Dual Thermal-/Electrical-Responsive Luminescent ‘Smart’ Window
Abstract
Featured Application
Abstract
1. Introduction
2. Materials and Methods
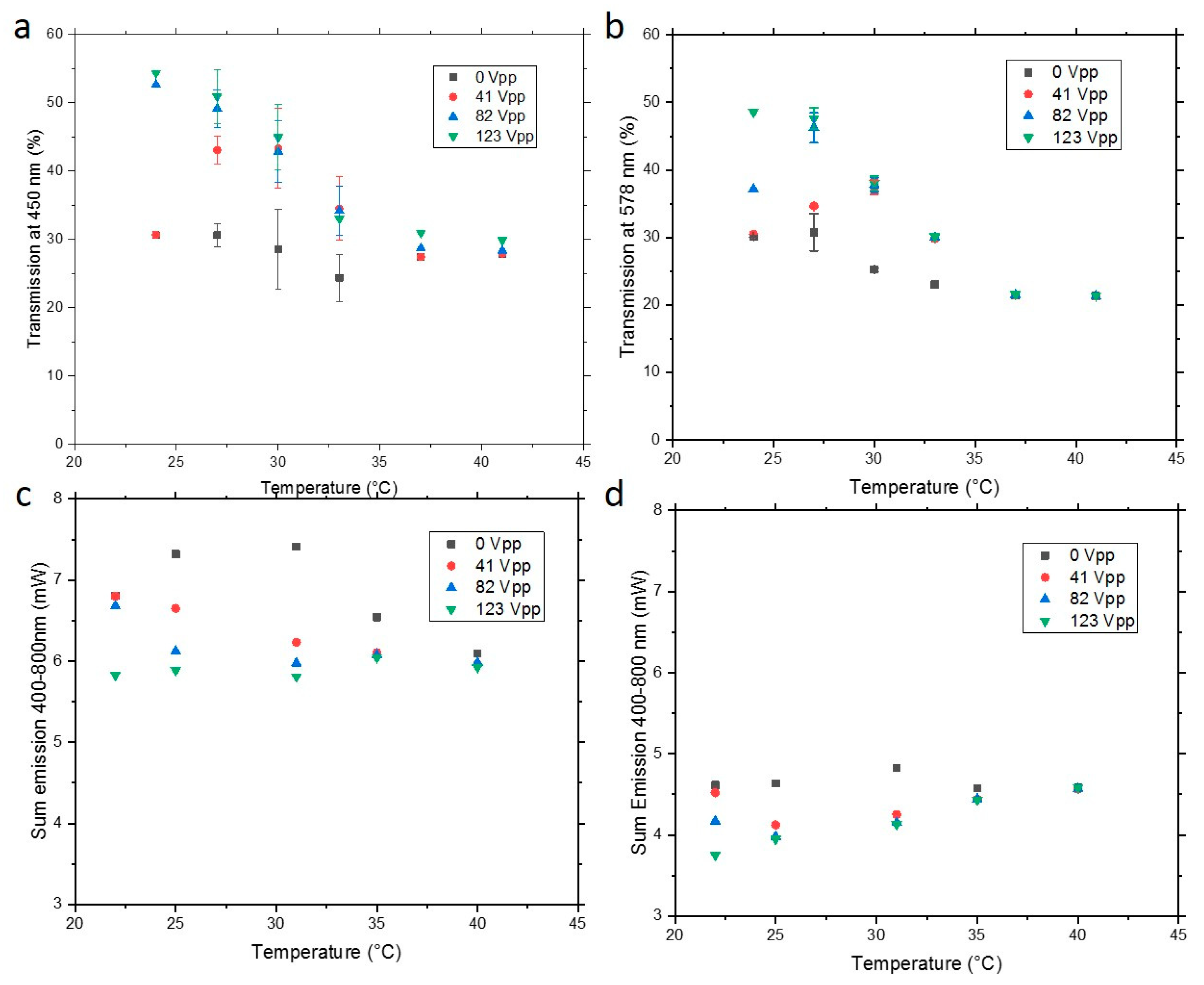
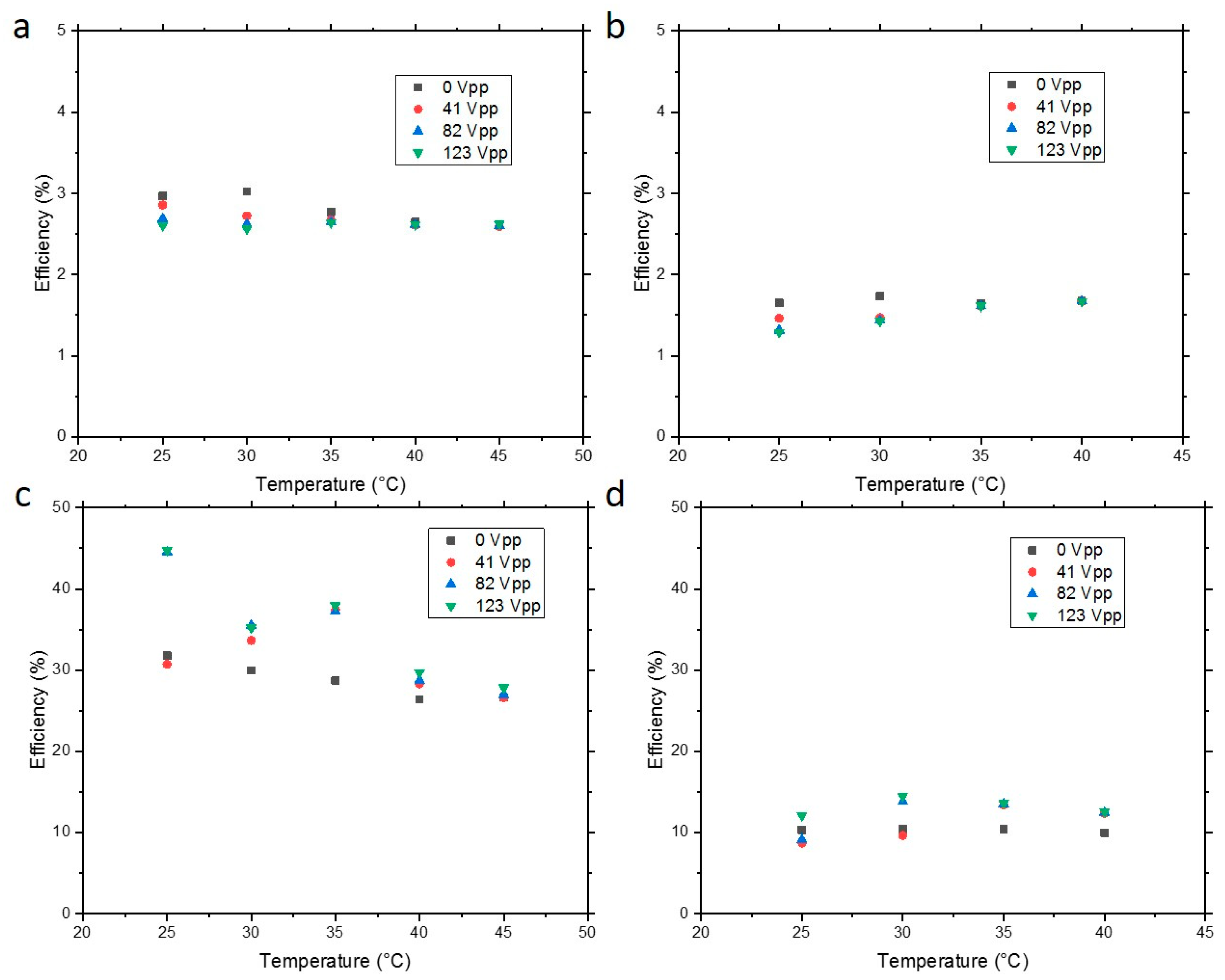
3. Results
4. Discussion
Supplementary Materials
Author Contributions
Funding
Conflicts of Interest
References
- Baldwin, S.; Bindewald, G.; Brown, A.; Chen, C.; Cheung, K.; Clark, C.; Cresko, J.; Crozat, M.; Daniels, J.; Edmonds, J. Quadrennial Technology Review: An Assessment of Energy Technologies and Research Opportunities; Technical Report; US Department of Energy: Washington, DC, USA, 2015.
- Pérez-Lombard, L.; Ortiz, J.; Pout, C. A review on buildings energy consumption information. Energy Build. 2008, 40, 394–398. [Google Scholar] [CrossRef]
- Ke, Y.; Chen, J.; Lin, G.; Wang, S.; Zhou, Y.; Yin, J.; Lee, P.S.; Long, Y. Smart Windows: Electro-, Thermo-, Mechano-, Photochromics, and Beyond. Adv. Energy Mater. 2019, 9, 1902066. [Google Scholar] [CrossRef]
- Khandelwal, H.; Loonen, R.C.G.M.; Hensen, J.L.M.; Debije, M.G.; Schenning, A.P.H.J. Electrically switchable polymer stabilised broadband infrared reflectors and their potential as smart windows for energy saving in buildings. Sci. Rep. 2015, 5, 11773. [Google Scholar] [CrossRef] [PubMed]
- Oh, S.-W.; Kim, S.-H.; Yoon, T.-H. Control of Transmittance by Thermally Induced Phase Transition in Guest-Host Liquid Crystals. Adv. Sustain. Syst. 2018, 2018, 1800066. [Google Scholar] [CrossRef]
- Oh, S.W.; Kim, S.H.; Yoon, T.H. Thermal control of transmission property by phase transition in cholesteric liquid crystals. J. Mater. Chem. C 2018, 6, 6520–6525. [Google Scholar] [CrossRef]
- Zhang, Y.; Tso, C.Y.; Iñigo, J.S.; Liu, S.; Miyazaki, H.; Chao, C.Y.H.; Yu, K.M. Perovskite thermochromic smart window: Advanced optical properties and low transition temperature. Appl. Energy 2019, 254, 113690. [Google Scholar] [CrossRef]
- Khandelwal, H.; Debije, M.G.; White, T.J.; Schenning, A.P.H.J. Electrically tunable infrared reflector with adjustable bandwidth broadening up to 1100 nm. J. Mater. Chem. A 2016, 4, 6064–6069. [Google Scholar] [CrossRef]
- Binet, C.; Mitov, M.; Mauzac, M. Switchable broadband light reflection in polymer-stabilized cholesteric liquid crystals. J. Appl. Phys. 2001, 90, 1730–1734. [Google Scholar] [CrossRef]
- Talukder, J.R.; Lee, Y.-H.; Wu, S.-T. Photo-responsive dye-doped liquid crystals for smart windows. Opt. Express 2019, 27, 4480. [Google Scholar] [CrossRef]
- Goda, K.; Omori, M.; Takatoh, K. Optical switching in guest–host liquid crystal devices driven by photo- and thermal isomerisation of azobenzene. Liq. Cryst. 2017, 45, 485–490. [Google Scholar] [CrossRef]
- Oh, S.-W.; Kim, S.-H.; Baek, J.-M.; Yoon, T.-H. Optical and Thermal Switching of Liquid Crystals for Self-Shading Windows. Adv. Sustain. Syst. 2018, 2, 1700164. [Google Scholar] [CrossRef]
- Vasiliev, M.; Alameh, K.; Nur-E-Alam, M. Spectrally-Selective Energy-Harvesting Solar Windows for Public Infrastructure Applications. Appl. Sci. 2018, 8, 849. [Google Scholar] [CrossRef]
- Alghamedi, R.; Vasiliev, M.; Nur-E-Alam, M.; Alameh, K. Spectrally-selective all-inorganic scattering luminophores for solar energy-harvesting clear glass windows. Sci. Rep. 2015, 4, 6632. [Google Scholar] [CrossRef] [PubMed]
- Vasiliev, M.; Alghamedi, R.; Nur-E-Alam, M.; Alameh, K. Photonic microstructures for energy-generating clear glass and net-zero energy buildings. Sci. Rep. 2016, 6, 31831. [Google Scholar] [CrossRef]
- Debije, M.G.; Verbunt, P.P.C. Thirty Years of Luminescent Solar Concentrator Research: Solar Energy for the Built Environment. Adv. Energy Mater. 2012, 2, 12–35. [Google Scholar] [CrossRef]
- Mckenna, B.; Evans, R.C. Towards Efficient Spectral Converters through Materials Design for Luminescent Solar Devices. Adv. Mater. 2017, 29, 1606491. [Google Scholar] [CrossRef]
- Earp, A.A.; Smith, G.B.; Franklin, J.; Swift, P. Optimisation of a three-colour luminescent solar concentrator daylighting system. Sol. Energy Mater. Sol. Cells 2004, 84, 411–426. [Google Scholar] [CrossRef]
- Cambié, D.; Zhao, F.; Hessel, V.; Debije, M.G.; Noël, T. A Leaf-Inspired Luminescent Solar Concentrator for Energy-Efficient Continuous-Flow Photochemistry. Angew. Chem. Int. Ed. 2017, 56, 1050–1054. [Google Scholar] [CrossRef]
- Zhao, F.; Cambié, D.; Hessel, V.; Debije, M.G.; Noël, T. Real-time reaction control for solar production of chemicals under fluctuating irradiance. Green Chem. 2018, 20, 2459–2464. [Google Scholar] [CrossRef]
- Makarov, N.S.; Ramasamy, K.; Jackson, A.; Velarde, A.; Castaneda, C.; Archuleta, N.; Hebert, D.; Bergren, M.R.; McDaniel, H. Fiber-Coupled Luminescent Concentrators for Medical Diagnostics, Agriculture, and Telecommunications. ACS Nano 2019, 13, 9112–9121. [Google Scholar] [CrossRef]
- Sol, J.A.H.P.; Timmermans, G.H.; van Breugel, A.J.; Schenning, A.P.H.J.; Debije, M.G. Multistate Luminescent Solar Concentrator “Smart” Windows. Adv. Energy Mater. 2018, 8, 1702922. [Google Scholar] [CrossRef]
- Debije, M.G. Solar Energy Collectors with Tunable Transmission. Adv. Funct. Mater. 2010, 20, 1498–1502. [Google Scholar] [CrossRef]
- Wu, J.; He, D.; Wang, Y.; Su, F.; Guo, Z.; Lin, J.; Zhang, H.-J. Selective Ortho -π-Extension of Perylene Diimides for Rylene Dyes. Org. Lett. 2018, 20, 6117–6120. [Google Scholar] [CrossRef] [PubMed]
- Kahl, P.; Baroni, P.; Noirez, L. Hidden solidlike properties in the isotropic phase of the 8CB liquid crystal. Phys. Rev. E 2013, 88, 050501. [Google Scholar] [CrossRef] [PubMed]
- Lub, J.; Broer, D.J.; Wegh, R.T.; Peeters, E.; van der Zande, B.M. Formation of Optical Films by Photo-Polymerisation of Liquid Crystalline Acrylates and Application of These Films in Liquid Crystal Display Technology. Mol. Cryst. Liq. Cryst. 2005, 429, 77–99. [Google Scholar] [CrossRef]
- Bose, T.K.; Campbell, B.; Yagihara, S.; Thoen, J. Dielectric-relaxation study of alkylcyanobiphenyl liquid crystals using time-domain spectroscopy. Phys. Rev. A 1987, 36, 5767–5773. [Google Scholar] [CrossRef]
- Tummeltshammer, C.; Taylor, A.; Kenyon, A.J.; Papakonstantinou, I. Losses in luminescent solar concentrators unveiled. Sol. Energy Mater. Sol. Cells 2016, 144, 40–47. [Google Scholar] [CrossRef]
- Crooker, P.P.; Yang, D.K. Polymer-dispersed chiral liquid crystal color display. Appl. Phys. Lett. 1990, 57, 2529–2531. [Google Scholar] [CrossRef]
- Kendhale, A.M.; Schenning, A.P.H.J.; Debije, M.G. Superior alignment of multi-chromophoric perylenebisimides in nematic liquid crystals and their application in switchable optical waveguides. J. Mater. Chem. A 2013, 1, 229–232. [Google Scholar] [CrossRef]
- Hemming, S.; Dueck, T.A.; Janse, J.; van Noort, F. The effect of diffuse light on crops. Acta Hortic. 2008, 801, 1293–1300. [Google Scholar] [CrossRef]
- Baumberg, I.; Berezin, O.; Drabkin, A.; Gorelik, B.; Kogan, L.; Voskobojnik, M.; Zaidman, M. Effect of polymer matrix on photo-stability of photo-luminescent dyes in multi-layer polymeric structures. Polym. Degrad. Stab. 2001, 73, 403–410. [Google Scholar] [CrossRef]






| Temperature °C | 24 | 27 | 30 | 33 | 37 | 41 |
|---|---|---|---|---|---|---|
| S, Dye 1 | 0.25 | 0.24 | 0.27 | 0.24 | 0.11 | 0.00 |
| S, Dye 2 | 0.27 | 0.24 | 0.20 | 0.12 | 0.00 | 0.00 |
© 2020 by the authors. Licensee MDPI, Basel, Switzerland. This article is an open access article distributed under the terms and conditions of the Creative Commons Attribution (CC BY) license (http://creativecommons.org/licenses/by/4.0/).
Share and Cite
Timmermans, G.H.; Douma, R.F.; Lin, J.; Debije, M.G. Dual Thermal-/Electrical-Responsive Luminescent ‘Smart’ Window. Appl. Sci. 2020, 10, 1421. https://doi.org/10.3390/app10041421
Timmermans GH, Douma RF, Lin J, Debije MG. Dual Thermal-/Electrical-Responsive Luminescent ‘Smart’ Window. Applied Sciences. 2020; 10(4):1421. https://doi.org/10.3390/app10041421
Chicago/Turabian StyleTimmermans, Gilles H., Robin F. Douma, Jianbin Lin, and Michael G. Debije. 2020. "Dual Thermal-/Electrical-Responsive Luminescent ‘Smart’ Window" Applied Sciences 10, no. 4: 1421. https://doi.org/10.3390/app10041421
APA StyleTimmermans, G. H., Douma, R. F., Lin, J., & Debije, M. G. (2020). Dual Thermal-/Electrical-Responsive Luminescent ‘Smart’ Window. Applied Sciences, 10(4), 1421. https://doi.org/10.3390/app10041421

