A Fault Feature Extraction Method Based on Second-Order Coupled Step-Varying Stochastic Resonance for Rolling Bearings
Abstract
Featured Application
Abstract
1. Introduction
2. Fundamental Theory
2.1. Second-Order Coupled Stochastic Resonance System Model
2.2. Measure Index
2.3. SCSSR Algorithm Flow
- Signal preprocessing: The obtained vibration signal is preprocessed; The resonance band of the vibration signal is found through power spectrum analysis; And band-pass filtering and Hilbert transform (HT) are carried out; Finally we can get the envelope signal , , , and ; is the input signal. The above operations ensure that is the signal with amplitude less than 1.
- System parameters initialization: Determine the maximum number of iterations and population size of SOA. Set the optimization range of five parameters.
- Take the output SNR as the fitness function of SOA.
- Record the number of iterations. If it reaches the maximum number of iterations, proceed to the next step; if it does not, return to the previous step.
- Record the maximum output SNR and get the values of the five parameters at this time.
- Weak signal detection: The preprocessed signal is introduced into the determined parameter SCSSR system to get the output. Recombine the frequency and amplitude to complete the detection of a weak signal.
3. Simulation Data Analysis
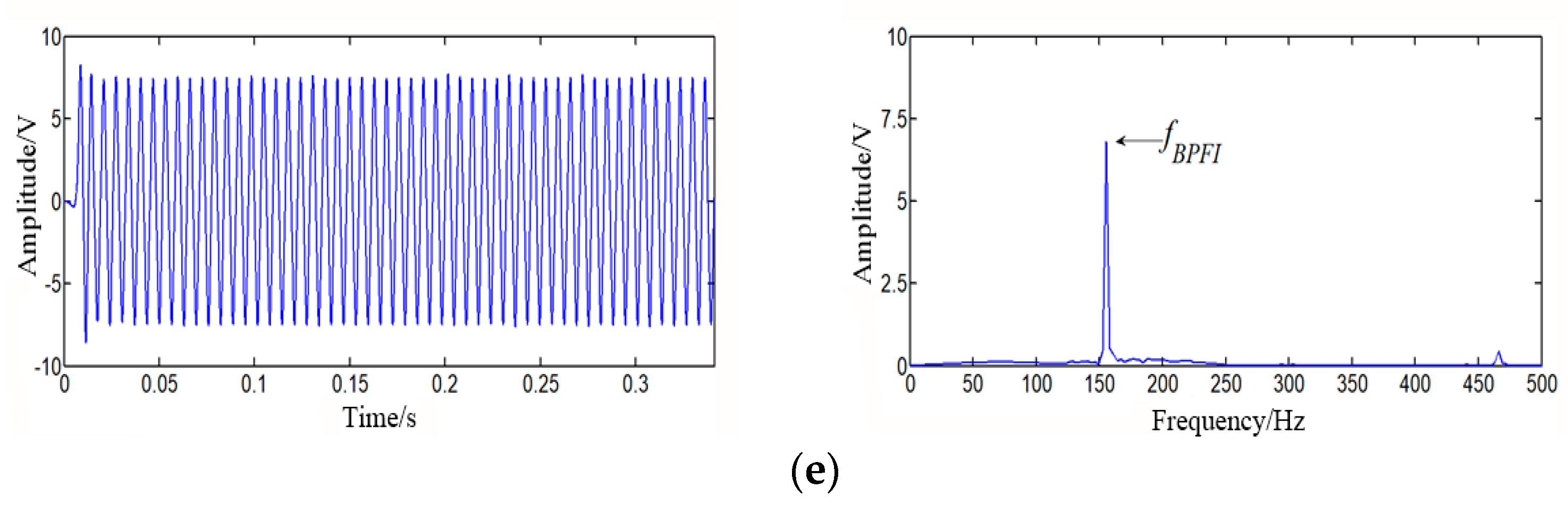
4. Engineering Applications
5. Conclusions
- For large-parameter signals, combined with the variable-scale method, the SCSSR system can detect weak signals.
- SOA is used to determine model parameters of the SCSSR system with the output SNR as its fitness function.
- Simulation and engineering data show that the SCSSR has better filtering performance and higher output SNR than the traditional SR method.
Author Contributions
Funding
Conflicts of Interest
References
- Lei, Y.; Kong, D.; Lin, J.; Zuo, M. Fault detection of planetary gearboxes using new diagnostic parameters. Meas. Sci. Technol. 2012, 23, 055605. [Google Scholar] [CrossRef]
- Zhao, H.; Li, D.; Deng, W.; Yang, X.H. Research on vibration suppression method of alternating current motor based on fractional order control strategy. P. I. Mech. Eng. E-J Pro 2017, 231, 786–799. [Google Scholar] [CrossRef]
- Zheng, J.; Yuan, Y.; Zou, L.; Deng, W.; Guo, C.; Zhao, H. Study on a novel fault diagnosis method based on VMD and BLM. Symmetry 2019, 11, 747. [Google Scholar] [CrossRef]
- Deng, W.; Liu, H.; Xu, J.; Zhao, H.; Song, Y. An improved quantum-inspired differential evolution algorithm for deep belief network. IEEE Trans. Instrum. Meas. 2020. [Google Scholar] [CrossRef]
- He, Z.; Shao, H.; Zhang, X.; Cheng, J.; Yang, Y. Improved deep transfer auto-encoder for fault diagnosis of gearbox under variable working conditions with small training samples. IEEE Access 2019, 7, 115368–115377. [Google Scholar] [CrossRef]
- Zhao, H.; Zuo, S.; Hou, M.; Liu, W.; Yu, L.; Yang, X.; Deng, W. A novel adaptive signal processing method based on enhanced empirical wavelet transform technology. Sensors 2018, 18, 3323. [Google Scholar] [CrossRef]
- Luo, J.; Chen, H.; Heidari, A.A.; Xu, Y.; Zhang, Q.; Li, C. Multi-strategy boosted mutative whale-inspired optimization approaches. Appl. Math. Model. 2019, 73, 109–123. [Google Scholar] [CrossRef]
- Stępień, K.; Makieła, W.; Stoić, A.; Samardžić, I. Defining the criteria to select the wavelet type for the assessment of surface quality. Tech. Gaz. 2015, 22, 781–784. [Google Scholar] [CrossRef]
- Liu, Y.Q.; Wang, X.X.; Zhai, Z.G. Timely daily activity recognition from headmost sensor events. ISA Trans. 2019, 94, 379–390. [Google Scholar] [CrossRef]
- Meng, L.; Xiang, J.; Zhong, Y.; Song, W. Fault diagnosis of rolling bearing based on second generation wavelet denoising and morphological filter. J. Mech. Sci. Technol. 2015, 29, 3121–3129. [Google Scholar] [CrossRef]
- Zhao, H.; Zheng, J.; Deng, W.; Song, Y. Semi-supervised broad learning system based on manifold regularization and broad network. IEEE Trans. Circuits Syst. I 2020, 67, 983–994. [Google Scholar] [CrossRef]
- Xu, Y.Y.; Meng, Z.P.; Lu, M. Fault diagnosis of rolling bearing based on dual-tree complex wavelet packet transform. Trans. Chin. Soc. Agric. Eng. 2013, 29, 49–56. [Google Scholar]
- Li, T.; Shi, J.; Li, X. Image encryption based on pixel-level diffusion with dynamic filtering and DNA-level permutation with 3D Latin cubes. Entropy 2019, 21, 319. [Google Scholar] [CrossRef]
- Xu, Y.; Chen, H.; Luo, J. Enhanced Moth-flame optimizer with mutation strategy for global optimization. Inf. Sci. 2019, 492, 181–203. [Google Scholar] [CrossRef]
- Zhao, H.; Liu, H.; Xu, J.; Deng, W. Performance prediction using high-order differential mathematical morphology gradient spectrum entropy and extreme learning machine. IEEE Trans. Instrum. Meas. 2019. [Google Scholar] [CrossRef]
- Xu, Y.; Chen, H.; Heidari, A.A. An efficient chaotic mutative moth-flame-inspired optimizer for global optimization tasks. Expert Syst. Appl. 2019, 129, 135–155. [Google Scholar] [CrossRef]
- Qiao, Z.J.; Lei, Y.G.; Lin, J.; Jia, F. An adaptive unsaturated bistable stochastic resonance method and its application in mechanical fault diagnosis. Mech. Syst. Signal Process. 2017, 84, 731–746. [Google Scholar] [CrossRef]
- Li, Z.X.; Liu, X.D.; Wang, X.R.; He, T.; Shan, Y.C. A multi-parameter constrained potential underdamped stochastic resonance method and its application for weak fault diagnosis. J. Sound Vib. 2019, 459, 114862. [Google Scholar] [CrossRef]
- Benzi, R.; Sutera, A.; Vulpiani, A. The mechanism of SR. J. Phys. A Math. Gen. 1981, 14, 453–457. [Google Scholar] [CrossRef]
- Gammaitoni, L.; Hänggi, P.; Jung, P.; Marchesoni, F. Stochastic resonance. Rev. Mod. Phys. 1998, 70, 223–287. [Google Scholar] [CrossRef]
- Lu, L.; Yuan, Y.; Wang, H.; Zhao, X.; Zheng, J.J. A new second-order tristable stochastic resonance method for fault diagnosis. Symmetry 2019, 11, 965. [Google Scholar] [CrossRef]
- Lu, S.; He, Q.; Yuan, T.; Kong, F. Online fault diagnosis of motor bearing via stochastic-resonance-based adaptive filter in an embedded system. IEEE Trans. Syst. Man Cybern. Syst. 2017, 47, 1111–1122. [Google Scholar] [CrossRef]
- Gammaitoni, L. Stochastic resonance and the dithering effect in threshold physical systems. Phys. Rev. E 1995, 52, 4691–4698. [Google Scholar] [CrossRef] [PubMed]
- Li, T.; Qian, Z.; He, T. Short-term load forecasting with improved CEEMDAN and GWO-based multiple kernel ELM. Complexity 2020, 1209547. [Google Scholar] [CrossRef]
- Liu, Y.; Mu, Y.; Chen, K. Daily activity feature selection in smart homes based on pearson correlation coefficient. Neural Process. Lett. 2020, 1–17. [Google Scholar] [CrossRef]
- Shao, H.; Cheng, J.; Jiang, H.; Yang, Y.; Wu, Z. Enhanced deep gated recurrent unit and complex wavelet packet energy moment entropy for early fault prognosis of bearing. Knowl. Based Syst. 2020, 188, 105022. [Google Scholar]
- Barbay, S.; Giacomelli, G.; Marin, F. Stochastic resonance in vertical cavity surface emitting lasers. Phys. Rev. E 2000, 61, 157–166. [Google Scholar] [CrossRef]
- Wang, Z.; Ren, X.; Ji, Z.; Huang, W.; Wu, T. A novel bio-heuristic computing algorithm to solve the capacitated vehicle routing problem based on Adleman–Lipton model. Biosystems 2019, 184, 103997. [Google Scholar] [CrossRef]
- Deng, W.; Li, W.; Yang, X.H. A novel hybrid optimization algorithm of computational intelligence techniques for highway passenger volume prediction. Expert Syst. Appl. 2011, 38, 4198–4205. [Google Scholar] [CrossRef]
- Fu, H.L.; Wang, M.M.; Li, P. Tracing knowledge development trajectories of the internet of things domain: A main path analysis. IEEE Trans. Ind. Inf. 2019, 15, 6531–6540. [Google Scholar] [CrossRef]
- Wang, Z.; Ji, Z.; Wang, X.; Wu, T.; Huang, W. A new parallel DNA algorithm to solve the task scheduling problem based on inspired computational model. Biosyst. 2017, 162, 59–65. [Google Scholar] [CrossRef]
- Chen, H.; Zhang, Q.; Luo, J. An enhanced Bacterial Foraging Optimization and its application for training kernel extreme learning machine. Appl. Soft Comput. 2020, 86, 105884. [Google Scholar] [CrossRef]
- Xue, Y.; Xue, B.; Zhang, M. Self-adaptive particle swarm optimization for large-scale feature selection in classification. ACM Trans. Knowl. Discov. Data 2019, 13, 50. [Google Scholar] [CrossRef]
- Deng, W.; Xu, J.; Song, Y.; Zhao, H. An effective improved co-evolution ant colony optimization algorithm with multi-strategies and its application. Int. J. Bio-Inspired Comput. 2019, 1–10. [Google Scholar]
- Liu, X.J.; Liu, X.D.; Luo, X. Impact of Different policy instruments on diffusing energy consumption monitoring technology in public buildings: Evidence from Xi’an, China. J. Clean. Prod. 2020, 251, 119693. [Google Scholar] [CrossRef]
- Borges, R.R.; Borges, F.S.; Lameu, E.L.; Batista, A.M.; Iarosz, K.C.; Caldas, I.L.; Viana, R.L.; Sanjuán, M.A.F. Effects of the spike timing-dependent plasticity on the synchronisation in a random Hodgkin-Huxley neuronal network. Commun. Nonlinear Sci. Numer. Simul. 2016, 34, 12–22. [Google Scholar] [CrossRef]
- Deng, W.; Xu, J.; Zhao, H. An improved ant colony optimization algorithm based on hybrid strategies for scheduling problem. IEEE Access 2019, 7, 20281–20292. [Google Scholar] [CrossRef]
- Deng, W.; Zhao, H.; Yang, X.; Xiong, J.; Sun, M.; Li, B. Study on an improved adaptive PSO algorithm for solving multi-objective gate assignment. Appl. Soft Comput. 2017, 59, 288–302. [Google Scholar] [CrossRef]
- Chen, R.; Guo, S.K.; Wang, X.Z.; Zhang, T.L. Fusion of multi-RSMOTE with fuzzy integral to classify bug reports with an imbalanced distribution. IEEE Trans. Fuzzy Syst. 2019, 27, 2406–2420. [Google Scholar] [CrossRef]
- Deng, W.; Zhao, H.M.; Zou, L.; Li, G.; Yang, X.; Wu, D. A novel collaborative optimization algorithm in solving complex optimization problems. Soft Comput. 2017, 21, 4387–4398. [Google Scholar] [CrossRef]
- Yang, H.; Gong, S.S.; Liu, Y.Q.; Lin, Z.K.; Qu, Y. A multi-task learning model for daily activity forecast in smart home. Sensors 2020, 20, 1933. [Google Scholar] [CrossRef]
- Chapeau-Blondeau, F. Periodic and aperiodic stochastic resonance with output signal-to-noise ratio exceeding that at the input. Int. J. Bifurc. Chaos 1999, 9, 267–272. [Google Scholar] [CrossRef]
- Chapeau-Blondeau, F.; Godivier, X. Theory of stochastic resonance in signal transmission by static nonlinear systems. Phys. Rev. E 1997, 55, 1478–1495. [Google Scholar] [CrossRef]
- Lu, S.; He, Q.; Hu, F.; Kong, F. Sequential multiscale noise tuning stochastic resonance for train bearing fault diagnosis in an embedded system. IEEE Trans. Instrum. Meas. 2014, 63, 106–116. [Google Scholar] [CrossRef]
- Leng, Y.; Wang, T. Numerical research of twice sampling SR for the detection of a weak signal submerged in a heavy Noise. Acta Phys. Sin. 2003, 52, 2432–2437. [Google Scholar]
- Tan, J.Y.; Chen, X.F.; Wang, J.Y.; Chen, H.X.; Cao, H.R.; Zi, Y.Y.; He, Z.J. Study of frequency-shifted and re-scaling SR and its application to fault diagnosis. Mech. Syst. Signal Process. 2009, 23, 811–822. [Google Scholar] [CrossRef]
- Zhang, Z.; Wang, D.; Wang, T.; Lin, J.; Jiang, Y. Self-adaptive step-changed stochastic resonance using particle swarm optimization. J. Vib. Shock 2013, 32, 125–130. [Google Scholar]
- Lei, Y.; Han, D.; Lin, J.; He, Z.; Tan, J. New Adaptive SR Method and Its Application to Fault Diagnosis. Chin. J. Mech. Eng. 2012, 48, 62–67. [Google Scholar] [CrossRef]
- Lu, S.; He, Q.; Kong, F. Effects of underdamped step-varying second-order SR for weak signal detection. Digit. Signal Process. 2015, 36, 93–103. [Google Scholar] [CrossRef]
- Luo, Y. Adaptive second-order bistable SR method and its application in weak characteristic enhance detection. China Meas. Test 2017, 43, 31–36. [Google Scholar]
- Lei, Y.; Qiao, Z.; Xu, Z.; Lin, J.; Niu, S. An underdamped SR method with stable-state matching for incipient fault diagnosis of rolling element bearings. Mech. Syst. Signal Process. 2017, 94, 148–164. [Google Scholar] [CrossRef]
- Zhang, J.; Lin, M. Detection of bearing fault signals based on coupled Bistable system SR. J. China Univ. Metrol. 2014, 25, 51–56. [Google Scholar] [CrossRef]
- Li, J.M.; Zhang, J.F.; Li, M.; Zhang, Y.G. A novel adaptive stochastic resonance method based on coupled bistable systems and its application in rolling bearing fault diagnosis. Mech. Syst. Signal Process. 2019, 114, 128–145. [Google Scholar] [CrossRef]
- Lu, S.; He, Q.; Zhang, H.; Kong, F. Enhanced rotating machine fault diagnosis based on time-delayed feedback SR. ASME J. Vib. Acoust. 2015, 137, 051008. [Google Scholar] [CrossRef]
- Zhu, W.; Lin, M. Method of adaptive SR for bearing fault detection based on artificial fish swarm algorithm. J. Vib. Shock 2014, 33, 143–147. [Google Scholar]
- Yu, S.; Cao, Z. Optimization Parameters of PID Controller Parameters Based on Seeker Optimization Algorithm. Comput. Simul. 2014, 31, 347–350. [Google Scholar]
- Yu, S.; Ding, J.; Cao, Z. Improved seeker optimization algorithm application in weld image segmentation. J. Railw. Sci. Eng. 2015, 12, 12,1471–1477. [Google Scholar]
- Loparo, K.A. Case Western Reserve University Bearing Data Center. Available online: http://csegroups.case.edu/bearingdatacenter/home (accessed on 25 January 2015).






| Inner Diameter | Outer Ring Diameter | Number of Rollers | Rolling Element Diameter | Pitch Distance |
|---|---|---|---|---|
| 2.5001 cm | 5.1999 cm | 9 | 0.794 cm | 3.904 cm |
© 2020 by the authors. Licensee MDPI, Basel, Switzerland. This article is an open access article distributed under the terms and conditions of the Creative Commons Attribution (CC BY) license (http://creativecommons.org/licenses/by/4.0/).
Share and Cite
Lu, L.; Yuan, Y.; Chen, C.; Deng, W. A Fault Feature Extraction Method Based on Second-Order Coupled Step-Varying Stochastic Resonance for Rolling Bearings. Appl. Sci. 2020, 10, 2602. https://doi.org/10.3390/app10072602
Lu L, Yuan Y, Chen C, Deng W. A Fault Feature Extraction Method Based on Second-Order Coupled Step-Varying Stochastic Resonance for Rolling Bearings. Applied Sciences. 2020; 10(7):2602. https://doi.org/10.3390/app10072602
Chicago/Turabian StyleLu, Lu, Yu Yuan, Chen Chen, and Wu Deng. 2020. "A Fault Feature Extraction Method Based on Second-Order Coupled Step-Varying Stochastic Resonance for Rolling Bearings" Applied Sciences 10, no. 7: 2602. https://doi.org/10.3390/app10072602
APA StyleLu, L., Yuan, Y., Chen, C., & Deng, W. (2020). A Fault Feature Extraction Method Based on Second-Order Coupled Step-Varying Stochastic Resonance for Rolling Bearings. Applied Sciences, 10(7), 2602. https://doi.org/10.3390/app10072602
