Courtyard Sound Field Characteristics by Bell Sounds in Han Chinese Buddhist Temples
Abstract
1. Introduction
2. Research Methods
2.1. The Spatial Characteristics of Han Chinese Buddhist Temples
2.2. An Acoustic Model of Han Chinese Buddhist Temples
2.3. Acoustic Parameter Settings of Simulation Software
3. Results and Discussion
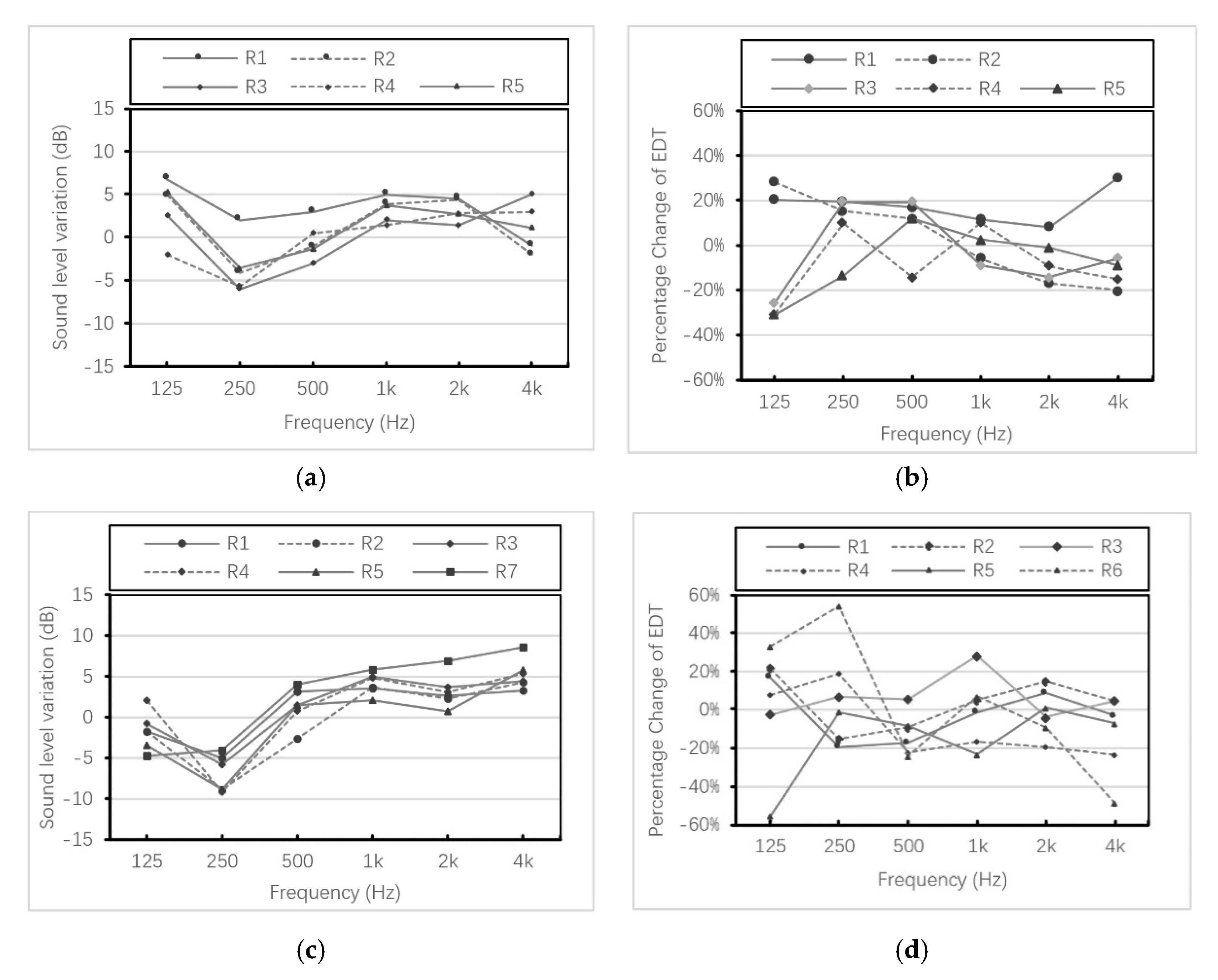
3.1. Height of Courtyard Walls
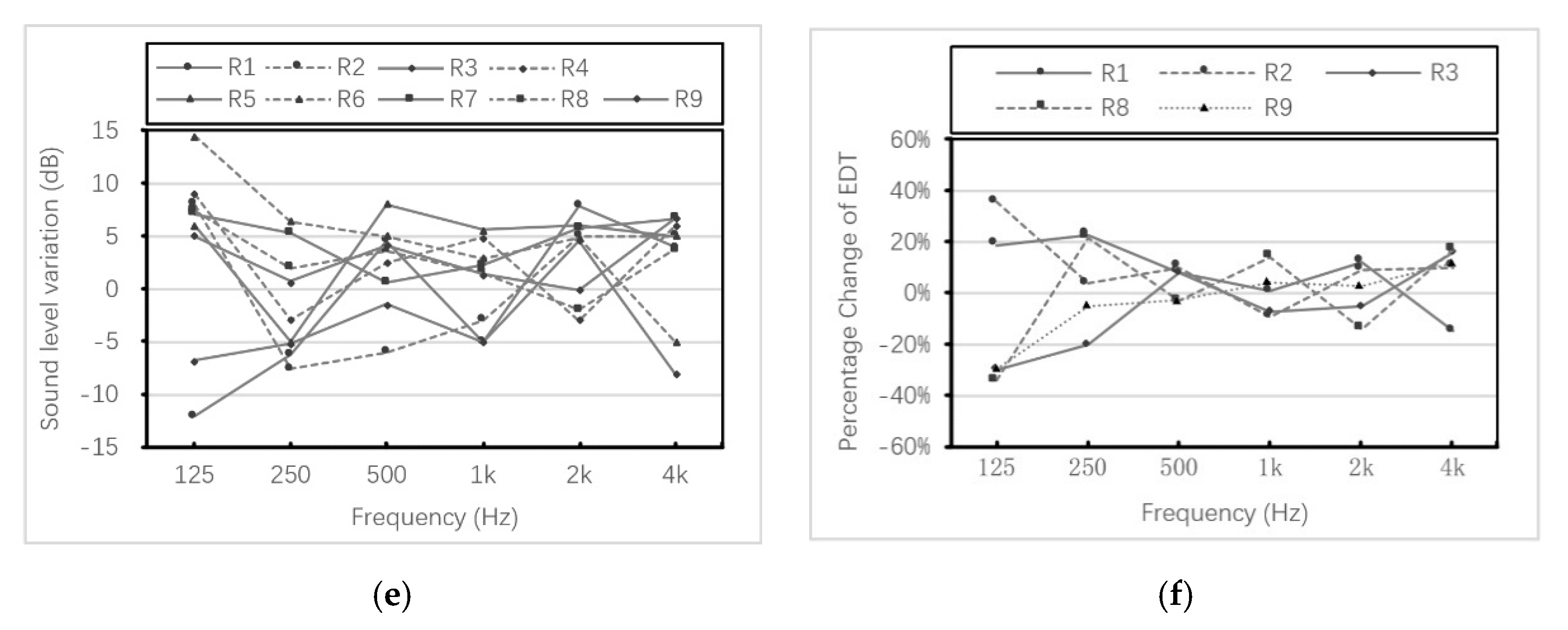
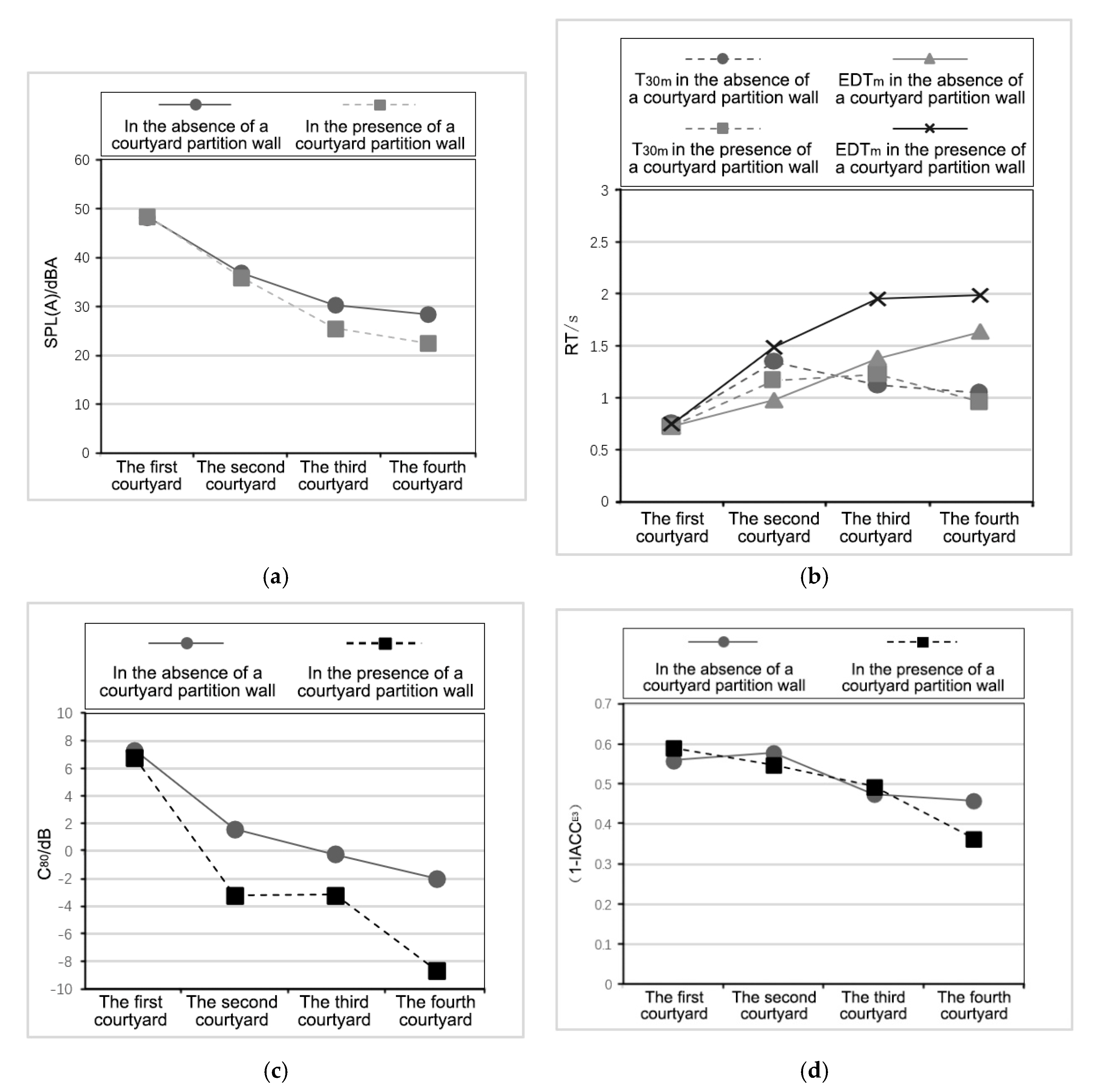
3.2. Courtyard Partition Walls
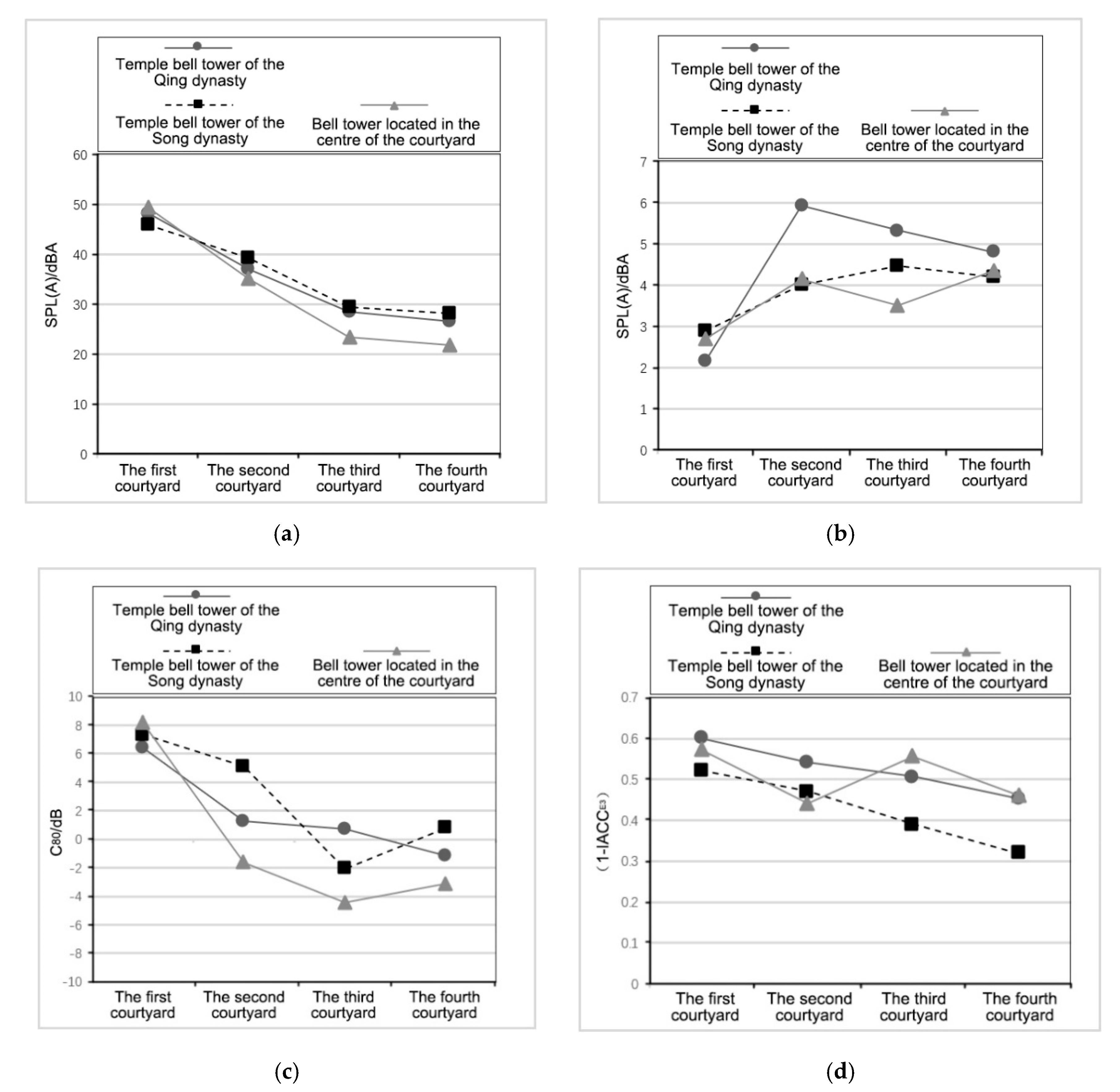
3.3. The Position and Height of the Bell Tower
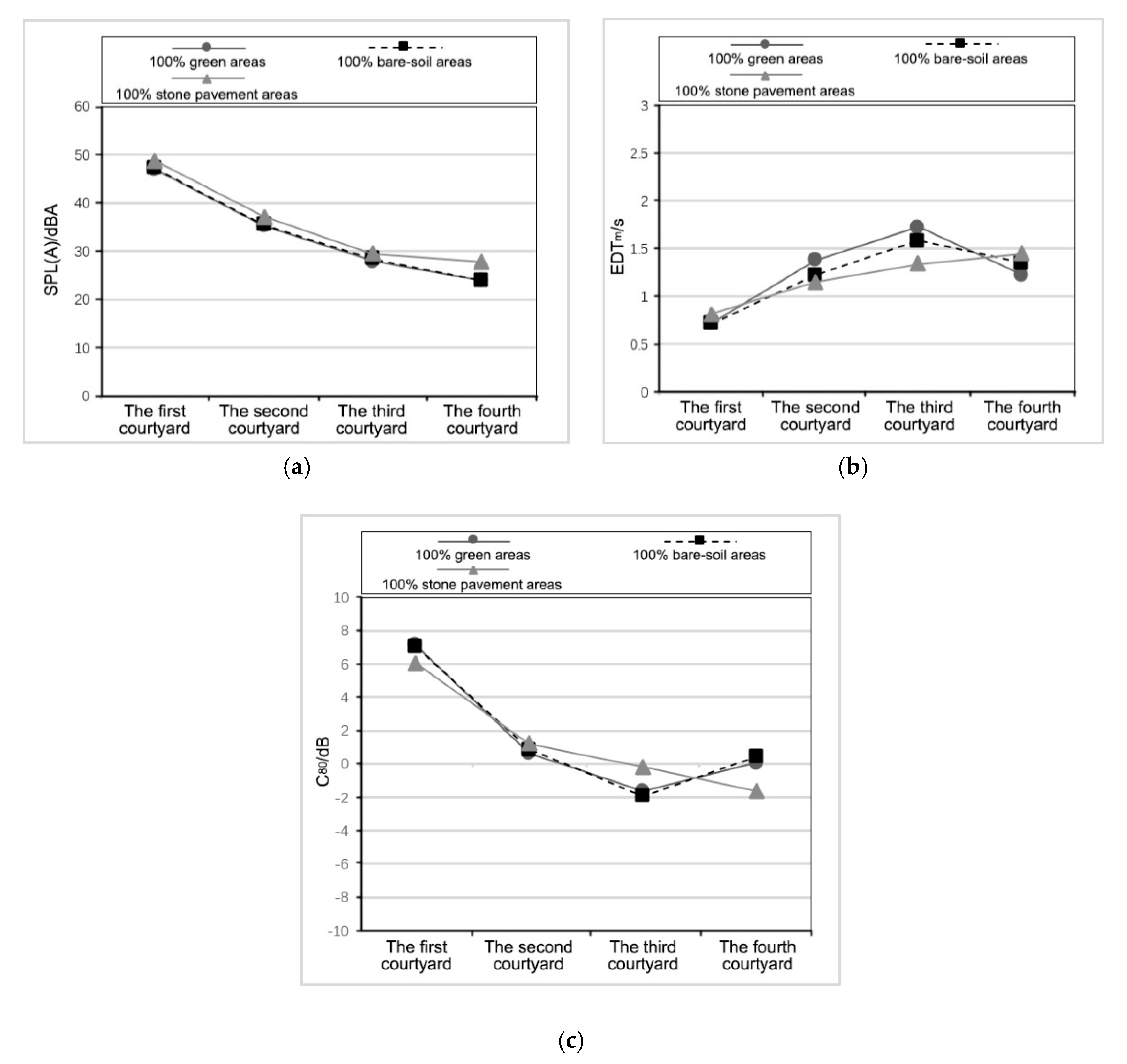
3.4. Courtyard Interface Materials
4. Conclusions
Author Contributions
Funding
Conflicts of Interest
References
- Liu, D. The spatial attributes and basic forms of Chinese traditional courtyards. Lit. Art Stud. 1986, 2, 125–135. [Google Scholar]
- Zhang, D.; Zhang, M.; Liu, D.; Kang, J. Sounds and sound preferences in Han Buddhist temples. Build. Environ. 2018, 142, 58–69. [Google Scholar] [CrossRef]
- Wang, G. Eastern and Western Architectural Space; Baihua Literature & Art Publishing House: Tianjin, China, 2006; p. 171. [Google Scholar]
- Odah, H.; Ismail, A.; Elhemaly, I.; Anderson, N.; Abbas, A.M.; Shaaban, F. Archaeological exploration using magnetic and GPR methods at the first court of Hatshepsut Temple in Luxor, Egypt. Arab. J. Geosci. 2013, 6, 865–871. [Google Scholar] [CrossRef]
- McGovern, S. The Ryoan-ji Zen garden: Textual meanings in topographical form. Vis. Commun. 2004, 3, 344–359. [Google Scholar] [CrossRef]
- Davis, M.J.M.; Tenpierik, M.J.; Ramírez, F.R.; Perez, M.E. More than just a Green Facade: The sound absorption properties of a vertical garden with and without plants. Build. Environ. 2017, 116, 64–72. [Google Scholar] [CrossRef]
- Hedfors, P. Considering the authenticity of the garden soundscape: Preliminary research based on interviews. Gard. Hist. 2004, 32, 281–284. [Google Scholar] [CrossRef]
- Fowler, M. Hearing a shakkei: The semiotics of the audible in a Japanese stroll garden. Semiotica 2013, 197, 101–117. [Google Scholar] [CrossRef][Green Version]
- Fowler, M. Sound as a considered design parameter in the Japanese garden. Stud. Hist. Gard. Des. Lands. 2015, 35, 312–327. [Google Scholar] [CrossRef]
- Wong, N.H.; Tan, A.Y.K.; Tan, P.Y.; Chiang, K.; Wong, N.C. Acoustics evaluation of vertical greenery systems for building walls. Build. Environ. 2010, 45, 411–420. [Google Scholar] [CrossRef]
- Gozalo, G.R.; Morillas, J.M.B.; González, D.M.; Moraga, P.A. Relationships among satisfaction, noise perception, and use of urban green spaces. Sci. Total Environ. 2018, 624, 438–450. [Google Scholar] [CrossRef]
- Bullen, R.; Fricke, F. Sound propagation through vegetation. J. Sound. Vib. 1982, 80, 11–23. [Google Scholar] [CrossRef]
- van der Heijden, L.A.M.; Claessen, V.; de Cock, N. Influence of vegetation on acoustic properties of soils. Oecologia 1983, 56, 226–233. [Google Scholar] [CrossRef] [PubMed]
- Londhe, N.; Rao, M.D.; Blough, J.R. Application of the ISO 13472-1 in situ technique for measuring the acoustic absorption coefficient of grass and artificial turf surfaces. Appl. Acoust. 2009, 70, 129–141. [Google Scholar] [CrossRef]
- Chourmouziadou, K.; Kang, J. Acoustic evolution of ancient Greek and Roman theatres. Appl. Acoust. 2008, 69, 514–529. [Google Scholar] [CrossRef]
- Beranek, L.L.; Hidaka, T. Sound absorption in concert halls by seats, occupied and unoccupied, and by the hall’s interior surfaces. J. Acoust. Soc. Am. 1998, 104, 3169–3177. [Google Scholar] [CrossRef]
- Vassilantonopoulos, S.L.; Mourjopoulos, J.N. A study of ancient Greek and Roman theater acoustics. Acta Acust. United Acust. 2003, 89, 123–136. [Google Scholar]
- Vassilantonopoulos, S.L.; Mourjopoulos, J.M. Virtual acoustic reconstruction of ritual and public spaces of ancient Greece. Acta Acust. United Acust. 2001, 87, 604–609. [Google Scholar]
- Farina, A. Acoustic quality of theatres: Correlations between experimental measures and subjective evaluations. Appl. Acoust. 2001, 62, 889–916. [Google Scholar] [CrossRef]
- Shtrepi, L.; Astolfi, A.; Puglisi, G.; Masoero, M. Effects of the distance from a diffusive surface on the objective and perceptual evaluation of the sound field in a small simulated variable-acoustics hall. Appl. Sci. 2017, 7, 224. [Google Scholar] [CrossRef]
- Bo, E.; Shtrepi, L.; Pelegrín Garcia, D.; Barbato, G.; Aletta, F.; Astolfi, A. The Accuracy of Predicted Acoustical Parameters in Ancient Open-Air Theatres: A Case Study in Syracusae. Appl. Sci. 2018, 8, 1393. [Google Scholar] [CrossRef]
- Kamisiński, T. Correction of acoustics in historic opera theatres with the use of Schroeder diffuser. Arch. Acoust. 2012, 37, 349–354. [Google Scholar] [CrossRef]
- Martellotta, F.; Cirillo, E. Experimental studies of sound absorption by church pews. Appl. Acoust. 2009, 70, 441–449. [Google Scholar] [CrossRef]
- Alonso, A.; Martellotta, F. Room acoustic modelling of textile materials hung freely in space: From the reverberation chamber to ancient churches. J. Build. Perform. Simul. 2016, 9, 469–486. [Google Scholar] [CrossRef]
- Berardi, U. Simulation of acoustical parameters in rectangular churches. J. Build. Perform. Simul. 2014, 7, 1–16. [Google Scholar] [CrossRef]
- Berardi, U.; Cirillo, E.; Martellotta, F. A comparative analysis of acoustic energy models for churches. J. Acoust. Soc. Am. 2009, 126, 1838–1849. [Google Scholar] [CrossRef] [PubMed]
- Navarro, J.; Sendra, J.J.; Muñoz, S. The Western Latin church as a place for music and preaching: An acoustic assessment. Appl. Acoust. 2009, 70, 781–789. [Google Scholar] [CrossRef]
- Cirillo, E.; Martellotta, F. Acoustics of Apulian-Romanesque churches: An experimental survey. Build. Acoust. 2002, 9, 271–288. [Google Scholar] [CrossRef]
- de Sant’Ana, D.Q.; Zannin, P.H.T. Acoustic evaluation of a contemporary church based on in situ measurements of reverberation time, definition, and computer-predicted speech transmission index. Build. Environ. 2011, 46, 511–517. [Google Scholar] [CrossRef]
- Chu, Y.; Mak, C.M. Early energy decays in two churches in Hong Kong. Appl. Acoust. 2009, 70, 579–587. [Google Scholar] [CrossRef]
- Kosała, K.; Engel, Z.W. Assessing the acoustic properties of Roman Catholic churches: A new approach. Appl. Acoust. 2013, 74, 1144–1152. [Google Scholar] [CrossRef]
- Brink, M.; Omlin, S.; Müller, C.; Pieren, R.; Basner, M. An event-related analysis of awakening reactions due to nocturnal church bell noise. Sci. Total Environ. 2011, 409, 5210–5220. [Google Scholar] [CrossRef] [PubMed]
- Soeta, Y.; Ito, K.; Shimokura, R.; Sato, S.I.; Ohsawa, T.; Ando, Y. Effects of sound source location and direction on acoustic parameters in Japanese churches. J. Acoust. Soc. Am. 2012, 131, 1206. [Google Scholar] [CrossRef] [PubMed]
- Girón, S.; Alvarez-Morales, L.; Zamarreno, T. Church acoustics: A state-of-the-art review after several decades of research. J. Sound. Vib. 2017, 411, 378–408. [Google Scholar] [CrossRef]
- Manohare, M.; Dongre, A.; Wahurwagh, A. Acoustic characterization of the Buddhist temple of Deekshabhoomi in Nagpur, India. Build. Acoust. 2017, 24, 193–215. [Google Scholar] [CrossRef]
- Orfali, W.; Ahnert, W. Evaluation of existing sound system designs in mosques and alternative modern solutions. J. Acoust. Soc. Am. 2008, 123, 3613. [Google Scholar] [CrossRef]
- Clause, L.C. Odeon Room Acoustics Program, version 14. In User Manual; Industrial, Auditorium and Combined Editions: Kgs. Lyngby, Denmark, 2016. [Google Scholar]
- Peng, Q.; Fu, R. Computer Accoustic Simulation ODEON Software and its Application. China New Technol. Product. 2010, 172, 44. [Google Scholar]
- Yuan, M. Studies on Chinese Contemporary Buddhist Architecture in the Han Area. Ph.D. Thesis, Tsinghua University, Beijing, China, 2008. [Google Scholar]
- Hidaka, T.; Beranek, L.L.; Okano, T. Interaural cross-correlation, lateral fraction, and low—And high—Frequency sound levels as measures of acoustical quality in concert halls. J. Acoust. Soc. Am. 1995, 98, 988. [Google Scholar] [CrossRef]
- Soeta, Y.; Shimokura, R.; Kim, Y.H.; Ohsawa, T.; Ito, K. Measurement of acoustic characteristics of Japanese Buddhist temples in relation to sound source location and direction. J. Acoust. Soc. Am. 2013, 133, 2699–2710. [Google Scholar] [CrossRef]
- Clause, L.C.; George, K.; Juan, G. Odeon Room Acoustics Program, version 13. In User Manual; Industrial, Auditorium and Combined Editions: Kgs. Lyngby, Denmark, 2016; pp. 20–42. [Google Scholar]
- ISO. E. 3382-1. Acoustics—Measurement of Room Acoustic Parameters—Part 1: Performance Spaces; International Standard: Brussels, Belgium, 2009. [Google Scholar]
- Okano, T. Judgments of noticeable differences in sound fields of concert halls caused by intensity variations in early re-flections. J. Acoust. Soc. Am. 2002, 111, 217–229. [Google Scholar] [CrossRef]
- Zhang, D.; Liu, D.; Kang, J. Soundscape in Han Chinese Buddhist temples. China Archit. Build. Press 2018, 111, 188–197. [Google Scholar]
- Cowan, J.P. Architectural Acoustics Design Guide; McGraw-Hill Professional Publishing: New York, NY, USA, 2000. [Google Scholar]
- Liu, X. Building Physics, 3rd ed.; China Architecture & Building Press: Beijing, China, 2011; pp. 506–507. [Google Scholar]
- Wu, S. Architectural Acoustics Design Principles; China Architecture & Building Press: Beijing, China, 2000; pp. 217–219. [Google Scholar]
- Horoshenkov, V.K.; Khan, A.; Benkreira, H.; Mandon, A.; Rohr, R. Acoustic properties of green walls with and without vegetation. J. Acoust. Soc. Am. 2011, 130, 2317. [Google Scholar] [CrossRef]
- Yang, H.S. Outdoor Noise Control by Natural/Sustainable Materials in Urban Areas. Ph.D. Thesis, University of Sheffield, Sheffield, South Yorkshire, UK, 2013. [Google Scholar]















| Parameter | G (0.5–1 kHz) | RT (0.5–1 kHz) | EDT (0.5–1 kHz) | C80 (0.5–1 kHz) | IACC E3 (0.5–2 kHz) |
|---|---|---|---|---|---|
| JND | 1 dB | 5% | 5% | 1 dB | 0.075 |
| Material | Sound Absorption Coefficient at the Following Frequency (Hz) | Scattering Coefficient | |||||
|---|---|---|---|---|---|---|---|
| 125 | 250 | 500 | 1000 | 2000 | 4000 | ||
| Glazed tile roof [46] | 0.01 | 0.01 | 0.01 | 0.01 | 0.02 | 0.02 | 0.50 |
| Glass window [47] | 0.35 | 0.25 | 0.18 | 0.12 | 0.07 | 0.04 | 0.1 |
| Rendered wall [47] | 0.03 | 0.03 | 0.03 | 0.04 | 0.05 | 0.07 | 0.05 |
| Red brick wall * | 0.11 | 0.08 | 0.07 | 0.06 | 0.05 | 0.05 | 0.10 |
| Stone step * | 0.01 | 0.01 | 0.02 | 0.02 | 0.02 | 0.05 | 0.15 |
| Hard paving * | 0.01 | 0.01 | 0.02 | 0.02 | 0.02 | 0.05 | 0.05 |
| Wooden door [48] | 0.16 | 0.15 | 0.10 | 0.10 | 0.10 | 0.10 | 0.20 |
| Bucket arch [47] | 0.19 | 0.43 | 0.44 | 0.40 | 0.42 | 0.40 | 0.40 |
| Wooden eave column [45] | 0.1 | 0.07 | 0.05 | 0.05 | 0.05 | 0.05 | 0.30 |
| Mud floor [46] | 0.15 | 0.25 | 0.40 | 0.55 | 0.60 | 0.60 | 0.70 |
| Lawn [46] | 0.11 | 0.26 | 0.6 | 0.69 | 0.92 | 0.99 | 0.60 |
© 2020 by the authors. Licensee MDPI, Basel, Switzerland. This article is an open access article distributed under the terms and conditions of the Creative Commons Attribution (CC BY) license (http://creativecommons.org/licenses/by/4.0/).
Share and Cite
Zhang, D.; Kong, C.; Zhang, M.; Meng, Q. Courtyard Sound Field Characteristics by Bell Sounds in Han Chinese Buddhist Temples. Appl. Sci. 2020, 10, 1279. https://doi.org/10.3390/app10041279
Zhang D, Kong C, Zhang M, Meng Q. Courtyard Sound Field Characteristics by Bell Sounds in Han Chinese Buddhist Temples. Applied Sciences. 2020; 10(4):1279. https://doi.org/10.3390/app10041279
Chicago/Turabian StyleZhang, Dongxu, Chunxiao Kong, Mei Zhang, and Qi Meng. 2020. "Courtyard Sound Field Characteristics by Bell Sounds in Han Chinese Buddhist Temples" Applied Sciences 10, no. 4: 1279. https://doi.org/10.3390/app10041279
APA StyleZhang, D., Kong, C., Zhang, M., & Meng, Q. (2020). Courtyard Sound Field Characteristics by Bell Sounds in Han Chinese Buddhist Temples. Applied Sciences, 10(4), 1279. https://doi.org/10.3390/app10041279
