Quantitative Characterization of Geotrichum candidum Growth in Milk
Abstract
1. Introduction
2. Materials and Methods
2.1. Fungal Isolate and Culture Preparation
2.2. Inoculum Preparation and Experimental Design
2.3. Growth Curve Fitting
2.3.1. Primary Modelling
2.3.2. Secondary Modelling
2.3.3. Statistical Analysis and Validation
3. Results
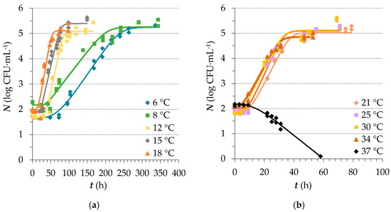
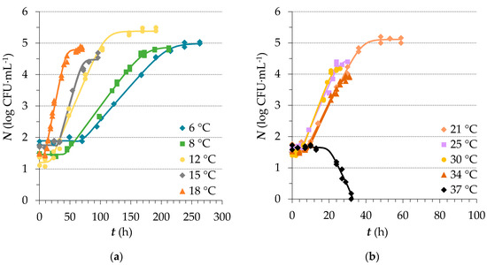
3.1. Primary Modelling of G. candidum Growth in Milk
3.2. Secondary Modelling of G. candidum Growth in Milk
3.3. Statistical Evaluation and Validation of Models
4. Conclusions
Author Contributions
Funding
Institutional Review Board Statement
Informed Consent Statement
Data Availability Statement
Conflicts of Interest
References
- Wouters, J.T.M.; Ayad, E.H.E.; Hugenholtz, J.; Smit, G. Microbes from raw milk for fermented dairy products. Int. Dairy J. 2002, 12, 91–109. [Google Scholar] [CrossRef]
- Boutrou, R.; Guéguen, M. Interests in Geotrichum candidum for cheese technology. Int. J. Food Microbiol. 2005, 102, 1–20. [Google Scholar] [CrossRef]
- Pottier, I.; Gente, S.; Vernoux, J.P.; Guéguen, M. Safety assessment of dairy microorganisms: Geotrichum candidum. Int. J. Food Microbiol. 2008, 126, 327–332. [Google Scholar] [CrossRef] [PubMed]
- Marcellino, N.; Benson, D.R. The good, the bad, and the ugly: Tales of mold-ripened cheese. Microbiol. Spectr. 2013, 1, 1–27. [Google Scholar]
- Koňuchová, M.; Liptáková, D.; Šípková, A.; Valík, Ľ. Role of Geotrichum candidum in Dairy Industry. Chem. Pap. 2016, 110, 491–497. [Google Scholar]
- Gente, S.; Sohier, D.; Coton, E.; Duhamel, C.; Guéguen, M. Identification of Geotrichum candidum at the species and strain level: Proposal for a standardized protocol. J. Ind. Microbiol. Biotechnol. 2006, 33, 1019–1031. [Google Scholar] [CrossRef]
- Eliskases-Lechner, F.; Guéguen, M.; Panoff, J.M. Geotrichum candidum. In Encyclopedia of Dairy Sciences, 2nd ed.; Fuquay, J.W., Fox, P.F., McSweeney, P.L.H., Eds.; Academic Press: London, UK, 2011; pp. 765–771. [Google Scholar]
- Bourdichon, F.; Casaregola, S.; Farrokh, C.; Frisvad, J.C.; Gerds, M.L.; Hammes, W.P.; Harnett, J.; Huys, G.; Laulund, S.; Ouwehand, A.; et al. Food fermentations: Microorganisms with technological beneficial use. Int. J. Food Microbiol. 2012, 154, 87–97. [Google Scholar] [CrossRef] [PubMed]
- Alexandraki, V.; Kazou, M.; Angelopoulou, A.; Arena, M.P.; Capozzi, V.; Russo, P.; Fiocco, D.; Spano, G.; Papadimitriou, K.; Tsakalidou, E. The microbiota of non-cow milk and products. In Non-Bovine Milk and Milk Products; Tsakalidou, E., Papadimitriou, K., Eds.; Academic Press: London, UK, 2011; pp. 117–159. [Google Scholar]
- Garnier, L.; Valence, F.; Mounier, J. Diversity and control of spoilage fungi in dairy products: An update. Microorganisms 2017, 5, 42. [Google Scholar] [CrossRef]
- Wszolek, M.; Kupiec-Teahan, B.; Guldager, H.S.; Tamime, A.Y. Production of kefir, koumiss and other related products. In Fermentd Milks; Tamime, A., Ed.; Blackwell Science Ltd.: Oxford, UK, 2006; pp. 174–216. [Google Scholar]
- Šipošová, P.; Koňuchová, M.; Valík, Ľ.; Medveďová, A. Growth dynamics of lactic acid bacteria and dairy microscopic fungus Geotrichum candidum during their co-cultivation in milk. Food Sci. Technol. Int. 2020, in press. [Google Scholar] [CrossRef]
- Šipošová, P.; Lehotová, V.; Valík, Ľ.; Medveďová, A. Microbiological quality assessment of raw milk from a vending machine and of traditional Slovakian pasta filata cheeses. J. Food Nutr. Res. 2020, 59, 272–279. [Google Scholar]
- Kazou, M.; Grafakou, A.; Tsakalidou, E.; Georgalaki, M. Zooming into the microbiota of home-made and industrial kefir produced in Greece using classical microbiological and amplicon-based metagenomics analyses. Front. Microbiol. 2021, 12, 64. [Google Scholar] [CrossRef] [PubMed]
- Jaster, H.; Judacewski, P.; Ribeiro, J.C.B.; Zielinski, A.A.F.; Demiate, I.M.; Los, P.R.; Alberti, A.; Nogueira, A. Quality assessment of the manufacture of new ripened soft cheese by Geotrichum candidum: Physicochemical and technological properties. Food Sci. Technol. 2019, 39, 50–58. [Google Scholar] [CrossRef]
- Fröhlich-Wyder, M.T.; Arias-Roth, E.; Jakob, E. Cheese yeasts. Yeast 2018, 36, 129–141. [Google Scholar] [CrossRef]
- Naz, S.; Cretenet, P.; Vernoux, J.P. Current knowledge on antimicrobial metabolites produced from aromatic amino acid metabolism in fermented products. In Microbial Pathogens and Strategies for Combating Them: Science, Technology and Education; Méndez-Vilas, A., Ed.; Formatex Research Center: Badajoz, Spain, 2013; pp. 337–346. [Google Scholar]
- Naz, S.; Gueguen-Minerbe, M.; Cretenet, M.; Vernoux, J.P. Aromatic amino acids as precursors of antimicrobial metabolites in Geotrichum candidum. FEMS Microbiol. Lett. 2013, 344, 39–47. [Google Scholar] [CrossRef] [PubMed]
- Featherstone, S. Cleaning and sanitizing. In A Complete Course in Canning and Related Processes; Featherstone, S., Ed.; Woodhead Publishing: Sawston, Cambridge, UK, 2015; Volume 1, pp. 149–171. [Google Scholar]
- Adour, L.; Couriol, C.; Amrane, A. Differentiation between amino acids used as carbon and energy sources during growth of Geotrichum candidum Geo17. Food Technol. Biotechnol. 2005, 43, 85–89. [Google Scholar]
- Adour, L.; Bude, F.; Amrane, A. Sequential use of ammonium and leucine as nitrogen sources during growth of Geotrichum candidum on a glucose based medium. Electron. J. Biotechnol. 2010, 13, 13–14. [Google Scholar]
- Boutrou, R.; Kerriou, L.; Gassi, J.-Y. Contribution of Geotrichum candidum to the proteolysis of soft cheese. Int. Dairy J. 2006, 16, 775–783. [Google Scholar] [CrossRef]
- Swinnen, I.A.; Bernaerts, K.; Dens, E.J.; Geeraerd, A.H.; Van Impe, J.F. Predictive modelling of the microbial lag phase: A review. Int. J. Food Microbiol. 2004, 94, 137–159. [Google Scholar] [CrossRef]
- Valdramidis, V. Predictive microbiology. In Modeling in Food Microbiology: From Predictive Microbiology to Exposure Assessment, 1st ed.; Membré, J.-M., Valdramidis, V., Eds.; ISTE Press-Elsevier: London, UK, 2016; pp. 1–15. [Google Scholar]
- Ross, T.; McMeekin, T.A. Predictive microbiology. Int. J. Food Microbiol. 1994, 23, 241–264. [Google Scholar] [CrossRef]
- Samson, R.A.; Hoekstra, E.S.; Frisvad, J.S.; Filtenborg, O. Introduction to Food- and Airborne Fungi, 6th ed.; Centraalbureau voor Schimmelcultures: Utrecht, The Netherlands, 2002; pp. 28–389. [Google Scholar]
- De Hoog, G.S.; Smith, M.T. Galactomyces Redhead & Malloch (1977). In The Yeasts, a Taxonomic Study, 5th ed.; Kurtzman, C.P., Fell, J.W., Boekhout, T., Eds.; Elsevier: Amsterdam, The Netherlands, 2011; Volume 2, pp. 413–420. [Google Scholar]
- Groenewald, M.; Coutinho, T.; Smith, M.T.; van der Walt, J.P. Species reassignment of Geotrichum bryndzae, Geotrichum phurueaensis, Geotrichum silvicola, and Geotrichum vulgarae based on phylogenetic analyses and mating compability. Int. J. Syst. Evol. Microbiol. 2012, 62, 3072–3080. [Google Scholar] [CrossRef]
- ISO 21527-1:2010. Microbiology of Food and Animal Feeding Stuffs—Horizontal Method for the Enumeration of Yeasts and Moulds—Part 1: Colony Count Technique in Products with Water Activity Greater than 0.95; ICS 07.100.30; ISO: Geneva, Switzerland, 2010; pp. 1–12. [Google Scholar]
- Baranyi, J.; Roberts, T.A. A dynamic approach to predicting bacterial growth in food. Int. J. Food Microbiol. 1994, 23, 277–294. [Google Scholar] [CrossRef]
- Rosso, L.; Lobry, J.R.; Flandrois, J.P. An unexpected correlation between cardinal temperatures of microbial growth highlighted by a new model. J. Theor. Biol. 1993, 162, 447–463. [Google Scholar] [CrossRef] [PubMed]
- Ratkowsky, D. Model fitting and uncertainty. In Modeling Microbial Responses in Food, 1st ed.; McKellar, R.C., Yu., X., Eds.; CRC Press Inc.: Boca Raton, FL, USA, 2004; pp. 151–196. [Google Scholar]
- TeGiffel, M.C.; Zwietering, M.H. Validation of predictive models describing the growth of L. monocytogenes. Int. J. Food Microbiol. 1999, 46, 135–149. [Google Scholar] [CrossRef]
- Ačai, P.; Valík, Ľ. Predictive Food Microbiology and Risk Assessment, Examples and Tasks, 1st ed.; SPEKTRUM STU: Bratislava, Slovakia, 2020; pp. 18–186. [Google Scholar]
- Baranyi, J.; Pin, C.; Ross, T. Validating and comparing predictive models. Int. J. Food Microbiol. 1999, 48, 159–166. [Google Scholar] [CrossRef]
- Gougouli, M.; Koutsoumanis, K.P. Primary models for fungal growth. In Predictive Mycology, 1st ed.; Dantigny, P., Panagou, E.Z., Eds.; Nova Science Publishers: New York, NY, USA, 2013; pp. 63–130. [Google Scholar]
- Garcia, D.; Ramos, A.J.; Sanchis, V.; Marín, S. Predicting mycotoxins in foods: A review. Food Microbiol. 2009, 26, 757–769. [Google Scholar] [CrossRef] [PubMed]
- Halmi, M.I.E.; Shukor, M.S.; Shukor, M.Y. Evaluation of several mathematical models for fitting the growth and kinetics of the catechol-degrading Candida parapsilopsis: Part 1. J. Environ. Bioremediation Toxicol. 2014, 2, 48–52. [Google Scholar]
- Koňuchová, M.; Valík, Ľ. Evaluation of radial growth dynamics variability of Geotrichum candidum: A quantitative approach. J. Food Nutr. Res. 2017, 56, 155–166. [Google Scholar]
- López, S.; Prieto, M.; Dijkstra, J.; Dhanoa, M.S.; France, J. Statistical evaluation of mathematical models for microbial growth. Int. J. Food Microbiol. 2004, 96, 289–300. [Google Scholar] [CrossRef] [PubMed]
- Bertrand, R.L. Lag phase is a dynamic, organized, adaptive, and evolvable period that prepares bacteria for cell division. J. Bacteriol. 2019, 201, 1–21. [Google Scholar] [CrossRef] [PubMed]
- Görner, F.; Valík, Ľ. Applied Microbiology of Foods, 1st ed.; Malé centrum: Bratislava, Slovakia, 2004; pp. 271–338. [Google Scholar]
- Fox, P.F.; Uniacke-Lowe, T.; McSweeney, P.L.H.; O’Mahony, J.A. Dairy Chemistry and Biochemistry, 2nd ed.; Springer International Publishing: Cham, Switzerland, 2015; pp. 499–546. [Google Scholar]
- Koňuchová, M.; Valík, Ľ. Modelling the radial growth of Geotrichum candidum: Effects of temperature and water activity. Microorganisms 2021, 9, 532. [Google Scholar] [CrossRef]
- Cornelison, C.; Crow, S.A. Yarrowia lipolytica (Candida lipolytica). In Encyclopedia of Food Microbiology, 2nd ed.; Batt, C.A., Tortello, M.-R., Eds.; Academic Press: Cambridge, UK, 2014; pp. 374–378. [Google Scholar]
- Wrent, P.; Rivas, E.M.; Gil de Prado, E.; Peinado, J.M.; de Silóniz, M.I. Debaryomyces. In Encyclopedia of Food Microbiology, 2nd ed.; Batt, C.A., Tortello, M.-R., Eds.; Academic Press: Cambridge, UK, 2014; pp. 563–570. [Google Scholar]
- Agarbati, A.; Canonico, L.; Marini, E.; Zannini, E.; Ciani, M.; Comitini, F. Potential probiotic yeasts sourced from natural environmental and spontaneous processed foods. Foods 2020, 9, 287. [Google Scholar] [CrossRef]
- Pichereau, V.; Hartke, A.; Auffray, A. Starvation and osmotic stress induced multiresistances influence of extracellular compounds. Int. J. Food Microbiol. 2000, 55, 19–25. [Google Scholar] [CrossRef]
- Hudecová, A.; Valík, Ľ.; Liptáková, D. Influence of temperature on the surface growth of Geotrichum candidum. Acta Chim. Slovaca. 2009, 2, 75–87. [Google Scholar]
- Šípková, A.; Valík, L.; Čižniar, M.; Liptáková, D. Characterization of mutual relations between Geotrichum candidum and Lactobacillus rhamnosus GG in milk: A quantitative approach. Food Sci. Technol. Int. 2014, 20, 23–31. [Google Scholar] [CrossRef]
- Uraz, T.; Özer, B.H. Molds Employed in Food Processing. In Encyclopedia of Food Microbiology, 2nd ed.; Batt, C.A., Tortello, M.-R., Eds.; Academic Press: Cambridge, UK, 2014; pp. 522–528. [Google Scholar]
- Hudecová, A.; Valík, Ľ.; Liptáková, D. Surface growth of Geotrichum candidum: Effect of the environmental factors on its dynamics. Slovak J. Food Sci. 2011, 5, 17–22. [Google Scholar] [CrossRef]
- Pérez-Rodríguez, F.; Valero, A. Predictive Microbiology in Foods, 5th ed.; Springer Science+Business Media: New York, NY, USA, 2013; pp. 25–55. [Google Scholar]
- Choi, W.S.; Son, N.; Cho, J.I.; Joo, I.S.; Han, J.A.; Kwak, H.S.; Hong, J.H.; Suh, S.H. Predictive model of Staphylococcus aureus growth on egg products. Food Sci. Biotechnol. 2019, 28, 913–922. [Google Scholar] [CrossRef]
- Garcia, D.; Ramos, A.J.; Sanchis, V.; Marín, S. Modelling the effect of temperature and water activity in the growth boundaries of Aspergillus ochraceus and Aspergillus parasiticus. Food Microbiol. 2011, 28, 406–417. [Google Scholar] [CrossRef]
- Gougouli, M.; Koutsoumanis, K.P. Modelling growth of Penicillium expansum and Aspergillus niger at constant and fluctuating temperature conditions. Int. J. Food Microbiol. 2010, 140, 254–262. [Google Scholar] [CrossRef]
- Romero-Gil, V.; Bautista-Gallego, J.; Rodríguez-Gómez, F.; García-García, P.; Jiménez-Díaz, R.; Garrido-Fernández, A.; Arroyo-López, F.N. Evaluating the individual effects of temperature and salt on table olive related microorganisms. Food Microbiol. 2013, 33, 178–184. [Google Scholar] [CrossRef]
- Ross, T.; Dalgaard, P.; Tienungoon, S. Predictive modelling of the growth and survival of Listeria in fishery products. Int. J. Food Microbiol. 2000, 62, 231–245. [Google Scholar] [CrossRef]
- Medveďová, A.; Šipošová, P.; Mančušková, T.; Valík, Ľ. The effect of salt and temperature on the growth of Fresco culture. Fermentation 2019, 5, 2. [Google Scholar] [CrossRef]




| T (°C) | NaCl (%) | µmax (h−1) | λ (h) | Nmax (log CFU·mL−1) |
|---|---|---|---|---|
| 6 | 0 | 0.051 ± 0.000 a,x | 70.0 ± 1.46 a,x | 5.01 ± 0.05 a,x |
| 1 | 0.049 ± 0.003 m,x | 66.2 ± 1.06 m,y | 5.32 ± 0.02 a,y | |
| 8 | 0 | 0.060 ± 0.000 b,x | 41.5 ± 0.13 b,x | 4.87 ± 0.12 a,x |
| 1 | 0.043 ± 0.004 m,y | 37.2 ± 2.97 n,x | 5.43 ± 0.18 a,y | |
| 12 | 0 | 0.106 ± 0.000 c,x | 17.3 ± 1.65 c,x | 5.44 ± 0.08 b,x |
| 1 | 0.166 ± 0.017 n,y | 36.1 ± 3.79 n,y | 5.45 ± 0.01 a,x | |
| 15 | 0 | 0.157 ± 0.008 d,x | 30.5 ± 0.59 d,x | 4.61 ± 0.11 c,x |
| 1 | 0.145 ± 0.007 n,x | 21.4 ± 0.51 o,y | 5.59 ± 0.06 b,y | |
| 18 | 0 | 0.219 ± 0.002 e,x | 8.8 ± 0.03 e,x | 4.84 ± 0.04 d,x |
| 1 | 0.199 ± 0.021 o,x | 15.1 ± 2.33 p,y | 5.26 ± 0.21 c,y | |
| 21 | 0 | 0.266 ± 0.011 f,x | 8.5 ± 0.78 e,x | 4.93 ± 0.07 d,x |
| 1 | 0.267 ± 0.005 p,x | 9.7 ± 0.32 q,x | 5.23 ± 0.09 c,y | |
| 25 | 0 | 0.315 ± 0.004 g,x | 5.2 ± 0.38 f,x | 4.40 ± 0.00 e,x |
| 1 | 0.300 ± 0.008 q,y | 7.7 ± 0.20 r,y | 5.28 ± 0.03 c,y | |
| 30 | 0 | 0.359 ± 0.005 h,x | 4.6 ± 0.57 f,x | 4.18 ± 0.00 f,x |
| 1 | 0.265 ± 0.008 r,y | 4.3 ± 0.18 s,x | 5.57 ± 0.08 d,y | |
| 34 | 0 | 0.293 ± 0.005 i,x | 8.0 ± 1.40 g,x | 3.92 ± 0.02 g,x |
| 1 | 0.254 ± 0.019 r,y | 4.8 ± 0.93 s,y | 4.94 ± 0.12 e,y | |
| 37 | 0 | −0.285 ± 0.017 j,x | 20.1 ± 1.08 h,x | - |
| 1 | −0.108 ± 0.007 s,y | 13.3 ± 3.89 t,y | - |
| 0% NaCl | 1% NaCl | |||
|---|---|---|---|---|
| Model | CM1/λ | CMµ | CM1/λ | CMµ |
| Tmin (°C) | −0.81 ± 0.01 | 0 (fixed) | −3.75 ± 0.05 | 0 (fixed) |
| Topt (°C) | 30.32 ± 0.27 | 28.00 ± 0.06 | 34.63 ± 0.44 | 28.27 ± 0.14 |
| Tmax (°C) | 35.21 ± 0.03 | 35.20 ± 0.05 | 37.17 ± 0.12 | 36.62 ± 0.12 |
| 1/λopt (h−1) | 0.229 ± 0.022 | - | 0.202 ± 0.029 | - |
| µopt (h−1) | - | 0.358 ± 0.008 | - | 0.325 ± 0.016 |
| Model | % NaCl | R2 | RMSE | Af | Bf | |
|---|---|---|---|---|---|---|
| Primary models | BR | 0 | 0.985–0.997 | 0.092–0.027 | - | - |
| 1 | 0.966–0.999 | 0.166–0.062 | - | - | ||
| Secondary models | CM1/λ | 0 | 0.983 | 0.127 | 1.116 | 1.007 |
| 1 | 0.926 | 0.238 | 1.237 | 0.998 | ||
| CMµ | 0 | 0.981 | 0.015 | 1.259 | 0.902 | |
| 1 | 0.888 | 0.035 | 1.296 | 0.909 |
Publisher’s Note: MDPI stays neutral with regard to jurisdictional claims in published maps and institutional affiliations. |
© 2021 by the authors. Licensee MDPI, Basel, Switzerland. This article is an open access article distributed under the terms and conditions of the Creative Commons Attribution (CC BY) license (https://creativecommons.org/licenses/by/4.0/).
Share and Cite
Šipošová, P.; Koňuchová, M.; Valík, Ľ.; Trebichavská, M.; Medveďová, A. Quantitative Characterization of Geotrichum candidum Growth in Milk. Appl. Sci. 2021, 11, 4619. https://doi.org/10.3390/app11104619
Šipošová P, Koňuchová M, Valík Ľ, Trebichavská M, Medveďová A. Quantitative Characterization of Geotrichum candidum Growth in Milk. Applied Sciences. 2021; 11(10):4619. https://doi.org/10.3390/app11104619
Chicago/Turabian StyleŠipošová, Petra, Martina Koňuchová, Ľubomír Valík, Monika Trebichavská, and Alžbeta Medveďová. 2021. "Quantitative Characterization of Geotrichum candidum Growth in Milk" Applied Sciences 11, no. 10: 4619. https://doi.org/10.3390/app11104619
APA StyleŠipošová, P., Koňuchová, M., Valík, Ľ., Trebichavská, M., & Medveďová, A. (2021). Quantitative Characterization of Geotrichum candidum Growth in Milk. Applied Sciences, 11(10), 4619. https://doi.org/10.3390/app11104619

