas; CRC Press: Boca Raton, FL, USA, 2000; pp. 89–99. [Google Scholar]
- Webster, J.G. Medical Instrumentation Application and Design; John Wiley and Sons Inc.: Hoboken, NJ, USA, 2008; pp. 119–128. [Google Scholar]
- Fray, M.E.; Prowans, P.; Puskas, J.E.; Altstadt, V. Biocompatibility and Fatigue Properties of Polystyrene, Polyisobutylene, Polystyrene, an Emerging Thermoplastic Elastomeric Biomaterial. Biomacromolecules 2006, 7, 844–850. [Google Scholar] [CrossRef]
- Guillemette, M.D.; Roy, E.; Auger, F.A.; Veres, T. Rapid isothermal substrate microfabrication of a biocompatible thermoplastic elastomer for cellular contact guidance. Acta Biomater. 2011, 7, 2492–2498. [Google Scholar] [CrossRef]
- Puskas, J.E.; Chen, Y. Biomedical Application of Commercial Polymers and Novel Polyisobutylene-Based Thermoplastic Elastomers for Soft Tissue Replacement. Biomacromolecules 2004, 5, 1141–1154. [Google Scholar] [CrossRef]
- Lockhart, M.E.; Robbin, M.L.; Fineberg, N.S.; Wells, C.G.; Allon, M. Cephalic Vein Measurement before Forearm Fistula Creation: Does Use of a Tourniquet to Meet the Venous Diameter Threshold Increase the Number of Usable Fistulas? J. Ultrasound Med. 2006, 25, 1541–1545. [Google Scholar] [CrossRef]
- Sandhu, N.P.S.; Sidhu, D.S. Mid-arm approach to basilic and cephalic vein cannulation using ultrasound guidance. Br. J. Anaesth. 2004, 93, 292–294. [Google Scholar] [CrossRef] [PubMed]
- Anderson, C.B.; Etheredge, E.E.; Harter, H.R.; Codd, J.E.; Graff, R.J.; Newton, W.T. Blood flow measurements in arteriovenous dialysis fistulas. Int. J. Surg. Protoc. 1977, 81, 459–461. [Google Scholar]
- Anderson, C.B.; Etheredge, E.E.; Harter, H.R.; Graff, R.J.; Codd, J.E.; Newton, W.T. Local blood flow characteristics of arteriovenous fistulas in the forearm for dialysis. Surg. Gynecol. Obs. 1977, 144, 531–533. [Google Scholar]
- Kue, R.B.; Temin, E.S.; Weiner, S.G.; Gates, J.; Coleman, M.H.; Fisher, J.; Dyer, S. Tourniquet Use in a Civilian Emergency Medical Services Setting: A Descriptive Analysis of the Boston EMS Experience. Prehospital Emerg. Care 2015, 19, 399–404. [Google Scholar] [CrossRef] [PubMed]
- King, R.B.; Filips, D.; Blitz, S.; Logsetty, S. Evaluation of Possible Tourniquet Systems for Use in the Canadian Forces. J. Trauma Inj. Infect. Crit. Care 2006, 60, 1061–1071. [Google Scholar] [CrossRef] [PubMed]
- Kragh, J.F.; O’Neill, M.L.; Walters, T.J.; Dubick, M.A.; Baer, D.G.; Wade, C.E.; Holcomb, J.B.; Blackbourne, L.H. The Military Emergency Tourniquet Program’s Lessons Learned with Devices and Designs. Mil. Med. 2011, 176, 1144–1152. [Google Scholar] [CrossRef] [PubMed]









| Material | Strain Rate (Times) | Elastic Modulus (kgf/cm) | Tensile Strength (MPa) | Wearable for Skin |
|---|---|---|---|---|
| Teflon | 1.2 | 0.10 | 2.10 | Middle |
| PVC | 1.4 | 0.15 | 1.95 | Middle |
| Latex | 2.1 | 0.20 | 1.58 | Middle |
| TPE | 3.3 | 0.30 | 2.05 | High |
| PE | 2.5 | 0.25 | 2.00 | High |
| Silicone | 1.5 | 0.16 | 2.00 | Low |
| Sex | Weight (cm) | Height (kg) | Age | Disease |
|---|---|---|---|---|
| Male | 173 | 81 | 32 | None |
| 172 | 73 | 42 | None | |
| 168 | 75 | 50 | None | |
| Female | 159 | 49 | 24 | None |
| 164 | 55 | 30 | None |
| Control Group | Normal (m/s), Mean (N = 5) (Min–Max) | Latex Tubing (m/s) (N = 1) (Min–Max) | Proposed Automatic Tourniquet (m/s), Mean (N = 5) | ||||
|---|---|---|---|---|---|---|---|
| Step 1 (Min–Max) | Step 2 (Min–Max) | Step 3 (Min–Max) | Step 4 (Min–Max) | Step 5 (Min–Max) | |||
| Male | 0.946 (0.917–0.980) | 0.845 | 0.764 (0.717–0.896) | 0.590 (0.567–0.610) | 0.557 (0.522–0.600) | 0.454 (0.420–0.489) | 0.316 (0.293–0.377) |
| 1.034 (0.974–1.064) | 0.760 | 0.884 (0.738–0.940) | 0.579 (0.560–0.602) | 0.523 (0.501–0.581) | 0.468 (0.430–0.482) | 0.334 (0.310–0.380) | |
| 0.915 (0.901–0.933) | 0.773 | 0.789 (0.721–0.850) | 0.597 (0.564–0.622) | 0.559 (0.510–0.596) | 0.447 (0.404–0.490) | 0.320 (0.286–0.361) | |
| Female | 0.967 (0.930–1.006) | 0.710 | 0.712 (0.672–0.830) | 0.612 (0.592–0.624) | 0.521 (0.490–0.587) | 0.405 (0.384–0.477) | 0.324 (0.294–0.350) |
| 0.888 (0.851–0.920) | 0.714 | 0.854 (0.658–0.896) | 0.595 (0.565–0.618) | 0.504 (0.480–0.556) | 0.354 (0.320–0.457) | 0.257 (0.210–0.328) | |
| Mean | 0.950 (0.851–1.064) | 0.760 (0.710–0.845) | 0.806 (0.658–0.940) | 0.593 (0.560–0.624) | 0.533 (0.480–0.600) | 0.425 (0.320–0.490) | 0.310 (0.210–0.380) |
Publisher’s Note: MDPI stays neutral with regard to jurisdictional claims in published maps and institutional affiliations. |
© 2021 by the authors. Licensee MDPI, Basel, Switzerland. This article is an open access article distributed under the terms and conditions of the Creative Commons Attribution (CC BY) license (https://creativecommons.org/licenses/by/4.0/).
Share and Cite
Woo, S.T.; Park, C.W.; Sung, J.H.; Park, C.-M. Implementation of Portable Automatic Tourniquet with High-Elasticity Biocompatible Strap. Appl. Sci. 2021, 11, 4653. https://doi.org/10.3390/app11104653
Woo ST, Park CW, Sung JH, Park C-M. Implementation of Portable Automatic Tourniquet with High-Elasticity Biocompatible Strap. Applied Sciences. 2021; 11(10):4653. https://doi.org/10.3390/app11104653
Chicago/Turabian StyleWoo, Seong Tak, Cheol Woo Park, Ji Hyun Sung, and Cheol-Min Park. 2021. "Implementation of Portable Automatic Tourniquet with High-Elasticity Biocompatible Strap" Applied Sciences 11, no. 10: 4653. https://doi.org/10.3390/app11104653
APA StyleWoo, S. T., Park, C. W., Sung, J. H., & Park, C.-M. (2021). Implementation of Portable Automatic Tourniquet with High-Elasticity Biocompatible Strap. Applied Sciences, 11(10), 4653. https://doi.org/10.3390/app11104653

