Study on Degradation of Benzothiazolium-Based Ionic Liquids by UV-H2O2
Abstract
1. Introduction
2. Materials and Methods
3. Results
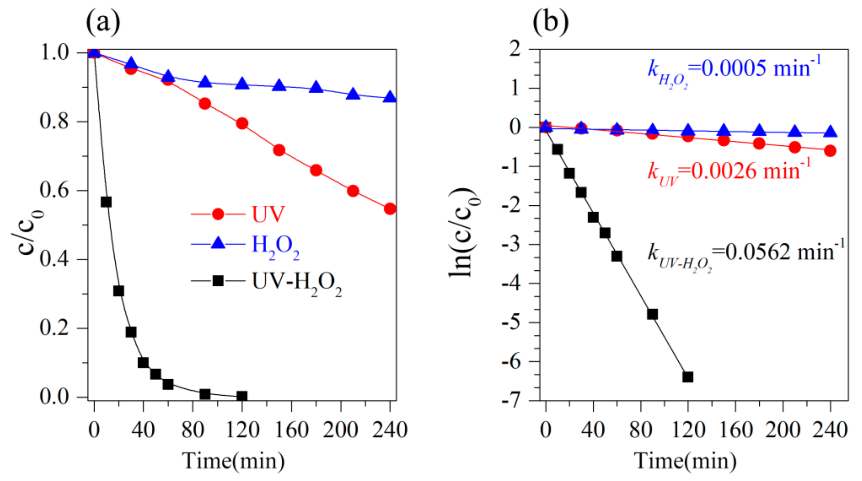
3.1. Degradation Process Kinetics
3.2. Effect of the Concentration of Hydrogen Peroxide on Degradation
3.3. Effect of Initial Concentration of ILs on Degradation
3.4. Effect of Temperature on Degradation
3.5. Effect of Chloride Ion Concentration on Degradation
3.6. Effect of Length of Side Chain on Degradation
3.7. Effect of Initial pH of IL Solution on Degradation
3.8. Photodegradation Reaction Kinetics
3.9. Effect of Different Degradation Methods on Kinetic Constant
4. Conclusions
Supplementary Materials
Author Contributions
Funding
Conflicts of Interest
References
- Rogers, R.D.; Seddon, K.R. CHEMISTRY: Ionic Liquids—Solvents of the Future? Science 2003, 302, 792–793. [Google Scholar] [CrossRef]
- Sowmiah, S.; Srinivasadesikan, V.; Tseng, M.-C.; Chu, Y.-H. On the Chemical Stabilities of Ionic Liquids. Molecules 2009, 14, 3780–3813. [Google Scholar] [CrossRef]
- Nagy, B.; Bakos, I.; Geissler, E.; László, K. Water-Ionic Liquid Binary Mixture Tailored Resorcinol-Formaldehyde Carbon Aerogels without Added Catalyst. Materials 2019, 12, 4208. [Google Scholar] [CrossRef]
- Richardson, S.D.; Ternes, T.A. Water analysis: Emerging contaminants and current issues. Anal. Chem. 2011, 83, 4614–4648. [Google Scholar] [CrossRef]
- Calza, P.; Vione, D.; Fabbri, D.; Aigotti, R.; Medana, C. Imidazolium-based ionic liquids in water: Assessment of photocatalytic and photochemical transformation. Environ. Sci. Technol. 2015, 49, 10951–10958. [Google Scholar] [CrossRef] [PubMed]
- Barhdadi, R.; Maekawa, H.; Comminges, C.; Troupel, M. Catalytic electrosynthesis in ionic liquid: Performance of nickel–(2,2′-bipyridine) complexes for production of aryl propan-2-ones. Chem. Soc. Jpn. 2009, 82, 1510–1513. [Google Scholar] [CrossRef]
- Ma, S.; Funaki, K.; Miyazaki, A.; Muramatsu, A.; Kanie, K. Ionic Liquids with Amino Moieties: Selective and Reversible Extraction/Back-Extraction for Platinum-Group Metal Ions from Aqueous Solutions. Chem. Lett. 2017, 46, 1422–1425. [Google Scholar] [CrossRef]
- Feng, X.; Song, H.; Dong, B.; Yang, Y.; Yao, S. Sequential extraction and separation using ionic liquids for stilbene glycoside and anthraquinones in polygonum multiflorum. J. Mol. Liq. 2017, 241, 27–36. [Google Scholar] [CrossRef]
- Torralba-Calleja, E.; Skinner, J.; Gutiérrez-Tauste, D. CO2 capture in ionic liquids: A review of solubilities and experimental methods. J. Chem. 2013, 2013, 1–16. [Google Scholar] [CrossRef]
- Chen, Y.; Luo, Y.; Yang, X.; Yao, S.; Song, H. Toxic effect of benzothiazole ionic liquids on antioxidation mechanism of zebrafish. Chem. Ind. Eng. Proc. 2016, 35, 2. [Google Scholar]
- Pati, S.G.; Arnold, W.A. Photochemical transformation of four ionic liquid cation structures in aqueous solution. Environ. Sci. Technol. 2017, 51, 11780–11787. [Google Scholar] [CrossRef] [PubMed]
- Jordan, A.; Gathergood, N. Biodegradation of ionic liquids—A critical review. Chem. Soc. Rev. 2015, 44, 8200–8237. [Google Scholar] [CrossRef] [PubMed]
- Scurto, A.M.; Aki, S.N.V.K.; Brennecke, J.F. Carbon dioxide induced separation of ionic liquids and water. Chem. Commun. 2003, 5, 572–573. [Google Scholar] [CrossRef] [PubMed]
- Palomar, J.; Lemus, J.; Gilarranz, M.A.; Rodriguez, J.J. Adsorption of ionic liquids from aqueous effluents by activated carbon. Carbon 2009, 47, 1846–1856. [Google Scholar] [CrossRef]
- Li, X.; Li, S.; Wang, F.; Xi, H.; Wang, L. Adsorption of [bmim]cl ionic liquid by acid—Modified bentonite. Chinese. J. Chem. Eng. 2007, 58, 1489–1493. [Google Scholar]
- Liu, X.; Wang, W. The application of nanofiltration technology in recovery of ionic liquids from spinning wastewater. AMM 2012, 178–181, 499–502. [Google Scholar] [CrossRef]
- Haerens, K.; Van Deuren, S.; Matthijs, E.; Van der Bruggen, B. Challenges for recycling ionic liquids by using pressure driven membrane processes. Green Chem. 2010, 12, 2182. [Google Scholar] [CrossRef]
- Li, X.; Zhao, J.; Li, Q.; Wang, L.; Tsang, S.C. Ultrasonic chemical oxidative degradations of 1,3-dialkylimidazolium ionic liquids and their mechanistic elucidations. Dalton Trans. 2007, 19, 1875. [Google Scholar] [CrossRef]
- Itakura, T.; Hirata, K.; Aoki, M.; Sasai, R.; Yoshida, H.; Itoh, H. Decomposition and removal of ionic liquid in aqueous solution by hydrothermal and photocatalytic treatment. Environ. Chem. Lett. 2009, 7, 343–345. [Google Scholar] [CrossRef]
- Esplugas, S.; Giménez, J.; Contreras, S.; Pascual, E.; Rodrıguez, M. Comparison of different advanced oxidation processes for phenol degradation. Water Res. 2002, 36, 1034–1042. [Google Scholar] [CrossRef]
- Siedlecka, E.M.; Mrozik, W.; Kaczyński, Z.; Stepnowski, P. Degradation of 1-butyl-3-methylimidazolium chloride ionic liquid in a fenton-like system. J. Hazard. Mater. 2008, 154, 893–900. [Google Scholar] [CrossRef] [PubMed]
- Siedlecka, E.M.; Stepnowski, P. The effect of alkyl chain length on the degradation of alkylimidazolium- and pyridinium-type ionic liquids in a fenton-like system. Environ. Sci. Pollut. R. 2009, 16, 453–458. [Google Scholar] [CrossRef] [PubMed]
- Kroon, M.C.; Buijs, W.; Peters, C.J.; Witkamp, G. Decomposition of ionic liquids in electrochemical processing. Green Chem. 2006, 8, 241–245. [Google Scholar] [CrossRef]
- Siedlecka, E.M.; Stolte, S.; Gołębiowski, M.; Nienstedt, A.; Stepnowski, P.; Thöming, J. Advanced oxidation process for the removal of ionic liquids from water: The influence of functionalized side chains on the electrochemical degradability of imidazolium cations. Sep. Purif. Technol. 2012, 101, 26–33. [Google Scholar] [CrossRef]
- Stolte, S.; Abdulkarim, S.; Arning, J.; Blomeyer-Nienstedt, A.; Bottin-Weber, U.; Matzke, M.; Ranke, J.; Jastorff, B.; Thoming, J. Primary biodegradation of ionic liquid cations, identification of degradation products of 1-methyl-3-octylimidazolium chloride and electrochemical wastewater treatment of poorly biodegradable compounds. Green Chem. 2008, 10, 214–224. [Google Scholar] [CrossRef]
- Mahrova, M.; Conte, M.; Roman, E.; Nevshupa, R. Critical insight into mechanochemical and thermal degradation of imidazolium-based ionic liquids with alkyl and monomethoxypoly(ethylene glycol) side chains. J. Phys. Chem. C 2014, 118, 22544–22552. [Google Scholar] [CrossRef]
- Bocos, E.; González-Romero, E.; Pazos, M.; Sanromán, M.A. Application of electro-fenton treatment for the elimination of 1-butyl-3-methylimidazolium triflate from polluted water. Chem. Eng. J. 2017, 318, 19–28. [Google Scholar] [CrossRef]
- Reinosa, J.J.; Docio, C.M.Á.; Ramírez, V.Z.; Lozano, J.F.F. Hierarchical nano zno-micro tio2 composites: High uv protection yield lowering photodegradation in sunscreens. Ceram Int. 2018, 44, 2827–2834. [Google Scholar] [CrossRef]
- Huang, L.; Yu, Y.; Fu, C.; Guo, H.; Li, X. Photocatalytic degradation of imidazolium ionic liquids using dye sensitized tio2-sio2 composites. J. Roy. Soc. Med. 2017, 51, 32120–32125. [Google Scholar] [CrossRef]
- Boutiti, A.; Zouaghi, R.; Bendjabeur, S.E.; Guittonneau, S.; Sehili, T. Photodegradation of 1-hexyl-3-methylimidazolium by uv/h2o2 and uv/tio2: Influence of ph and chloride. J. Photochem. Photobiol. A 2017, 336, 164–169. [Google Scholar] [CrossRef]
- Li, X.; Li, F. Study of au/au(3+)-tio2 photocatalysts toward visible photooxidation for water and wastewater treatment. Environ. Sci. Technol. 2001, 35, 2381–2387. [Google Scholar] [CrossRef] [PubMed]







© 2020 by the authors. Licensee MDPI, Basel, Switzerland. This article is an open access article distributed under the terms and conditions of the Creative Commons Attribution (CC BY) license (http://creativecommons.org/licenses/by/4.0/).
Share and Cite
Gu, J.; Zang, H.; Yao, S.; Wang, X.; Zhu, M.; Song, H. Study on Degradation of Benzothiazolium-Based Ionic Liquids by UV-H2O2. Appl. Sci. 2020, 10, 894. https://doi.org/10.3390/app10030894
Gu J, Zang H, Yao S, Wang X, Zhu M, Song H. Study on Degradation of Benzothiazolium-Based Ionic Liquids by UV-H2O2. Applied Sciences. 2020; 10(3):894. https://doi.org/10.3390/app10030894
Chicago/Turabian StyleGu, Jianhui, Huimin Zang, Shun Yao, Xuejiao Wang, Minghui Zhu, and Hang Song. 2020. "Study on Degradation of Benzothiazolium-Based Ionic Liquids by UV-H2O2" Applied Sciences 10, no. 3: 894. https://doi.org/10.3390/app10030894
APA StyleGu, J., Zang, H., Yao, S., Wang, X., Zhu, M., & Song, H. (2020). Study on Degradation of Benzothiazolium-Based Ionic Liquids by UV-H2O2. Applied Sciences, 10(3), 894. https://doi.org/10.3390/app10030894

